Patriot League Update: Week 4
December 1, 2025The Patriot League enters Week 4 with teams showing diverse trending patterns. This analysis examines each team’s performance trends using MACD (Moving Average Convergence Divergence) indicators to identify not just where teams stand, but where they’re headed.

Figure 1: Efficiency margin trends for Patriot League teams throughout the season. Teams trending upward show improving performance, while downward trends indicate struggles.
Conference Snapshot
- Week Dates: November 24 – November 30, 2025
- Trending Up (Efficiency): American, Army, Boston U, Colgate, Lehigh
- Trending Down (Efficiency): Bucknell, Holy Cross, Lafayette, Navy
Team-by-Team Analysis
American
Record: 5-4 | Elo: 1496.3 (ranked 188 of 365) | Efficiency Margin: -8.13 (ranked 227 of 365)
Offensive Trends:
- Off Reb Pct (Offensive Rebounding): Currently ranked 126 of 365 in D1. Trending up strongly 🟢.
- FT Rate (FTA/FGA (%)): Currently ranked 206 of 365 in D1. Trending up strongly 🟢.
Defensive Trends:
- Opp Shooting (Opp Shooting): Currently ranked 172 of 365 in D1. Trending down strongly 🟢.
- Opp FT Rate (Opp FTA/FGA (%)): Currently ranked 365 of 365 in D1. Trending up strongly 🔴.
Army
Record: 3-6 | Elo: 1418.9 (ranked 290 of 365) | Efficiency Margin: -22.22 (ranked 333 of 365)
Offensive Trends:
- Turnovers (Turnovers): Currently ranked 192 of 365 in D1. Trending up strongly 🔴.
- Adj Off Eff (Adjusted Offensive Efficiency): Currently ranked 309 of 365 in D1. Trending down strongly 🔴.
Defensive Trends:
- Opp FTM Per Poss (Opp Free Throw Makes Per Possession (%)): Currently ranked 277 of 365 in D1. Trending up strongly 🔴.
- Opp FTA Per Poss (Opp Free Throw Attempts Per Possession (%)): Currently ranked 229 of 365 in D1. Trending up strongly 🔴.
Boston U
Record: 3-5 | Elo: 1460.6 (ranked 244 of 365) | Efficiency Margin: -4.65 (ranked 203 of 365)
Offensive Trends:
- Shooting (Shooting): Currently ranked 30 of 365 in D1. Trending up strongly 🟢.
- Off Reb Pct (Offensive Rebounding): Currently ranked 313 of 365 in D1. Trending down strongly 🔴.
Defensive Trends:
- Opp Turnovers (Opp Turnovers): Currently ranked 325 of 365 in D1. Trending down strongly 🟢.
- Def Reb Pct (Defensive Rebounding): Currently ranked 190 of 365 in D1. Trending down strongly 🔴.
Bucknell
Record: 2-7 | Elo: 1450.5 (ranked 255 of 365) | Efficiency Margin: -15.23 (ranked 281 of 365)
Offensive Trends:
- Shooting (Shooting): Currently ranked 321 of 365 in D1. Trending down strongly 🔴.
- Turnovers (Turnovers): Currently ranked 324 of 365 in D1. Trending up strongly 🔴.
Defensive Trends:
- Opp Shooting (Opp Shooting): Currently ranked 322 of 365 in D1. Trending up strongly 🔴.
- Opp Turnovers (Opp Turnovers): Currently ranked 101 of 365 in D1. Trending up strongly 🔴.
Colgate
Record: 5-4 | Elo: 1510.2 (ranked 170 of 365) | Efficiency Margin: +4.39 (ranked 133 of 365)
Offensive Trends:
- Off Reb Pct (Offensive Rebounding): Currently ranked 279 of 365 in D1. Trending up strongly 🟢.
- FGM Per Poss (Field Goal Makes Per Possession (%)): Currently ranked 44 of 365 in D1. Trending up strongly 🟢.
Defensive Trends:
- Def Reb Pct (Defensive Rebounding): Currently ranked 284 of 365 in D1. Trending down strongly 🔴.
- Opp 2PM Per Poss (Opp 2 Point Makes Per Possession (%)): Currently ranked 242 of 365 in D1. Trending up strongly 🔴.
Holy Cross
Record: 2-6 | Elo: 1370.0 (ranked 336 of 365) | Efficiency Margin: -18.44 (ranked 312 of 365)
Offensive Trends:
- Off Reb Pct (Offensive Rebounding): Currently ranked 295 of 365 in D1. Trending up strongly 🟢.
- FT Rate (FTA/FGA (%)): Currently ranked 314 of 365 in D1. Trending up strongly 🟢.
Defensive Trends:
- Opp Shooting (Opp Shooting): Currently ranked 325 of 365 in D1. Trending up strongly 🔴.
- Opp FG Pct (%) (Opp FGM/FGA (%)): Currently ranked 339 of 365 in D1. Trending up strongly 🔴.
Lafayette
Record: 2-6 | Elo: 1367.0 (ranked 343 of 365) | Efficiency Margin: -17.20 (ranked 300 of 365)
Offensive Trends:
- Shooting (Shooting): Currently ranked 331 of 365 in D1. Trending down strongly 🔴.
- FGM Per Poss (Field Goal Makes Per Possession (%)): Currently ranked 326 of 365 in D1. Trending down strongly 🔴.
Defensive Trends:
- Def Reb Pct (Defensive Rebounding): Currently ranked 321 of 365 in D1. Trending down strongly 🔴.
- Opp FT Rate (Opp FTA/FGA (%)): Currently ranked 180 of 365 in D1. Trending up strongly 🔴.
Lehigh
Record: 3-6 | Elo: 1406.3 (ranked 305 of 365) | Efficiency Margin: -13.16 (ranked 269 of 365)
Offensive Trends:
- Turnovers (Turnovers): Currently ranked 249 of 365 in D1. Trending up strongly 🔴.
- Adj Off Eff (Adjusted Offensive Efficiency): Currently ranked 302 of 365 in D1. Trending down strongly 🔴.
Defensive Trends:
- Def Reb Pct (Defensive Rebounding): Currently ranked 332 of 365 in D1. Trending down strongly 🔴.
- Opp FT Rate (Opp FTA/FGA (%)): Currently ranked 206 of 365 in D1. Trending up strongly 🔴.
Loyola (MD)
Record: 4-5 | Elo: 1375.5 (ranked 332 of 365) | Efficiency Margin: -16.29 (ranked 290 of 365)
Offensive Trends:
- Shooting (Shooting): Currently ranked 150 of 365 in D1. Trending up strongly 🟢.
- Turnovers (Turnovers): Currently ranked 295 of 365 in D1. Trending up strongly 🔴.
Defensive Trends:
- Def Reb Pct (Defensive Rebounding): Currently ranked 273 of 365 in D1. Trending down strongly 🔴.
- Opp FT Rate (Opp FTA/FGA (%)): Currently ranked 194 of 365 in D1. Trending up strongly 🔴.
Navy
Record: 4-5 | Elo: 1457.6 (ranked 250 of 365) | Efficiency Margin: -6.07 (ranked 210 of 365)
Offensive Trends:
- FT Pct (FTM/FTA (%)): Currently ranked 27 of 365 in D1. Trending up strongly 🟢.
- Adj Def Eff (Adjusted Defensive Efficiency): Currently ranked 218 of 365 in D1. Trending down strongly 🔴.
Defensive Trends:
- Opp Turnovers (Opp Turnovers): Currently ranked 77 of 365 in D1. Trending up strongly 🔴.
- Def Reb Pct (Defensive Rebounding): Currently ranked 232 of 365 in D1. Trending down strongly 🔴.

