Big East Update: Week 4
December 1, 2025The Big East enters Week 4 with teams showing diverse trending patterns. This analysis examines each team’s performance trends using MACD (Moving Average Convergence Divergence) indicators to identify not just where teams stand, but where they’re headed.

Figure 1: Efficiency margin trends for Big East teams throughout the season. Teams trending upward show improving performance, while downward trends indicate struggles.
Conference Snapshot
- Week Dates: November 24 – November 30, 2025
- Trending Up (Efficiency): Butler, DePaul, Seton Hall, St John’s, Villanova
- Trending Down (Efficiency): Creighton, Georgetown, Marquette, Providence, Xavier
Team-by-Team Analysis
Butler
Record: 6-1 | Elo: 1540.2 (ranked 121 of 365) | Efficiency Margin: +23.15 (ranked 32 of 365)
Offensive Trends:
- Shooting (Shooting): Currently ranked 45 of 365 in D1. Trending up strongly 🟢.
- Off Reb Pct (Offensive Rebounding): Currently ranked 98 of 365 in D1. Trending up strongly 🟢.
Defensive Trends:
- Opp Turnovers (Opp Turnovers): Currently ranked 218 of 365 in D1. Trending up strongly 🔴.
- Opp 2Pt Rate (Opp 2 Point Attempts/FGA (%)): Currently ranked 349 of 365 in D1. Trending up strongly 🔴.
Creighton
Record: 4-3 | Elo: 1644.8 (ranked 30 of 365) | Efficiency Margin: +10.37 (ranked 92 of 365)
Offensive Trends:
- Shooting (Shooting): Currently ranked 221 of 365 in D1. Trending down strongly 🔴.
- Adj Off Eff (Adjusted Offensive Efficiency): Currently ranked 119 of 365 in D1. Trending down strongly 🔴.
Defensive Trends:
- Opp Turnovers (Opp Turnovers): Currently ranked 263 of 365 in D1. Trending up strongly 🔴.
- Def Reb Pct (Defensive Rebounding): Currently ranked 282 of 365 in D1. Trending down strongly 🔴.
DePaul
Record: 5-3 | Elo: 1439.0 (ranked 267 of 365) | Efficiency Margin: +5.85 (ranked 125 of 365)
Offensive Trends:
- FT Rate (FTA/FGA (%)): Currently ranked 75 of 365 in D1. Trending up strongly 🟢.
- Adj Off Eff (Adjusted Offensive Efficiency): Currently ranked 151 of 365 in D1. Trending down strongly 🔴.
Defensive Trends:
- Opp Turnovers (Opp Turnovers): Currently ranked 78 of 365 in D1. Trending up strongly 🔴.
- Opp FT Rate (Opp FTA/FGA (%)): Currently ranked 183 of 365 in D1. Trending up strongly 🔴.
Georgetown
Record: 5-2 | Elo: 1502.9 (ranked 181 of 365) | Efficiency Margin: +13.06 (ranked 76 of 365)
Offensive Trends:
- Turnovers (Turnovers): Currently ranked 6 of 365 in D1. Trending down strongly 🟢.
- FT Rate (FTA/FGA (%)): Currently ranked 33 of 365 in D1. Trending up strongly 🟢.
Defensive Trends:
- Opp FT Rate (Opp FTA/FGA (%)): Currently ranked 304 of 365 in D1. Trending up strongly 🔴.
- Opp FGA Per Poss (Opp FG Attempts Per Possession (%)): Currently ranked 61 of 365 in D1. Trending down strongly 🟢.
Marquette
Record: 4-4 | Elo: 1603.7 (ranked 63 of 365) | Efficiency Margin: +10.48 (ranked 91 of 365)
Offensive Trends:
- Off Reb Pct (Offensive Rebounding): Currently ranked 184 of 365 in D1. Trending up strongly 🟢.
- FT Rate (FTA/FGA (%)): Currently ranked 110 of 365 in D1. Trending up strongly 🟢.
Defensive Trends:
- Opp FGM Per Poss (Opp FG Makes Per Possession (%)): Currently ranked 150 of 365 in D1. Trending up strongly 🔴.
- Opp 2PA Per Poss (Opp 2 Point Attempts Per Possession (%)): Currently ranked 263 of 365 in D1. Trending up strongly 🔴.
Providence
Record: 4-4 | Elo: 1493.4 (ranked 193 of 365) | Efficiency Margin: +13.72 (ranked 71 of 365)
Offensive Trends:
- Turnovers (Turnovers): Currently ranked 38 of 365 in D1. Trending down strongly 🟢.
- Adj Off Eff (Adjusted Offensive Efficiency): Currently ranked 37 of 365 in D1. Trending up strongly 🟢.
Defensive Trends:
- Def Reb Pct (Defensive Rebounding): Currently ranked 153 of 365 in D1. Trending down strongly 🔴.
- Opp 2Pt Rate (Opp 2 Point Attempts/FGA (%)): Currently ranked 133 of 365 in D1. Trending down strongly 🟢.
Seton Hall
Record: 6-1 | Elo: 1509.1 (ranked 171 of 365) | Efficiency Margin: +24.01 (ranked 30 of 365)
Offensive Trends:
- Shooting (Shooting): Currently ranked 153 of 365 in D1. Trending up strongly 🟢.
- Adj Off Eff (Adjusted Offensive Efficiency): Currently ranked 53 of 365 in D1. Trending up strongly 🟢.
Defensive Trends:
- Opp Shooting (Opp Shooting): Currently ranked 32 of 365 in D1. Trending down strongly 🟢.
- Opp FT Rate (Opp FTA/FGA (%)): Currently ranked 315 of 365 in D1. Trending up strongly 🔴.
St John’s
Record: 4-3 | Elo: 1671.4 (ranked 20 of 365) | Efficiency Margin: +28.00 (ranked 20 of 365)
Offensive Trends:
- FT Rate (FTA/FGA (%)): Currently ranked 45 of 365 in D1. Trending up strongly 🟢.
- FGA Per Poss (Field Goal Attempts Per Possession (%)): Currently ranked 157 of 365 in D1. Trending down strongly 🔴.
Defensive Trends:
- Def Reb Pct (Defensive Rebounding): Currently ranked 263 of 365 in D1. Trending down strongly 🔴.
- Opp FGM Per Poss (Opp FG Makes Per Possession (%)): Currently ranked 111 of 365 in D1. Trending up strongly 🔴.
UConn
Record: 6-1 | Elo: 1703.1 (ranked 12 of 365) | Efficiency Margin: +30.87 (ranked 11 of 365)
Offensive Trends:
- Turnovers (Turnovers): Currently ranked 34 of 365 in D1. Trending down strongly 🟢.
- Adj Off Eff (Adjusted Offensive Efficiency): Currently ranked 39 of 365 in D1. Trending down strongly 🔴.
Defensive Trends:
- Opp Shooting (Opp Shooting): Currently ranked 7 of 365 in D1. Trending down strongly 🟢.
- Opp Turnovers (Opp Turnovers): Currently ranked 54 of 365 in D1. Trending up strongly 🔴.
Villanova
Record: 5-1 | Elo: 1594.7 (ranked 69 of 365) | Efficiency Margin: +18.14 (ranked 47 of 365)
Offensive Trends:
- Shooting (Shooting): Currently ranked 51 of 365 in D1. Trending up strongly 🟢.
- Off Reb Pct (Offensive Rebounding): Currently ranked 80 of 365 in D1. Trending up strongly 🟢.
Defensive Trends:
- Opp Turnovers (Opp Turnovers): Currently ranked 73 of 365 in D1. Trending up strongly 🔴.
- Opp FGA Per Poss (Opp FG Attempts Per Possession (%)): Currently ranked 155 of 365 in D1. Trending down strongly 🟢.
Xavier
Record: 5-3 | Elo: 1590.5 (ranked 73 of 365) | Efficiency Margin: +5.88 (ranked 124 of 365)
Offensive Trends:
- Turnovers (Turnovers): Currently ranked 42 of 365 in D1. Trending down strongly 🟢.
- Adj Off Eff (Adjusted Offensive Efficiency): Currently ranked 156 of 365 in D1. Trending down strongly 🔴.
Defensive Trends:
- Opp 2Pt Rate (Opp 2 Point Attempts/FGA (%)): Currently ranked 354 of 365 in D1. Trending up strongly 🔴.
- Opp 2PA Per Poss (Opp 2 Point Attempts Per Possession (%)): Currently ranked 325 of 365 in D1. Trending up strongly 🔴.

