Big South Update: Week 4
December 1, 2025The Big South enters Week 4 with teams showing diverse trending patterns. This analysis examines each team’s performance trends using MACD (Moving Average Convergence Divergence) indicators to identify not just where teams stand, but where they’re headed.

Figure 1: Efficiency margin trends for Big South teams throughout the season. Teams trending upward show improving performance, while downward trends indicate struggles.
Conference Snapshot
- Week Dates: November 24 – November 30, 2025
- Trending Up (Efficiency): Charleston So, High Point, Presbyterian, UNC Asheville, Winthrop
- Trending Down (Efficiency): USC Upstate, Gardner-Webb, Longwood, Radford
Team-by-Team Analysis
Charleston So
Record: 5-4 | Elo: 1397.2 (ranked 317 of 365) | Efficiency Margin: -9.55 (ranked 239 of 365)
Offensive Trends:
- Off Reb Pct (Offensive Rebounding): Currently ranked 56 of 365 in D1. Trending up strongly 🟢.
- FT Rate (FTA/FGA (%)): Currently ranked 328 of 365 in D1. Trending down strongly 🔴.
Defensive Trends:
- Opp Shooting (Opp Shooting): Currently ranked 118 of 365 in D1. Trending down strongly 🟢.
- Opp Turnovers (Opp Turnovers): Currently ranked 365 of 365 in D1. Trending down strongly 🟢.
Gardner-Webb
Record: 0-9 | Elo: 1400.2 (ranked 312 of 365) | Efficiency Margin: -32.98 (ranked 361 of 365)
Offensive Trends:
- Shooting (Shooting): Currently ranked 330 of 365 in D1. Trending down strongly 🔴.
- Turnovers (Turnovers): Currently ranked 336 of 365 in D1. Trending up strongly 🔴.
Defensive Trends:
- Opp Shooting (Opp Shooting): Currently ranked 351 of 365 in D1. Trending up strongly 🔴.
- Def Reb Pct (Defensive Rebounding): Currently ranked 310 of 365 in D1. Trending down strongly 🔴.
High Point
Record: 7-1 | Elo: 1637.1 (ranked 35 of 365) | Efficiency Margin: +16.03 (ranked 55 of 365)
Offensive Trends:
- FT Rate (FTA/FGA (%)): Currently ranked 49 of 365 in D1. Trending up strongly 🟢.
- FGA Per Poss (Field Goal Attempts Per Possession (%)): Currently ranked 176 of 365 in D1. Trending down strongly 🔴.
Defensive Trends:
- Opp Turnovers (Opp Turnovers): Currently ranked 10 of 365 in D1. Trending up strongly 🔴.
- Def Reb Pct (Defensive Rebounding): Currently ranked 301 of 365 in D1. Trending down strongly 🔴.
Longwood
Record: 4-5 | Elo: 1469.2 (ranked 228 of 365) | Efficiency Margin: -17.59 (ranked 304 of 365)
Offensive Trends:
- Shooting (Shooting): Currently ranked 341 of 365 in D1. Trending down strongly 🔴.
- Turnovers (Turnovers): Currently ranked 258 of 365 in D1. Trending up strongly 🔴.
Defensive Trends:
- Opp 2Pt Rate (Opp 2 Point Attempts/FGA (%)): Currently ranked 28 of 365 in D1. Trending down strongly 🟢.
- Opp 3Pt Rate (Opp 3 Point Attempts/FGA (%)): Currently ranked 338 of 365 in D1. Trending up strongly 🔴.
Presbyterian
Record: 5-5 | Elo: 1416.3 (ranked 294 of 365) | Efficiency Margin: -9.69 (ranked 242 of 365)
Offensive Trends:
- Off Reb Pct (Offensive Rebounding): Currently ranked 29 of 365 in D1. Trending up strongly 🟢.
- Adj Off Eff (Adjusted Offensive Efficiency): Currently ranked 287 of 365 in D1. Trending down strongly 🔴.
Defensive Trends:
- Opp FT Pct (Opp FTM/FTA (%)): Currently ranked 62 of 365 in D1. Trending down strongly 🟢.
- Opp Off Tempo (Opp Offensive Possessions Per Game): Currently ranked 364 of 365 in D1. Trending down strongly 🟢.
Radford
Record: 3-6 | Elo: 1474.1 (ranked 221 of 365) | Efficiency Margin: -14.68 (ranked 278 of 365)
Offensive Trends:
- Off Reb Pct (Offensive Rebounding): Currently ranked 82 of 365 in D1. Trending up strongly 🟢.
- Adj Off Eff (Adjusted Offensive Efficiency): Currently ranked 276 of 365 in D1. Trending down strongly 🔴.
Defensive Trends:
- Opp Shooting (Opp Shooting): Currently ranked 296 of 365 in D1. Trending up strongly 🔴.
- Opp FT Rate (Opp FTA/FGA (%)): Currently ranked 341 of 365 in D1. Trending up strongly 🔴.
UNC Asheville
Record: 3-4 | Elo: 1526.8 (ranked 140 of 365) | Efficiency Margin: -5.94 (ranked 209 of 365)
Offensive Trends:
- Turnovers (Turnovers): Currently ranked 333 of 365 in D1. Trending up strongly 🔴.
- FT Rate (FTA/FGA (%)): Currently ranked 51 of 365 in D1. Trending up strongly 🟢.
Defensive Trends:
- Opp Shooting (Opp Shooting): Currently ranked 54 of 365 in D1. Trending down strongly 🟢.
- Opp FGA Per Poss (Opp FG Attempts Per Possession (%)): Currently ranked 347 of 365 in D1. Trending up strongly 🔴.
USC Upstate
Record: 4-5 | Elo: 1349.7 (ranked 351 of 365) | Efficiency Margin: -11.22 (ranked 254 of 365)
Offensive Trends:
- 2Pt Pct (2 Point FGM/FGA (%)): Currently ranked 182 of 365 in D1. Trending down strongly 🔴.
- 3PM Per Poss (3 Point Makes Per Possession (%)): Currently ranked 193 of 365 in D1. Trending up strongly 🟢.
Defensive Trends:
- Opp Shooting (Opp Shooting): Currently ranked 91 of 365 in D1. Trending down strongly 🟢.
- Opp FGM Per Poss (Opp FG Makes Per Possession (%)): Currently ranked 151 of 365 in D1. Trending down strongly 🟢.
Winthrop
Record: 4-4 | Elo: 1542.6 (ranked 118 of 365) | Efficiency Margin: +6.52 (ranked 118 of 365)
Offensive Trends:
- FT Rate (FTA/FGA (%)): Currently ranked 277 of 365 in D1. Trending down strongly 🔴.
- Adj Off Eff (Adjusted Offensive Efficiency): Currently ranked 86 of 365 in D1. Trending up strongly 🟢.
Defensive Trends:
- Def Reb Pct (Defensive Rebounding): Currently ranked 118 of 365 in D1. Trending up strongly 🟢.
- Opp FT Rate (Opp FTA/FGA (%)): Currently ranked 125 of 365 in D1. Trending down strongly 🟢.

