West Coast Update: Week 3
November 25, 2025The West Coast enters Week 3 with teams showing diverse trending patterns. This analysis examines each team’s performance trends using MACD (Moving Average Convergence Divergence) indicators to identify not just where teams stand, but where they’re headed.

Figure 1: Efficiency margin trends for West Coast teams throughout the season. Teams trending upward show improving performance, while downward trends indicate struggles.
Conference Snapshot
- Week Dates: November 17 – November 23, 2025
- Trending Up (Efficiency): Gonzaga, Loyola Mary, Pacific, Portland, Saint Mary’s
- Trending Down (Efficiency): Pepperdine, Santa Clara, Oregon State
Team-by-Team Analysis
Gonzaga
Record: 6-0 | Elo: 1713.6 (ranked 7 of 365) | Efficiency Margin: +53.12 (ranked 2 of 365)
Offensive Trends:
- Off Reb Pct (Offensive Rebounding): Currently ranked 136 of 365 in D1. Trending up strongly.
- Adj Off Eff (Adjusted Offensive Efficiency): Currently ranked 15 of 365 in D1. Trending down strongly.
Defensive Trends:
- Opp Shooting (Opp Shooting): Currently ranked 107 of 365 in D1. Trending down strongly.
- Opp Turnovers (Opp Turnovers): Currently ranked 34 of 365 in D1. Trending up strongly.
Loyola Mary
Record: 6-1 | Elo: 1524.2 (ranked 151 of 365) | Efficiency Margin: +11.92 (ranked 143 of 365)
Offensive Trends:
- Shooting (Shooting): Currently ranked 26 of 365 in D1. Trending up strongly.
- 3PM Per Poss (3 Point Makes Per Possession (%)): Currently ranked 29 of 365 in D1. Trending up strongly.
Defensive Trends:
- Opp 2PM Per Poss (Opp 2 Point Makes Per Possession (%)): Currently ranked 117 of 365 in D1. Trending down strongly.
- Opp Turnovers (Opp Turnovers): Currently ranked 183 of 365 in D1. Trending up moderately.
Oregon State
Record: 3-4 | Elo: 1491.4 (ranked 198 of 365) | Efficiency Margin: +5.54 (ranked 197 of 365)
Offensive Trends:
- Shooting (Shooting): Currently ranked 248 of 365 in D1. Trending down strongly.
- Turnovers (Turnovers): Currently ranked 292 of 365 in D1. Trending up strongly.
Defensive Trends:
- Def Reb Pct (Defensive Rebounding): Currently ranked 353 of 365 in D1. Trending down strongly.
- Opp FT Rate (Opp FTA/FGA (%)): Currently ranked 305 of 365 in D1. Trending up strongly.
Pacific
Record: 4-2 | Elo: 1381.2 (ranked 330 of 365) | Efficiency Margin: +12.29 (ranked 138 of 365)
Offensive Trends:
- Shooting (Shooting): Currently ranked 41 of 365 in D1. Trending up strongly.
- Turnovers (Turnovers): Currently ranked 263 of 365 in D1. Trending up strongly.
Defensive Trends:
- Opp Shooting (Opp Shooting): Currently ranked 84 of 365 in D1. Trending down strongly.
- Def Reb Pct (Defensive Rebounding): Currently ranked 78 of 365 in D1. Trending up strongly.
Pepperdine
Record: 3-3 | Elo: 1412.6 (ranked 301 of 365) | Efficiency Margin: +3.32 (ranked 214 of 365)
Offensive Trends:
- Off Reb Pct (Offensive Rebounding): Currently ranked 32 of 365 in D1. Trending up strongly.
- FT Pct (FTM/FTA (%)): Currently ranked 19 of 365 in D1. Trending up strongly.
Defensive Trends:
- Opp Shooting (Opp Shooting): Currently ranked 27 of 365 in D1. Trending down strongly.
- Opp FGM Per Poss (Opp FG Makes Per Possession (%)): Currently ranked 30 of 365 in D1. Trending down strongly.
Portland
Record: 4-3 | Elo: 1424.1 (ranked 283 of 365) | Efficiency Margin: -5.63 (ranked 293 of 365)
Offensive Trends:
- Turnovers (Turnovers): Currently ranked 321 of 365 in D1. Trending up strongly.
- Off Reb Pct (Offensive Rebounding): Currently ranked 191 of 365 in D1. Trending up strongly.
Defensive Trends:
- Def Reb Pct (Defensive Rebounding): Currently ranked 117 of 365 in D1. Trending up strongly.
- Opp FGM Per Poss (Opp FG Makes Per Possession (%)): Currently ranked 131 of 365 in D1. Trending down strongly.
Saint Mary’s
Record: 6-0 | Elo: 1706.4 (ranked 9 of 365) | Efficiency Margin: +41.11 (ranked 11 of 365)
Offensive Trends:
- Shooting (Shooting): Currently ranked 25 of 365 in D1. Trending up strongly.
- Off Reb Pct (Offensive Rebounding): Currently ranked 34 of 365 in D1. Trending up strongly.
Defensive Trends:
- Opp Shooting (Opp Shooting): Currently ranked 36 of 365 in D1. Trending down strongly.
- Opp Turnovers (Opp Turnovers): Currently ranked 274 of 365 in D1. Trending down strongly.
San Diego
Record: 3-2 | Elo: 1372.4 (ranked 337 of 365) | Efficiency Margin: -10.60 (ranked 325 of 365)
Offensive Trends:
- Shooting (Shooting): Currently ranked 156 of 365 in D1. Trending up strongly.
- Off Reb Pct (Offensive Rebounding): Currently ranked 122 of 365 in D1. Trending up strongly.
Defensive Trends:
- Opp FT Rate (Opp FTA/FGA (%)): Currently ranked 227 of 365 in D1. Trending down strongly.
- Opp 2Pt Rate (Opp 2 Point Attempts/FGA (%)): Currently ranked 308 of 365 in D1. Trending up strongly.
San Francisco
Record: 5-1 | Elo: 1622.9 (ranked 47 of 365) | Efficiency Margin: +27.23 (ranked 52 of 365)
Offensive Trends:
- Shooting (Shooting): Currently ranked 38 of 365 in D1. Trending up strongly.
- Off Reb Pct (Offensive Rebounding): Currently ranked 61 of 365 in D1. Trending up strongly.
Defensive Trends:
- Opp FGM Per Poss (Opp FG Makes Per Possession (%)): Currently ranked 56 of 365 in D1. Trending down strongly.
- Opp FG Pct (%) (Opp FGM/FGA (%)): Currently ranked 51 of 365 in D1. Trending down strongly.
Santa Clara
Record: 6-0 | Elo: 1603.2 (ranked 63 of 365) | Efficiency Margin: +30.64 (ranked 38 of 365)
Offensive Trends:
- Shooting (Shooting): Currently ranked 188 of 365 in D1. Trending down strongly.
- Off Reb Pct (Offensive Rebounding): Currently ranked 23 of 365 in D1. Trending up strongly.
Defensive Trends:
- Opp Shooting (Opp Shooting): Currently ranked 30 of 365 in D1. Trending down strongly.
- Opp Turnovers (Opp Turnovers): Currently ranked 105 of 365 in D1. Trending up strongly.
Seattle
Record: 4-1 | Elo: 1523.8 (ranked 152 of 365) | Efficiency Margin: +17.84 (ranked 96 of 365)
Offensive Trends:
- Shooting (Shooting): Currently ranked 11 of 365 in D1. Trending up strongly.
- Turnovers (Turnovers): Currently ranked 315 of 365 in D1. Trending up strongly.
Defensive Trends:
- Def Reb Pct (Defensive Rebounding): Currently ranked 260 of 365 in D1. Trending down strongly.
- Opp Assists per FGM (Opp Assists/FGM (%)): Currently ranked 66 of 365 in D1. Trending down strongly.
Washington St
Record: 2-3 | Elo: 1524.8 (ranked 149 of 365) | Efficiency Margin: +4.31 (ranked 204 of 365)
Offensive Trends:
- Turnovers (Turnovers): Currently ranked 60 of 365 in D1. Trending down strongly.
- Adj Off Eff (Adjusted Offensive Efficiency): Currently ranked 114 of 365 in D1. Trending down strongly.
Defensive Trends:
- Opp Shooting (Opp Shooting): Currently ranked 362 of 365 in D1. Trending up strongly.
- Def Reb Pct (Defensive Rebounding): Currently ranked 311 of 365 in D1. Trending down strongly.

