Horizon Update: Week 4
December 1, 2025The Horizon enters Week 4 with teams showing diverse trending patterns. This analysis examines each team’s performance trends using MACD (Moving Average Convergence Divergence) indicators to identify not just where teams stand, but where they’re headed.

Figure 1: Efficiency margin trends for Horizon teams throughout the season. Teams trending upward show improving performance, while downward trends indicate struggles.
Conference Snapshot
- Week Dates: November 24 – November 30, 2025
- Trending Up (Efficiency): Cleveland State, Green Bay, IUPUI, N Kentucky, Oakland
- Trending Down (Efficiency): Detroit Mercy, Milwaukee
Team-by-Team Analysis
Cleveland State
Record: 3-6 | Elo: 1496.8 (ranked 187 of 365) | Efficiency Margin: -14.16 (ranked 275 of 365)
Offensive Trends:
- Turnovers (Turnovers): Currently ranked 303 of 365 in D1. Trending up strongly 🔴.
- FT Rate (FTA/FGA (%)): Currently ranked 70 of 365 in D1. Trending up strongly 🟢.
Defensive Trends:
- Opp Shooting (Opp Shooting): Currently ranked 324 of 365 in D1. Trending up strongly 🔴.
- Def Reb Pct (Defensive Rebounding): Currently ranked 349 of 365 in D1. Trending down strongly 🔴.
Detroit Mercy
Record: 2-6 | Elo: 1333.4 (ranked 356 of 365) | Efficiency Margin: -17.66 (ranked 306 of 365)
Offensive Trends:
- Off Reb Pct (Offensive Rebounding): Currently ranked 122 of 365 in D1. Trending up strongly 🟢.
- 3Pt Pct (3 Point FGM/FGA (%)): Currently ranked 355 of 365 in D1. Trending down strongly 🔴.
Defensive Trends:
- Opp Shooting (Opp Shooting): Currently ranked 312 of 365 in D1. Trending up strongly 🔴.
- Opp FG Pct (%) (Opp FGM/FGA (%)): Currently ranked 302 of 365 in D1. Trending up strongly 🔴.
Green Bay
Record: 4-5 | Elo: 1368.0 (ranked 339 of 365) | Efficiency Margin: -8.25 (ranked 229 of 365)
Offensive Trends:
- Turnovers (Turnovers): Currently ranked 60 of 365 in D1. Trending down strongly 🟢.
- Off Reb Pct (Offensive Rebounding): Currently ranked 138 of 365 in D1. Trending up strongly 🟢.
Defensive Trends:
- Opp 2PM Per Poss (Opp 2 Point Makes Per Possession (%)): Currently ranked 248 of 365 in D1. Trending down strongly 🟢.
- Opp 2PA Per Poss (Opp 2 Point Attempts Per Possession (%)): Currently ranked 136 of 365 in D1. Trending down strongly 🟢.
IUPUI
Record: 3-6 | Elo: 1332.2 (ranked 357 of 365) | Efficiency Margin: -16.76 (ranked 294 of 365)
Offensive Trends:
- FT Rate (FTA/FGA (%)): Currently ranked 364 of 365 in D1. Trending down strongly 🔴.
- 2Pt Rate (2 Point Attempts/FGA (%)): Currently ranked 299 of 365 in D1. Trending down strongly 🔴.
Defensive Trends:
- Opp Turnovers (Opp Turnovers): Currently ranked 42 of 365 in D1. Trending up strongly 🔴.
- Opp FGA Per Poss (Opp FG Attempts Per Possession (%)): Currently ranked 55 of 365 in D1. Trending down strongly 🟢.
Milwaukee
Record: 3-5 | Elo: 1522.8 (ranked 149 of 365) | Efficiency Margin: -9.38 (ranked 236 of 365)
Offensive Trends:
- Turnovers (Turnovers): Currently ranked 73 of 365 in D1. Trending down strongly 🟢.
- Off Reb Pct (Offensive Rebounding): Currently ranked 120 of 365 in D1. Trending up strongly 🟢.
Defensive Trends:
- Opp Shooting (Opp Shooting): Currently ranked 316 of 365 in D1. Trending up strongly 🔴.
- Def Reb Pct (Defensive Rebounding): Currently ranked 274 of 365 in D1. Trending down strongly 🔴.
N Kentucky
Record: 6-2 | Elo: 1527.8 (ranked 139 of 365) | Efficiency Margin: -3.66 (ranked 192 of 365)
Offensive Trends:
- Off Reb Pct (Offensive Rebounding): Currently ranked 21 of 365 in D1. Trending up strongly 🟢.
- FTM Per Poss (Free Throw Makes Per Possession (%)): Currently ranked 244 of 365 in D1. Trending up strongly 🟢.
Defensive Trends:
- Opp FT Rate (Opp FTA/FGA (%)): Currently ranked 323 of 365 in D1. Trending up strongly 🔴.
- Opp FGA Per Poss (Opp FG Attempts Per Possession (%)): Currently ranked 25 of 365 in D1. Trending down strongly 🟢.
Oakland
Record: 2-5 | Elo: 1519.3 (ranked 156 of 365) | Efficiency Margin: -5.54 (ranked 208 of 365)
Offensive Trends:
- Turnovers (Turnovers): Currently ranked 29 of 365 in D1. Trending down strongly 🟢.
- Off Reb Pct (Offensive Rebounding): Currently ranked 345 of 365 in D1. Trending down strongly 🔴.
Defensive Trends:
- Opp Shooting (Opp Shooting): Currently ranked 350 of 365 in D1. Trending up strongly 🔴.
- Opp FGM Per Poss (Opp FG Makes Per Possession (%)): Currently ranked 362 of 365 in D1. Trending up strongly 🔴.
Purdue Fort Wayne
Record: 4-5 | Elo: 1492.0 (ranked 198 of 365) | Efficiency Margin: -14.80 (ranked 279 of 365)
Offensive Trends:
- Shooting (Shooting): Currently ranked 52 of 365 in D1. Trending up strongly 🟢.
- Turnovers (Turnovers): Currently ranked 88 of 365 in D1. Trending up strongly 🔴.
Defensive Trends:
- Opp Shooting (Opp Shooting): Currently ranked 365 of 365 in D1. Trending up strongly 🔴.
- Def Reb Pct (Defensive Rebounding): Currently ranked 304 of 365 in D1. Trending down strongly 🔴.
Robert Morris
Record: 5-3 | Elo: 1553.3 (ranked 112 of 365) | Efficiency Margin: -1.46 (ranked 175 of 365)
Offensive Trends:
- Off Reb Pct (Offensive Rebounding): Currently ranked 34 of 365 in D1. Trending up strongly 🟢.
- FT Rate (FTA/FGA (%)): Currently ranked 357 of 365 in D1. Trending down strongly 🔴.
Defensive Trends:
- Opp Shooting (Opp Shooting): Currently ranked 93 of 365 in D1. Trending down strongly 🟢.
- Opp FT Rate (Opp FTA/FGA (%)): Currently ranked 336 of 365 in D1. Trending up strongly 🔴.
Wright State
Record: 4-4 | Elo: 1459.8 (ranked 246 of 365) | Efficiency Margin: +1.13 (ranked 159 of 365)
Offensive Trends:
- Off Reb Pct (Offensive Rebounding): Currently ranked 158 of 365 in D1. Trending up strongly 🟢.
- FT Rate (FTA/FGA (%)): Currently ranked 335 of 365 in D1. Trending down strongly 🔴.
Defensive Trends:
- Opp Turnovers (Opp Turnovers): Currently ranked 69 of 365 in D1. Trending up strongly 🔴.
- Def Reb Pct (Defensive Rebounding): Currently ranked 289 of 365 in D1. Trending down strongly 🔴.
Youngstown St
Record: 4-4 | Elo: 1535.0 (ranked 130 of 365) | Efficiency Margin: -1.05 (ranked 172 of 365)
Offensive Trends:
- Shooting (Shooting): Currently ranked 88 of 365 in D1. Trending up strongly 🟢.
- Turnovers (Turnovers): Currently ranked 299 of 365 in D1. Trending up strongly 🔴.
Defensive Trends:
- Opp 3PM Per Poss (Opp 3 Point Makes Per Possession (%)): Currently ranked 14 of 365 in D1. Trending down strongly 🟢.
- Opp FT Pct (Opp FTM/FTA (%)): Currently ranked 333 of 365 in D1. Trending up strongly 🔴.

