SEC Update: Week 5
December 8, 2025The SEC enters Week 5 with teams showing diverse trending patterns. This analysis examines each team’s performance trends using MACD (Moving Average Convergence Divergence) indicators to identify not just where teams stand, but where they’re headed.

Figure 1: Efficiency margin trends for SEC teams throughout the season. Teams trending upward show improving performance, while downward trends indicate struggles.
Conference Snapshot
- Week Dates: December 01 – December 07, 2025
- Trending Up (Efficiency): Arkansas, Georgia, South Carolina, Texas A&M, Vanderbilt
- Trending Down (Efficiency): Alabama, Auburn, Florida, Kentucky, LSU
Team-by-Team Analysis
Alabama
Record: 7-2 | Elo: 1727.1 (ranked 5 of 365) | Efficiency Margin: +32.96 (ranked 9 of 365)
Offensive Trends:
- Turnovers (Turnovers): Currently ranked 16 of 365 in D1. Trending down strongly 🟢.
- FGA Per Poss (Field Goal Attempts Per Possession (%)): Currently ranked 63 of 365 in D1. Trending up strongly 🟢.
Defensive Trends:
- Opp Shooting (Opp Shooting): Currently ranked 69 of 365 in D1. Trending down strongly 🟢.
- Opp FGM Per Poss (Opp FG Makes Per Possession (%)): Currently ranked 187 of 365 in D1. Trending down strongly 🟢.
Arkansas
Record: 7-2 | Elo: 1619.0 (ranked 52 of 365) | Efficiency Margin: +22.00 (ranked 31 of 365)
Offensive Trends:
- Turnovers (Turnovers): Currently ranked 17 of 365 in D1. Trending down strongly 🟢.
- Adj Off Eff (Adjusted Offensive Efficiency): Currently ranked 42 of 365 in D1. Trending up strongly 🟢.
Defensive Trends:
- Opp FT Rate (Opp FTA/FGA (%)): Currently ranked 24 of 365 in D1. Trending down strongly 🟢.
- Opp 2Pt Rate (Opp 2 Point Attempts/FGA (%)): Currently ranked 92 of 365 in D1. Trending down strongly 🟢.
Auburn
Record: 7-3 | Elo: 1727.9 (ranked 4 of 365) | Efficiency Margin: +18.29 (ranked 45 of 365)
Offensive Trends:
- Turnovers (Turnovers): Currently ranked 87 of 365 in D1. Trending up strongly 🔴.
- FT Rate (FTA/FGA (%)): Currently ranked 41 of 365 in D1. Trending up strongly 🟢.
Defensive Trends:
- Opp Shooting (Opp Shooting): Currently ranked 132 of 365 in D1. Trending up strongly 🔴.
- Def Reb Pct (Defensive Rebounding): Currently ranked 232 of 365 in D1. Trending down strongly 🔴.
Florida
Record: 5-3 | Elo: 1728.0 (ranked 3 of 365) | Efficiency Margin: +26.13 (ranked 22 of 365)
Offensive Trends:
- Shooting (Shooting): Currently ranked 227 of 365 in D1. Trending down strongly 🔴.
- Turnovers (Turnovers): Currently ranked 248 of 365 in D1. Trending up strongly 🔴.
Defensive Trends:
- Def Reb Pct (Defensive Rebounding): Currently ranked 25 of 365 in D1. Trending up moderately 🟢.
- Opp FGA Per Poss (Opp FG Attempts Per Possession (%)): Currently ranked 118 of 365 in D1. Trending down moderately 🟢.
Georgia
Record: 8-1 | Elo: 1602.2 (ranked 62 of 365) | Efficiency Margin: +33.14 (ranked 8 of 365)
Offensive Trends:
- Shooting (Shooting): Currently ranked 53 of 365 in D1. Trending up strongly 🟢.
- Off Reb Pct (Offensive Rebounding): Currently ranked 14 of 365 in D1. Trending up strongly 🟢.
Defensive Trends:
- Def Reb Pct (Defensive Rebounding): Currently ranked 206 of 365 in D1. Trending up strongly 🟢.
