Big East Update: Week 5
December 8, 2025The Big East enters Week 5 with teams showing diverse trending patterns. This analysis examines each team’s performance trends using MACD (Moving Average Convergence Divergence) indicators to identify not just where teams stand, but where they’re headed.

Figure 1: Efficiency margin trends for Big East teams throughout the season. Teams trending upward show improving performance, while downward trends indicate struggles.
Conference Snapshot
- Week Dates: December 01 – December 07, 2025
- Trending Up (Efficiency): Butler, Providence, Seton Hall, Villanova
- Trending Down (Efficiency): Creighton, DePaul, Georgetown, Marquette, St John’s
Team-by-Team Analysis
Butler
Record: 7-2 | Elo: 1535.4 (ranked 130 of 365) | Efficiency Margin: +19.22 (ranked 41 of 365)
Offensive Trends:
- Off Reb Pct (Offensive Rebounding): Currently ranked 16 of 365 in D1. Trending up strongly 🟢.
- FGM Per Poss (Field Goal Makes Per Possession (%)): Currently ranked 61 of 365 in D1. Trending up strongly 🟢.
Defensive Trends:
- Opp Shooting (Opp Shooting): Currently ranked 53 of 365 in D1. Trending down strongly 🟢.
- Def Reb Pct (Defensive Rebounding): Currently ranked 127 of 365 in D1. Trending down strongly 🔴.
Creighton
Record: 5-4 | Elo: 1640.5 (ranked 34 of 365) | Efficiency Margin: +7.32 (ranked 111 of 365)
Offensive Trends:
- Shooting (Shooting): Currently ranked 156 of 365 in D1. Trending down strongly 🔴.
- Adj Off Eff (Adjusted Offensive Efficiency): Currently ranked 123 of 365 in D1. Trending down strongly 🔴.
Defensive Trends:
- Opp FT Rate (Opp FTA/FGA (%)): Currently ranked 3 of 365 in D1. Trending up strongly 🔴.
- Opp FGA Per Poss (Opp FG Attempts Per Possession (%)): Currently ranked 363 of 365 in D1. Trending down strongly 🟢.
DePaul
Record: 6-3 | Elo: 1443.6 (ranked 265 of 365) | Efficiency Margin: +3.16 (ranked 135 of 365)
Offensive Trends:
- Turnovers (Turnovers): Currently ranked 139 of 365 in D1. Trending down strongly 🟢.
- FT Rate (FTA/FGA (%)): Currently ranked 40 of 365 in D1. Trending up strongly 🟢.
Defensive Trends:
- Opp Turnovers (Opp Turnovers): Currently ranked 56 of 365 in D1. Trending up strongly 🔴.
- Opp FGA Per Poss (Opp FG Attempts Per Possession (%)): Currently ranked 68 of 365 in D1. Trending down strongly 🟢.
Georgetown
Record: 6-3 | Elo: 1504.8 (ranked 181 of 365) | Efficiency Margin: +10.27 (ranked 93 of 365)
Offensive Trends:
- Turnovers (Turnovers): Currently ranked 1 of 365 in D1. Trending down strongly 🟢.
- Adj Off Eff (Adjusted Offensive Efficiency): Currently ranked 64 of 365 in D1. Trending up strongly 🟢.
Defensive Trends:
- Opp Shooting (Opp Shooting): Currently ranked 124 of 365 in D1. Trending up moderately 🔴.
- Opp Turnovers (Opp Turnovers): Currently ranked 180 of 365 in D1. Trending down moderately 🟢.
Marquette
Record: 5-5 | Elo: 1601.5 (ranked 63 of 365) | Efficiency Margin: +8.93 (ranked 102 of 365)
Offensive Trends:
- Shooting (Shooting): Currently ranked 237 of 365 in D1. Trending down strongly 🔴.
- FT Rate (FTA/FGA (%)): Currently ranked 118 of 365 in D1. Trending up strongly 🟢.
Defensive Trends:
- Opp Shooting (Opp Shooting): Currently ranked 183 of 365 in D1. Trending up strongly 🔴.
- Opp 3PM Per Poss (Opp 3 Point Makes Per Possession (%)): Currently ranked 209 of 365 in D1. Trending up strongly 🔴.
Providence
Record: 6-4 | Elo: 1505.9 (ranked 179 of 365) | Efficiency Margin: +17.56 (ranked 49 of 365)
Offensive Trends:
- Shooting (Shooting): Currently ranked 31 of 365 in D1. Trending up strongly 🟢.
- Adj Off Eff (Adjusted Offensive Efficiency): Currently ranked 24 of 365 in D1. Trending up strongly 🟢.
Defensive Trends:
- Opp Turnovers (Opp Turnovers): Currently ranked 236 of 365 in D1. Trending up strongly 🔴.
- Opp 2Pt Rate (Opp 2 Point Attempts/FGA (%)): Currently ranked 96 of 365 in D1. Trending down strongly 🟢.
Seton Hall
Record: 8-1 | Elo: 1530.3 (ranked 141 of 365) | Efficiency Margin: +22.96 (ranked 30 of 365)
Offensive Trends:
- Shooting (Shooting): Currently ranked 156 of 365 in D1. Trending up strongly 🟢.
- Turnovers (Turnovers): Currently ranked 57 of 365 in D1. Trending down strongly 🟢.
Defensive Trends:
- Opp Shooting (Opp Shooting): Currently ranked 22 of 365 in D1. Trending down strongly 🟢.
- Opp FGM Per Poss (Opp FG Makes Per Possession (%)): Currently ranked 3 of 365 in D1. Trending down strongly 🟢.
St John’s
Record: 5-3 | Elo: 1676.6 (ranked 18 of 365) | Efficiency Margin: +26.70 (ranked 21 of 365)
Offensive Trends:
- Turnovers (Turnovers): Currently ranked 166 of 365 in D1. Trending up strongly 🔴.
- FT Rate (FTA/FGA (%)): Currently ranked 23 of 365 in D1. Trending up strongly 🟢.
Defensive Trends:
- Def Reb Pct (Defensive Rebounding): Currently ranked 266 of 365 in D1. Trending down strongly 🔴.
- Opp 2Pt Rate (Opp 2 Point Attempts/FGA (%)): Currently ranked 305 of 365 in D1. Trending up strongly 🔴.
UConn
Record: 8-1 | Elo: 1715.0 (ranked 8 of 365) | Efficiency Margin: +29.66 (ranked 16 of 365)
Offensive Trends:
- Turnovers (Turnovers): Currently ranked 25 of 365 in D1. Trending down strongly 🟢.
- Adj Off Eff (Adjusted Offensive Efficiency): Currently ranked 45 of 365 in D1. Trending down strongly 🔴.
Defensive Trends:
- Opp Shooting (Opp Shooting): Currently ranked 6 of 365 in D1. Trending down strongly 🟢.
- Opp Turnovers (Opp Turnovers): Currently ranked 64 of 365 in D1. Trending up strongly 🔴.
Villanova
Record: 7-1 | Elo: 1603.6 (ranked 61 of 365) | Efficiency Margin: +21.43 (ranked 34 of 365)
Offensive Trends:
- Shooting (Shooting): Currently ranked 27 of 365 in D1. Trending up strongly 🟢.
- Off Reb Pct (Offensive Rebounding): Currently ranked 7 of 365 in D1. Trending up strongly 🟢.
Defensive Trends:
- Opp Turnovers (Opp Turnovers): Currently ranked 93 of 365 in D1. Trending up strongly 🔴.
- Opp FGA Per Poss (Opp FG Attempts Per Possession (%)): Currently ranked 162 of 365 in D1. Trending down strongly 🟢.
Xavier
Record: 7-3 | Elo: 1600.1 (ranked 66 of 365) | Efficiency Margin: +8.30 (ranked 104 of 365)
Offensive Trends:
- Turnovers (Turnovers): Currently ranked 5 of 365 in D1. Trending down strongly 🟢.
- FT Rate (FTA/FGA (%)): Currently ranked 216 of 365 in D1. Trending down strongly 🔴.
Defensive Trends:
- Opp Shooting (Opp Shooting): Currently ranked 188 of 365 in D1. Trending down strongly 🟢.
- Opp Turnovers (Opp Turnovers): Currently ranked 143 of 365 in D1. Trending down strongly 🟢.