Figure 2: Offensive Four Factors comparison across Horizon teams. The radar chart shows each team’s shooting efficiency (eFG%), ball security (TOV%), offensive rebounding (OREB%), and free throw generation (FT Rate).

Figure 3: Defensive Four Factors comparison across Horizon teams. The radar chart shows each team’s opponent shooting defense (Opp eFG%), ball disruption (forcing TOV%), defensive rebounding (DREB%), and opponent free throw prevention (Opp FT Rate).

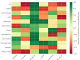
Figure 4: MACD trends heatmap showing which metrics are improving (green) or declining (red) for each team. Stronger colors indicate more pronounced trends.
Looking Ahead
As Horizon teams continue their season, the MACD trending indicators will help identify which teams are genuinely improving versus those riding unsustainable momentum. Check back next week for updated analysis.
Metrics Glossary
Four Factors (Dean Oliver’s framework for basketball success):
- eFG% (Effective Field Goal %): Field goal percentage adjusted for 3-pointers being worth more (FGM + 0.5×3PM) / FGA. Higher is better offensively, lower is better defensively.
- TOV% (Turnover Rate): Turnovers per 100 possessions. Lower is better offensively (taking care of the ball), higher is better defensively (forcing turnovers).
- OREB% / DREB% (Offensive/Defensive Rebound Rate): Percentage of available rebounds grabbed. Offensive rebounds create second-chance points; defensive rebounds end opponent possessions.
- FTR (Free Throw Rate): Free throws made per field goal attempt (FTM/FGA). Measures ability to get to the line AND convert. Higher is better offensively, lower is better defensively.
Other Metrics:
- Elo Rating: Chess-style rating system that updates based on game results and opponent strength. Higher Elo indicates stronger team.
- Efficiency Margin: Point differential per 100 possessions (Offensive Efficiency – Defensive Efficiency). Accounts for pace of play.
- MACD (Moving Average Convergence Divergence): Trend indicator comparing 12-game and 26-game exponential moving averages. Positive MACD = improving trend, Negative MACD = declining trend.
Analysis powered by HoopSci’s advanced metrics and MACD trending indicators.

