Big West Update: Week 4
December 1, 2025The Big West enters Week 4 with teams showing diverse trending patterns. This analysis examines each team’s performance trends using MACD (Moving Average Convergence Divergence) indicators to identify not just where teams stand, but where they’re headed.

Figure 1: Efficiency margin trends for Big West teams throughout the season. Teams trending upward show improving performance, while downward trends indicate struggles.
Conference Snapshot
- Week Dates: November 24 – November 30, 2025
- Trending Up (Efficiency): CSU Fullerton, Hawai’i, Long Beach St, UC Davis, UC Riverside
- Trending Down (Efficiency): Cal Poly, CSU Northridge, UC Irvine, UCSB, CSU Bakersfield
Team-by-Team Analysis
CSU Bakersfield
Record: 4-4 | Elo: 1440.1 (ranked 266 of 365) | Efficiency Margin: -9.39 (ranked 237 of 365)
Offensive Trends:
- Turnovers (Turnovers): Currently ranked 345 of 365 in D1. Trending up strongly 🔴.
- FT Rate (FTA/FGA (%)): Currently ranked 11 of 365 in D1. Trending up strongly 🟢.
Defensive Trends:
- Opp Shooting (Opp Shooting): Currently ranked 184 of 365 in D1. Trending down strongly 🟢.
- Def Reb Pct (Defensive Rebounding): Currently ranked 268 of 365 in D1. Trending down strongly 🔴.
CSU Fullerton
Record: 3-5 | Elo: 1368.6 (ranked 338 of 365) | Efficiency Margin: -12.38 (ranked 263 of 365)
Offensive Trends:
- Shooting (Shooting): Currently ranked 283 of 365 in D1. Trending up strongly 🟢.
- Turnovers (Turnovers): Currently ranked 16 of 365 in D1. Trending down strongly 🟢.
Defensive Trends:
- Def Reb Pct (Defensive Rebounding): Currently ranked 16 of 365 in D1. Trending up strongly 🟢.
- Opp FT Rate (Opp FTA/FGA (%)): Currently ranked 280 of 365 in D1. Trending up strongly 🔴.
CSU Northridge
Record: 3-4 | Elo: 1512.4 (ranked 169 of 365) | Efficiency Margin: -25.79 (ranked 344 of 365)
Offensive Trends:
- Shooting (Shooting): Currently ranked 339 of 365 in D1. Trending down strongly 🔴.
- Adj Off Eff (Adjusted Offensive Efficiency): Currently ranked 354 of 365 in D1. Trending down strongly 🔴.
Defensive Trends:
- Opp Turnovers (Opp Turnovers): Currently ranked 333 of 365 in D1. Trending down strongly 🟢.
- Opp FGM Per Poss (Opp FG Makes Per Possession (%)): Currently ranked 215 of 365 in D1. Trending up strongly 🔴.
Cal Poly
Record: 4-5 | Elo: 1438.2 (ranked 269 of 365) | Efficiency Margin: -13.07 (ranked 266 of 365)
Offensive Trends:
- Turnovers (Turnovers): Currently ranked 352 of 365 in D1. Trending up strongly 🔴.
- Off Reb Pct (Offensive Rebounding): Currently ranked 55 of 365 in D1. Trending up strongly 🟢.
Defensive Trends:
- Def Reb Pct (Defensive Rebounding): Currently ranked 105 of 365 in D1. Trending up strongly 🟢.
- Opp 2Pt Pct (Opp 2 Point FGM/FGA (%)): Currently ranked 314 of 365 in D1. Trending up strongly 🔴.
Hawai’i
Record: 6-2 | Elo: 1486.5 (ranked 204 of 365) | Efficiency Margin: +9.64 (ranked 97 of 365)
Offensive Trends:
- Off Reb Pct (Offensive Rebounding): Currently ranked 92 of 365 in D1. Trending up strongly 🟢.
- FT Rate (FTA/FGA (%)): Currently ranked 3 of 365 in D1. Trending up strongly 🟢.
Defensive Trends:
- Opp Shooting (Opp Shooting): Currently ranked 11 of 365 in D1. Trending down strongly 🟢.
- Opp Turnovers (Opp Turnovers): Currently ranked 131 of 365 in D1. Trending up strongly 🔴.
Long Beach St
Record: 2-6 | Elo: 1367.1 (ranked 342 of 365) | Efficiency Margin: -19.24 (ranked 314 of 365)
Offensive Trends:
- Turnovers (Turnovers): Currently ranked 200 of 365 in D1. Trending down strongly 🟢.
- Off Reb Pct (Offensive Rebounding): Currently ranked 189 of 365 in D1. Trending up strongly 🟢.
Defensive Trends:
- Opp Shooting (Opp Shooting): Currently ranked 323 of 365 in D1. Trending up strongly 🔴.
- Opp FGM Per Poss (Opp FG Makes Per Possession (%)): Currently ranked 271 of 365 in D1. Trending up strongly 🔴.
UC Davis
Record: 5-2 | Elo: 1500.3 (ranked 183 of 365) | Efficiency Margin: +4.91 (ranked 128 of 365)
Offensive Trends:
- Shooting (Shooting): Currently ranked 56 of 365 in D1. Trending up strongly 🟢.
- FGM Per Poss (Field Goal Makes Per Possession (%)): Currently ranked 190 of 365 in D1. Trending up strongly 🟢.
Defensive Trends:
- Opp FTA Per Poss (Opp Free Throw Attempts Per Possession (%)): Currently ranked 116 of 365 in D1. Trending down strongly 🟢.
- Opp Turnovers (Opp Turnovers): Currently ranked 94 of 365 in D1. Trending down moderately 🟢.
UC Irvine
Record: 5-4 | Elo: 1618.6 (ranked 51 of 365) | Efficiency Margin: -1.77 (ranked 179 of 365)
Offensive Trends:
- Shooting (Shooting): Currently ranked 290 of 365 in D1. Trending down strongly 🔴.
- FT Rate (FTA/FGA (%)): Currently ranked 76 of 365 in D1. Trending up strongly 🟢.
Defensive Trends:
- Opp Shooting (Opp Shooting): Currently ranked 10 of 365 in D1. Trending down strongly 🟢.
- Def Reb Pct (Defensive Rebounding): Currently ranked 259 of 365 in D1. Trending down strongly 🔴.
UC Riverside
Record: 4-4 | Elo: 1523.8 (ranked 146 of 365) | Efficiency Margin: -14.33 (ranked 276 of 365)
Offensive Trends:
- Shooting (Shooting): Currently ranked 86 of 365 in D1. Trending up strongly 🟢.
- Turnovers (Turnovers): Currently ranked 328 of 365 in D1. Trending up strongly 🔴.
Defensive Trends:
- Opp Turnovers (Opp Turnovers): Currently ranked 350 of 365 in D1. Trending down strongly 🟢.
- Opp 2PM Per Poss (Opp 2 Point Makes Per Possession (%)): Currently ranked 356 of 365 in D1. Trending up strongly 🔴.
UC San Diego
Record: 7-0 | Elo: 1664.8 (ranked 22 of 365) | Efficiency Margin: +14.07 (ranked 65 of 365)
Offensive Trends:
- Shooting (Shooting): Currently ranked 5 of 365 in D1. Trending up strongly 🟢.
- FT Rate (FTA/FGA (%)): Currently ranked 116 of 365 in D1. Trending up strongly 🟢.
Defensive Trends:
- Opp Turnovers (Opp Turnovers): Currently ranked 206 of 365 in D1. Trending down strongly 🟢.
- Def Reb Pct (Defensive Rebounding): Currently ranked 184 of 365 in D1. Trending down strongly 🔴.
UCSB
Record: 6-2 | Elo: 1538.2 (ranked 126 of 365) | Efficiency Margin: -7.50 (ranked 223 of 365)
Offensive Trends:
- Shooting (Shooting): Currently ranked 139 of 365 in D1. Trending down strongly 🔴.
- Off Reb Pct (Offensive Rebounding): Currently ranked 20 of 365 in D1. Trending up strongly 🟢.
Defensive Trends:
- Opp Shooting (Opp Shooting): Currently ranked 306 of 365 in D1. Trending up strongly 🔴.
- Opp FT Rate (Opp FTA/FGA (%)): Currently ranked 331 of 365 in D1. Trending up strongly 🔴.