Figure 2: Offensive Four Factors comparison across Patriot League teams. The radar chart shows each team’s shooting efficiency (eFG%), ball security (TOV%), offensive rebounding (OREB%), and free throw generation (FT Rate).

Figure 3: Defensive Four Factors comparison across Patriot League teams. The radar chart shows each team’s opponent shooting defense (Opp eFG%), ball disruption (forcing TOV%), defensive rebounding (DREB%), and opponent free throw prevention (Opp FT Rate).

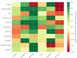
Figure 4: MACD trends heatmap showing which metrics are improving (green) or declining (red) for each team. Stronger colors indicate more pronounced trends.
Looking Ahead
As Patriot League teams continue their season, the MACD trending indicators will help identify which teams are genuinely improving versus those riding unsustainable momentum. Check back next week for updated analysis.
Metrics Glossary
Four Factors (Dean Oliver’s framework for basketball success):
- eFG% (Effective Field Goal %): Field goal percentage adjusted for 3-pointers being worth more (FGM + 0.5×3PM) / FGA. Higher is better offensively, lower is better defensively.
- TOV% (Turnover Rate): Turnovers per 100 possessions. Lower is better offensively (taking care of the ball), higher is better defensively (forcing turnovers).
- OREB% / DREB% (Offensive/Defensive Rebound Rate): Percentage of available rebounds grabbed. Offensive rebounds create second-chance points; defensive rebounds end opponent possessions.
- FTR (Free Throw Rate): Free throws made per field goal attempt (FTM/FGA). Measures ability to get to the line AND convert. Higher is better offensively, lower is better defensively.
Other Metrics:
- Elo Rating: Chess-style rating system that updates based on game results and opponent strength. Higher Elo indicates stronger team.
- Efficiency Margin: Point differential per 100 possessions (Offensive Efficiency – Defensive Efficiency). Accounts for pace of play.
- MACD (Moving Average Convergence Divergence): Trend indicator comparing 12-game and 26-game exponential moving averages. Positive MACD = improving trend, Negative MACD = declining trend.
Analysis powered by HoopSci’s advanced metrics and MACD trending indicators.