Figure 2: Offensive Four Factors comparison across Big East teams. The radar chart shows each team’s shooting efficiency (eFG%), ball security (TOV%), offensive rebounding (OREB%), and free throw generation (FT Rate).

Figure 3: Defensive Four Factors comparison across Big East teams. The radar chart shows each team’s opponent shooting defense (Opp eFG%), ball disruption (forcing TOV%), defensive rebounding (DREB%), and opponent free throw prevention (Opp FT Rate).

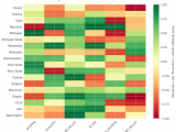
Figure 4: MACD trends heatmap showing which metrics are improving (green) or declining (red) for each team. Stronger colors indicate more pronounced trends.
Looking Ahead
As Big East teams continue their season, the MACD trending indicators will help identify which teams are genuinely improving versus those riding unsustainable momentum. Check back next week for updated analysis.
Metrics Glossary
Four Factors (Dean Oliver’s framework for basketball success):
- eFG% (Effective Field Goal %): Field goal percentage adjusted for 3-pointers being worth more (FGM + 0.5×3PM) / FGA. Higher is better offensively, lower is better defensively.
- TOV% (Turnover Rate): Turnovers per 100 possessions. Lower is better offensively (taking care of the ball), higher is better defensively (forcing turnovers).
- OREB% / DREB% (Offensive/Defensive Rebound Rate): Percentage of available rebounds grabbed. Offensive rebounds create second-chance points; defensive rebounds end opponent possessions.
- FTR (Free Throw Rate): Free throws made per field goal attempt (FTM/FGA). Measures ability to get to the line AND convert. Higher is better offensively, lower is better defensively.
Other Metrics:
- Elo Rating: Chess-style rating system that updates based on game results and opponent strength. Higher Elo indicates stronger team.
- Efficiency Margin: Point differential per 100 possessions (Offensive Efficiency – Defensive Efficiency). Accounts for pace of play.
- MACD (Moving Average Convergence Divergence): Trend indicator comparing 12-game and 26-game exponential moving averages. Positive MACD = improving trend, Negative MACD = declining trend.
Analysis powered by HoopSci’s advanced metrics and MACD trending indicators.

