West Coast Update: Week 4
December 1, 2025The West Coast enters Week 4 with teams showing diverse trending patterns. This analysis examines each team’s performance trends using MACD (Moving Average Convergence Divergence) indicators to identify not just where teams stand, but where they’re headed.

Figure 1: Efficiency margin trends for West Coast teams throughout the season. Teams trending upward show improving performance, while downward trends indicate struggles.
Conference Snapshot
- Week Dates: November 24 – November 30, 2025
- Trending Up (Efficiency): Pacific, Portland, Saint Mary’s, San Diego, San Francisco
- Trending Down (Efficiency): Gonzaga, Loyola Mary, Pepperdine, Santa Clara, Oregon State
Team-by-Team Analysis
Gonzaga
Record: 7-1 | Elo: 1710.4 (ranked 9 of 365) | Efficiency Margin: +40.14 (ranked 4 of 365)
Offensive Trends:
- FT Pct (FTM/FTA (%)): Currently ranked 271 of 365 in D1. Trending down strongly 🔴.
- Off Tempo (Offensive Possessions Per Game): Currently ranked 55 of 365 in D1. Trending up strongly 🟢.
Defensive Trends:
- Opp Turnovers (Opp Turnovers): Currently ranked 32 of 365 in D1. Trending up strongly 🔴.
- Opp FT Rate (Opp FTA/FGA (%)): Currently ranked 210 of 365 in D1. Trending up strongly 🔴.
Loyola Mary
Record: 7-2 | Elo: 1517.6 (ranked 158 of 365) | Efficiency Margin: +4.47 (ranked 132 of 365)
Offensive Trends:
- Turnovers (Turnovers): Currently ranked 168 of 365 in D1. Trending up strongly 🔴.
- Off Reb Pct (Offensive Rebounding): Currently ranked 141 of 365 in D1. Trending up strongly 🟢.
Defensive Trends:
- Opp Turnovers (Opp Turnovers): Currently ranked 149 of 365 in D1. Trending up strongly 🔴.
- Opp FT Rate (Opp FTA/FGA (%)): Currently ranked 123 of 365 in D1. Trending up strongly 🔴.
Oregon State
Record: 3-5 | Elo: 1480.1 (ranked 213 of 365) | Efficiency Margin: -5.11 (ranked 206 of 365)
Offensive Trends:
- Turnovers (Turnovers): Currently ranked 294 of 365 in D1. Trending up strongly 🔴.
- Off Reb Pct (Offensive Rebounding): Currently ranked 329 of 365 in D1. Trending down strongly 🔴.
Defensive Trends:
- Def Reb Pct (Defensive Rebounding): Currently ranked 309 of 365 in D1. Trending down strongly 🔴.
- Opp 2Pt Rate (Opp 2 Point Attempts/FGA (%)): Currently ranked 175 of 365 in D1. Trending up strongly 🔴.
Pacific
Record: 6-2 | Elo: 1400.2 (ranked 311 of 365) | Efficiency Margin: +6.54 (ranked 117 of 365)
Offensive Trends:
- Shooting (Shooting): Currently ranked 103 of 365 in D1. Trending up strongly 🟢.
- Turnovers (Turnovers): Currently ranked 286 of 365 in D1. Trending up strongly 🔴.
Defensive Trends:
- Opp Shooting (Opp Shooting): Currently ranked 35 of 365 in D1. Trending down strongly 🟢.
- Def Reb Pct (Defensive Rebounding): Currently ranked 26 of 365 in D1. Trending up strongly 🟢.
Pepperdine
Record: 3-5 | Elo: 1394.1 (ranked 319 of 365) | Efficiency Margin: -13.57 (ranked 272 of 365)
Offensive Trends:
- Shooting (Shooting): Currently ranked 292 of 365 in D1. Trending down strongly 🔴.
- Turnovers (Turnovers): Currently ranked 190 of 365 in D1. Trending up strongly 🔴.
Defensive Trends:
- Opp FGA Per Poss (Opp FG Attempts Per Possession (%)): Currently ranked 325 of 365 in D1. Trending up strongly 🔴.
- Opp 2Pt Rate (Opp 2 Point Attempts/FGA (%)): Currently ranked 57 of 365 in D1. Trending down strongly 🟢.
Portland
Record: 5-3 | Elo: 1429.9 (ranked 277 of 365) | Efficiency Margin: -10.36 (ranked 247 of 365)
Offensive Trends:
- Shooting (Shooting): Currently ranked 71 of 365 in D1. Trending up strongly 🟢.
- Turnovers (Turnovers): Currently ranked 332 of 365 in D1. Trending up strongly 🔴.
Defensive Trends:
- Opp Turnovers (Opp Turnovers): Currently ranked 163 of 365 in D1. Trending up strongly 🔴.
- Def Reb Pct (Defensive Rebounding): Currently ranked 117 of 365 in D1. Trending up strongly 🟢.
Saint Mary’s
Record: 8-1 | Elo: 1704.2 (ranked 11 of 365) | Efficiency Margin: +27.97 (ranked 21 of 365)
Offensive Trends:
- Turnovers (Turnovers): Currently ranked 184 of 365 in D1. Trending up strongly 🔴.
- FT Rate (FTA/FGA (%)): Currently ranked 62 of 365 in D1. Trending up strongly 🟢.
Defensive Trends:
- Def Reb Pct (Defensive Rebounding): Currently ranked 50 of 365 in D1. Trending down strongly 🔴.
- Opp FGA Per Poss (Opp FG Attempts Per Possession (%)): Currently ranked 317 of 365 in D1. Trending up strongly 🔴.
San Diego
Record: 3-4 | Elo: 1359.4 (ranked 347 of 365) | Efficiency Margin: -21.23 (ranked 328 of 365)
Offensive Trends:
- Shooting (Shooting): Currently ranked 151 of 365 in D1. Trending up strongly 🟢.
- FGM Per Poss (Field Goal Makes Per Possession (%)): Currently ranked 138 of 365 in D1. Trending up strongly 🟢.
Defensive Trends:
- Def Reb Pct (Defensive Rebounding): Currently ranked 344 of 365 in D1. Trending down strongly 🔴.
- Opp FT Rate (Opp FTA/FGA (%)): Currently ranked 249 of 365 in D1. Trending down strongly 🟢.
San Francisco
Record: 5-3 | Elo: 1599.2 (ranked 67 of 365) | Efficiency Margin: +10.35 (ranked 93 of 365)
Offensive Trends:
- Turnovers (Turnovers): Currently ranked 322 of 365 in D1. Trending up strongly 🔴.
- Off Reb Pct (Offensive Rebounding): Currently ranked 77 of 365 in D1. Trending up strongly 🟢.
Defensive Trends:
- Opp Turnovers (Opp Turnovers): Currently ranked 321 of 365 in D1. Trending down strongly 🟢.
- Opp FGM Per Poss (Opp FG Makes Per Possession (%)): Currently ranked 153 of 365 in D1. Trending up strongly 🔴.
Santa Clara
Record: 7-1 | Elo: 1599.6 (ranked 66 of 365) | Efficiency Margin: +20.17 (ranked 38 of 365)
Offensive Trends:
- FGA Per Poss (Field Goal Attempts Per Possession (%)): Currently ranked 6 of 365 in D1. Trending up strongly 🟢.
- Balls Blocked Per FGA (Balls Blocked Per Shot Attempt): Currently ranked 218 of 365 in D1. Trending down strongly 🔴.
Defensive Trends:
- Opp Shooting (Opp Shooting): Currently ranked 31 of 365 in D1. Trending down strongly 🟢.
- Opp Turnovers (Opp Turnovers): Currently ranked 79 of 365 in D1. Trending up strongly 🔴.
Seattle
Record: 5-2 | Elo: 1522.9 (ranked 148 of 365) | Efficiency Margin: +9.33 (ranked 100 of 365)
Offensive Trends:
- Shooting (Shooting): Currently ranked 16 of 365 in D1. Trending up strongly 🟢.
- Off Reb Pct (Offensive Rebounding): Currently ranked 349 of 365 in D1. Trending down strongly 🔴.
Defensive Trends:
- Def Reb Pct (Defensive Rebounding): Currently ranked 254 of 365 in D1. Trending down strongly 🔴.
- Opp FT Pct (Opp FTM/FTA (%)): Currently ranked 270 of 365 in D1. Trending up strongly 🔴.
Washington St
Record: 2-5 | Elo: 1504.4 (ranked 178 of 365) | Efficiency Margin: -4.92 (ranked 204 of 365)
Offensive Trends:
- Turnovers (Turnovers): Currently ranked 114 of 365 in D1. Trending down strongly 🟢.
- FT Pct (FTM/FTA (%)): Currently ranked 26 of 365 in D1. Trending up strongly 🟢.
Defensive Trends:
- Opp Shooting (Opp Shooting): Currently ranked 360 of 365 in D1. Trending up strongly 🔴.
- Opp FGA Per Poss (Opp FG Attempts Per Possession (%)): Currently ranked 74 of 365 in D1. Trending down strongly 🟢.

