Ivy Update: Week 4
December 1, 2025The Ivy enters Week 4 with teams showing diverse trending patterns. This analysis examines each team’s performance trends using MACD (Moving Average Convergence Divergence) indicators to identify not just where teams stand, but where they’re headed.

Figure 1: Efficiency margin trends for Ivy teams throughout the season. Teams trending upward show improving performance, while downward trends indicate struggles.
Conference Snapshot
- Week Dates: November 24 – November 30, 2025
- Trending Up (Efficiency): Columbia, Cornell, Dartmouth, Harvard, Princeton
- Trending Down (Efficiency): Brown, Penn
Team-by-Team Analysis
Brown
Record: 3-5 | Elo: 1478.1 (ranked 214 of 365) | Efficiency Margin: -6.25 (ranked 211 of 365)
Offensive Trends:
- Turnovers (Turnovers): Currently ranked 327 of 365 in D1. Trending up strongly 🔴.
- Adj Off Eff (Adjusted Offensive Efficiency): Currently ranked 268 of 365 in D1. Trending down strongly 🔴.
Defensive Trends:
- Opp Shooting (Opp Shooting): Currently ranked 101 of 365 in D1. Trending down strongly 🟢.
- Opp Turnovers (Opp Turnovers): Currently ranked 155 of 365 in D1. Trending up strongly 🔴.
Columbia
Record: 7-1 | Elo: 1476.7 (ranked 220 of 365) | Efficiency Margin: +13.36 (ranked 72 of 365)
Offensive Trends:
- Shooting (Shooting): Currently ranked 43 of 365 in D1. Trending up strongly 🟢.
- Off Reb Pct (Offensive Rebounding): Currently ranked 38 of 365 in D1. Trending up strongly 🟢.
Defensive Trends:
- Opp Shooting (Opp Shooting): Currently ranked 98 of 365 in D1. Trending down strongly 🟢.
- Opp FGM Per Poss (Opp FG Makes Per Possession (%)): Currently ranked 127 of 365 in D1. Trending down strongly 🟢.
Cornell
Record: 5-2 | Elo: 1575.1 (ranked 86 of 365) | Efficiency Margin: +10.08 (ranked 94 of 365)
Offensive Trends:
- Shooting (Shooting): Currently ranked 4 of 365 in D1. Trending up strongly 🟢.
- Turnovers (Turnovers): Currently ranked 272 of 365 in D1. Trending up strongly 🔴.
Defensive Trends:
- Opp 3PM Per Poss (Opp 3 Point Makes Per Possession (%)): Currently ranked 141 of 365 in D1. Trending down strongly 🟢.
- Opp Assists per FGM (Opp Assists/FGM (%)): Currently ranked 116 of 365 in D1. Trending down strongly 🟢.
Dartmouth
Record: 2-3 | Elo: 1445.3 (ranked 259 of 365) | Efficiency Margin: -6.60 (ranked 215 of 365)
Offensive Trends:
- Off Reb Pct (Offensive Rebounding): Currently ranked 69 of 365 in D1. Trending up strongly 🟢.
- FT Rate (FTA/FGA (%)): Currently ranked 42 of 365 in D1. Trending up strongly 🟢.
Defensive Trends:
- Def Reb Pct (Defensive Rebounding): Currently ranked 107 of 365 in D1. Trending down strongly 🔴.
- Opp 3PM Per Poss (Opp 3 Point Makes Per Possession (%)): Currently ranked 134 of 365 in D1. Trending down strongly 🟢.
Harvard
Record: 5-4 | Elo: 1492.7 (ranked 196 of 365) | Efficiency Margin: +0.66 (ranked 165 of 365)
Offensive Trends:
- FT Rate (FTA/FGA (%)): Currently ranked 301 of 365 in D1. Trending down strongly 🔴.
- FGM Per Poss (Field Goal Makes Per Possession (%)): Currently ranked 148 of 365 in D1. Trending up strongly 🟢.
Defensive Trends:
- Opp 2Pt Rate (Opp 2 Point Attempts/FGA (%)): Currently ranked 123 of 365 in D1. Trending down strongly 🟢.
- Opp 2PM Per Poss (Opp 2 Point Makes Per Possession (%)): Currently ranked 169 of 365 in D1. Trending down strongly 🟢.
Penn
Record: 5-3 | Elo: 1448.2 (ranked 256 of 365) | Efficiency Margin: +4.34 (ranked 134 of 365)
Offensive Trends:
- Off Reb Pct (Offensive Rebounding): Currently ranked 109 of 365 in D1. Trending up strongly 🟢.
- FT Rate (FTA/FGA (%)): Currently ranked 60 of 365 in D1. Trending up strongly 🟢.
Defensive Trends:
- Def Reb Pct (Defensive Rebounding): Currently ranked 283 of 365 in D1. Trending down strongly 🔴.
- Opp 3PM Per Poss (Opp 3 Point Makes Per Possession (%)): Currently ranked 180 of 365 in D1. Trending down strongly 🟢.
Princeton
Record: 3-7 | Elo: 1531.6 (ranked 135 of 365) | Efficiency Margin: -6.85 (ranked 218 of 365)
Offensive Trends:
- Turnovers (Turnovers): Currently ranked 245 of 365 in D1. Trending up strongly 🔴.
- Off Reb Pct (Offensive Rebounding): Currently ranked 300 of 365 in D1. Trending down strongly 🔴.
Defensive Trends:
- Opp FT Rate (Opp FTA/FGA (%)): Currently ranked 282 of 365 in D1. Trending up strongly 🔴.
- Opp 2PM Per Poss (Opp 2 Point Makes Per Possession (%)): Currently ranked 238 of 365 in D1. Trending up strongly 🔴.
Yale
Record: 7-1 | Elo: 1672.0 (ranked 19 of 365) | Efficiency Margin: +17.39 (ranked 51 of 365)
Offensive Trends:
- Shooting (Shooting): Currently ranked 22 of 365 in D1. Trending up strongly 🟢.
- Turnovers (Turnovers): Currently ranked 32 of 365 in D1. Trending down strongly 🟢.
Defensive Trends:
- Opp Shooting (Opp Shooting): Currently ranked 283 of 365 in D1. Trending up strongly 🔴.
- Def Reb Pct (Defensive Rebounding): Currently ranked 214 of 365 in D1. Trending down strongly 🔴.