Figure 2: Offensive Four Factors comparison across Big East teams. The radar chart shows each team’s shooting efficiency (eFG%), ball security (TOV%), offensive rebounding (OREB%), and free throw generation (FT Rate).

Figure 3: Defensive Four Factors comparison across Big East teams. The radar chart shows each team’s opponent shooting defense (Opp eFG%), ball disruption (forcing TOV%), defensive rebounding (DREB%), and opponent free throw prevention (Opp FT Rate).

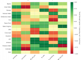
Figure 4: MACD trends heatmap showing which metrics are improving (green) or declining (red) for each team. Stronger colors indicate more pronounced trends.
Looking Ahead
As Big East teams continue their season, the MACD trending indicators will help identify which teams are genuinely improving versus those riding unsustainable momentum. Check back next week for updated analysis.
Metrics Glossary
Four Factors (Dean Oliver’s framework for basketball success):
- eFG% (Effective Field Goal %): Field goal percentage adjusted for 3-pointers being worth more (FGM + 0.5×3PM) / FGA. Higher is better offensively, lower is better defensively.
- TOV% (Turnover Rate): Turnovers per 100 possessions. Lower is better offensively (taking care of the ball), higher is better defensively (forcing turnovers).
- OREB% / DREB% (Offensive/Defensive Rebound Rate): Percentage of available rebounds grabbed. Offensive rebounds create second-chance points; defensive rebounds end opponent possessions.
- FTR (Free Throw Rate): Free throws made per field goal attempt (FTM/FGA). Measures ability to get to the line AND convert. Higher is better offensively, lower is better defensively.
Other Metrics:
- Elo Rating: Chess-style rating system that updates based on game results and opponent strength. Higher Elo indicates stronger team.
- Efficiency Margin: Point differential per 100 possessions (Offensive Efficiency – Defensive Efficiency). Accounts for pace of play.
- MACD (Moving Average Convergence Divergence): Trend indicator comparing 12-game and 26-game exponential moving averages. Positive MACD = improving trend, Negative MACD = declining trend.
Analysis powered by HoopSci’s advanced metrics and MACD trending indicators.