Figure 2: Offensive Four Factors comparison across West Coast teams. The radar chart shows each team’s shooting efficiency (eFG%), ball security (TOV%), offensive rebounding (OREB%), and free throw generation (FT Rate).

Figure 3: Defensive Four Factors comparison across West Coast teams. The radar chart shows each team’s opponent shooting defense (Opp eFG%), ball disruption (forcing TOV%), defensive rebounding (DREB%), and opponent free throw prevention (Opp FT Rate).

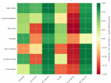
Figure 4: MACD trends heatmap showing which metrics are improving (green) or declining (red) for each team. Stronger colors indicate more pronounced trends.
Looking Ahead
As West Coast teams continue their season, the MACD trending indicators will help identify which teams are genuinely improving versus those riding unsustainable momentum. Check back next week for updated analysis.
Metrics Glossary
Four Factors (Dean Oliver’s framework for basketball success):
- eFG% (Effective Field Goal %): Field goal percentage adjusted for 3-pointers being worth more (FGM + 0.5×3PM) / FGA. Higher is better offensively, lower is better defensively.
- TOV% (Turnover Rate): Turnovers per 100 possessions. Lower is better offensively (taking care of the ball), higher is better defensively (forcing turnovers).
- OREB% / DREB% (Offensive/Defensive Rebound Rate): Percentage of available rebounds grabbed. Offensive rebounds create second-chance points; defensive rebounds end opponent possessions.
- FTR (Free Throw Rate): Free throws made per field goal attempt (FTM/FGA). Measures ability to get to the line AND convert. Higher is better offensively, lower is better defensively.
Other Metrics:
- Elo Rating: Chess-style rating system that updates based on game results and opponent strength. Higher Elo indicates stronger team.
- Efficiency Margin: Point differential per 100 possessions (Offensive Efficiency – Defensive Efficiency). Accounts for pace of play.
- MACD (Moving Average Convergence Divergence): Trend indicator comparing 12-game and 26-game exponential moving averages. Positive MACD = improving trend, Negative MACD = declining trend.
Analysis powered by HoopSci’s advanced metrics and MACD trending indicators.