Figure 2: Offensive Four Factors comparison across West Coast teams. The radar chart shows each team’s shooting efficiency (eFG%), ball security (TOV%), offensive rebounding (OREB%), and free throw generation (FT Rate).

Figure 3: Defensive Four Factors comparison across West Coast teams. The radar chart shows each team’s opponent shooting defense (Opp eFG%), ball disruption (forcing TOV%), defensive rebounding (DREB%), and opponent free throw prevention (Opp FT Rate).

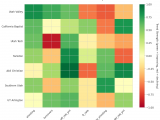
Figure 4: MACD trends heatmap showing which metrics are improving (green) or declining (red) for each team. Stronger colors indicate more pronounced trends.
Looking Ahead
As West Coast teams continue their season, the MACD trending indicators will help identify which teams are genuinely improving versus those riding unsustainable momentum. Check back next week for updated analysis.
Metrics Glossary
Four Factors (Dean Oliver’s framework for basketball success):
- eFG% (Effective Field Goal %): Field goal percentage adjusted for 3-pointers being worth more (FGM + 0.5×3PM) / FGA. Higher is better offensively, lower is better defensively.
- TOV% (Turnover Rate): Turnovers per 100 possessions. Lower is better offensively (taking care of the ball), higher is better defensively (forcing turnovers).
- OREB% / DREB% (Offensive/Defensive Rebound Rate): Percentage of available rebounds grabbed. Offensive rebounds create second-chance points; defensive rebounds end opponent possessions.
- FTR (Free Throw Rate): Free throws made per field goal attempt (FTM/FGA). Measures ability to get to the line AND convert. Higher is better offensively, lower is better defensively.
Other Metrics:
- Elo Rating: Chess-style rating system that updates based on game results and opponent strength. Higher Elo indicates stronger team.
- Efficiency Margin: Point differential per 100 possessions (Offensive Efficiency – Defensive Efficiency). Accounts for pace of play.
- MACD (Moving Average Convergence Divergence): Trend indicator comparing 12-game and 26-game exponential moving averages. Positive MACD = improving trend, Negative MACD = declining trend.
Analysis powered by HoopSci’s advanced metrics and MACD trending indicators.