Figure 2: Offensive Four Factors comparison across Big West teams. The radar chart shows each team’s shooting efficiency (eFG%), ball security (TOV%), offensive rebounding (OREB%), and free throw generation (FT Rate).

Figure 3: Defensive Four Factors comparison across Big West teams. The radar chart shows each team’s opponent shooting defense (Opp eFG%), ball disruption (forcing TOV%), defensive rebounding (DREB%), and opponent free throw prevention (Opp FT Rate).

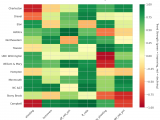
Figure 4: MACD trends heatmap showing which metrics are improving (green) or declining (red) for each team. Stronger colors indicate more pronounced trends.
Looking Ahead
As Big West teams continue their season, the MACD trending indicators will help identify which teams are genuinely improving versus those riding unsustainable momentum. Check back next week for updated analysis.
Metrics Glossary
Four Factors (Dean Oliver’s framework for basketball success):
- eFG% (Effective Field Goal %): Field goal percentage adjusted for 3-pointers being worth more (FGM + 0.5×3PM) / FGA. Higher is better offensively, lower is better defensively.
- TOV% (Turnover Rate): Turnovers per 100 possessions. Lower is better offensively (taking care of the ball), higher is better defensively (forcing turnovers).
- OREB% / DREB% (Offensive/Defensive Rebound Rate): Percentage of available rebounds grabbed. Offensive rebounds create second-chance points; defensive rebounds end opponent possessions.
- FTR (Free Throw Rate): Free throws made per field goal attempt (FTM/FGA). Measures ability to get to the line AND convert. Higher is better offensively, lower is better defensively.
Other Metrics:
- Elo Rating: Chess-style rating system that updates based on game results and opponent strength. Higher Elo indicates stronger team.
- Efficiency Margin: Point differential per 100 possessions (Offensive Efficiency – Defensive Efficiency). Accounts for pace of play.
- MACD (Moving Average Convergence Divergence): Trend indicator comparing 12-game and 26-game exponential moving averages. Positive MACD = improving trend, Negative MACD = declining trend.
Analysis powered by HoopSci’s advanced metrics and MACD trending indicators.