Figure 2: Offensive Four Factors comparison across Big South teams. The radar chart shows each team’s shooting efficiency (eFG%), ball security (TOV%), offensive rebounding (OREB%), and free throw generation (FT Rate).

Figure 3: Defensive Four Factors comparison across Big South teams. The radar chart shows each team’s opponent shooting defense (Opp eFG%), ball disruption (forcing TOV%), defensive rebounding (DREB%), and opponent free throw prevention (Opp FT Rate).

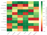
Figure 4: MACD trends heatmap showing which metrics are improving (green) or declining (red) for each team. Stronger colors indicate more pronounced trends.
Looking Ahead
As Big South teams continue their season, the MACD trending indicators will help identify which teams are genuinely improving versus those riding unsustainable momentum. Check back next week for updated analysis.
Metrics Glossary
Four Factors (Dean Oliver’s framework for basketball success):
- eFG% (Effective Field Goal %): Field goal percentage adjusted for 3-pointers being worth more (FGM + 0.5×3PM) / FGA. Higher is better offensively, lower is better defensively.
- TOV% (Turnover Rate): Turnovers per 100 possessions. Lower is better offensively (taking care of the ball), higher is better defensively (forcing turnovers).
- OREB% / DREB% (Offensive/Defensive Rebound Rate): Percentage of available rebounds grabbed. Offensive rebounds create second-chance points; defensive rebounds end opponent possessions.
- FTR (Free Throw Rate): Free throws made per field goal attempt (FTM/FGA). Measures ability to get to the line AND convert. Higher is better offensively, lower is better defensively.
Other Metrics:
- Elo Rating: Chess-style rating system that updates based on game results and opponent strength. Higher Elo indicates stronger team.
- Efficiency Margin: Point differential per 100 possessions (Offensive Efficiency – Defensive Efficiency). Accounts for pace of play.
- MACD (Moving Average Convergence Divergence): Trend indicator comparing 12-game and 26-game exponential moving averages. Positive MACD = improving trend, Negative MACD = declining trend.
Analysis powered by HoopSci’s advanced metrics and MACD trending indicators.