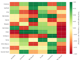
Figure 2: Offensive Four Factors comparison across Ivy teams. The radar chart shows each team’s shooting efficiency (eFG%), ball security (TOV%), offensive rebounding (OREB%), and free throw generation (FT Rate).

Figure 3: Defensive Four Factors comparison across Ivy teams. The radar chart shows each team’s opponent shooting defense (Opp eFG%), ball disruption (forcing TOV%), defensive rebounding (DREB%), and opponent free throw prevention (Opp FT Rate).

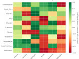
Figure 4: MACD trends heatmap showing which metrics are improving (green) or declining (red) for each team. Stronger colors indicate more pronounced trends.
Looking Ahead
As Ivy teams continue their season, the MACD trending indicators will help identify which teams are genuinely improving versus those riding unsustainable momentum. Check back next week for updated analysis.
Metrics Glossary
Four Factors (Dean Oliver’s framework for basketball success):
- eFG% (Effective Field Goal %): Field goal percentage adjusted for 3-pointers being worth more (FGM + 0.5×3PM) / FGA. Higher is better offensively, lower is better defensively.
- TOV% (Turnover Rate): Turnovers per 100 possessions. Lower is better offensively (taking care of the ball), higher is better defensively (forcing turnovers).
- OREB% / DREB% (Offensive/Defensive Rebound Rate): Percentage of available rebounds grabbed. Offensive rebounds create second-chance points; defensive rebounds end opponent possessions.
- FTR (Free Throw Rate): Free throws made per field goal attempt (FTM/FGA). Measures ability to get to the line AND convert. Higher is better offensively, lower is better defensively.
Other Metrics:
- Elo Rating: Chess-style rating system that updates based on game results and opponent strength. Higher Elo indicates stronger team.
- Efficiency Margin: Point differential per 100 possessions (Offensive Efficiency – Defensive Efficiency). Accounts for pace of play.
- MACD (Moving Average Convergence Divergence): Trend indicator comparing 12-game and 26-game exponential moving averages. Positive MACD = improving trend, Negative MACD = declining trend.
Analysis powered by HoopSci’s advanced metrics and MACD trending indicators.