- Opp 2Pt Rate (Opp 2 Point Attempts/FGA (%)): Currently ranked 285 of 365 in D1. Trending up strongly 🔴.
Kentucky
Record: 5-4 | Elo: 1619.0 (ranked 51 of 365) | Efficiency Margin: +27.20 (ranked 19 of 365)
Offensive Trends:
- Shooting (Shooting): Currently ranked 101 of 365 in D1. Trending down strongly 🔴.
- Off Reb Pct (Offensive Rebounding): Currently ranked 77 of 365 in D1. Trending up strongly 🟢.
Defensive Trends:
- Def Reb Pct (Defensive Rebounding): Currently ranked 55 of 365 in D1. Trending down strongly 🔴.
- Opp FT Rate (Opp FTA/FGA (%)): Currently ranked 29 of 365 in D1. Trending down strongly 🟢.
LSU
Record: 8-1 | Elo: 1546.7 (ranked 117 of 365) | Efficiency Margin: +17.42 (ranked 50 of 365)
Offensive Trends:
- Turnovers (Turnovers): Currently ranked 104 of 365 in D1. Trending down strongly 🟢.
- Adj Off Eff (Adjusted Offensive Efficiency): Currently ranked 54 of 365 in D1. Trending up strongly 🟢.
Defensive Trends:
- Def Reb Pct (Defensive Rebounding): Currently ranked 57 of 365 in D1. Trending up strongly 🟢.
- Opp 2Pt Rate (Opp 2 Point Attempts/FGA (%)): Currently ranked 143 of 365 in D1. Trending down strongly 🟢.
Miss St
Record: 4-5 | Elo: 1562.4 (ranked 100 of 365) | Efficiency Margin: +2.12 (ranked 145 of 365)
Offensive Trends:
- Off Reb Pct (Offensive Rebounding): Currently ranked 187 of 365 in D1. Trending down strongly 🔴.
- Adj Off Eff (Adjusted Offensive Efficiency): Currently ranked 151 of 365 in D1. Trending down strongly 🔴.
Defensive Trends:
- Opp Shooting (Opp Shooting): Currently ranked 69 of 365 in D1. Trending down strongly 🟢.
- Opp Turnovers (Opp Turnovers): Currently ranked 349 of 365 in D1. Trending down strongly 🟢.
Missouri
Record: 8-2 | Elo: 1574.3 (ranked 91 of 365) | Efficiency Margin: +16.40 (ranked 54 of 365)
Offensive Trends:
- FTM Per Poss (Free Throw Makes Per Possession (%)): Currently ranked 106 of 365 in D1. Trending down strongly 🔴.
- FT Pct (FTM/FTA (%)): Currently ranked 269 of 365 in D1. Trending down strongly 🔴.
Defensive Trends:
- Def Reb Pct (Defensive Rebounding): Currently ranked 63 of 365 in D1. Trending up strongly 🟢.
- Opp 2Pt Rate (Opp 2 Point Attempts/FGA (%)): Currently ranked 17 of 365 in D1. Trending down strongly 🟢.
Oklahoma
Record: 6-3 | Elo: 1581.7 (ranked 83 of 365) | Efficiency Margin: +13.48 (ranked 67 of 365)
Offensive Trends:
- Turnovers (Turnovers): Currently ranked 29 of 365 in D1. Trending down strongly 🟢.
- Off Reb Pct (Offensive Rebounding): Currently ranked 69 of 365 in D1. Trending up strongly 🟢.
Defensive Trends:
- Opp FGM Per Poss (Opp FG Makes Per Possession (%)): Currently ranked 178 of 365 in D1. Trending down strongly 🟢.
- Opp 2PM Per Poss (Opp 2 Point Makes Per Possession (%)): Currently ranked 120 of 365 in D1. Trending down strongly 🟢.
Ole Miss
Record: 5-4 | Elo: 1586.8 (ranked 79 of 365) | Efficiency Margin: +10.94 (ranked 88 of 365)
Offensive Trends:
- Shooting (Shooting): Currently ranked 182 of 365 in D1. Trending down strongly 🔴.
- Turnovers (Turnovers): Currently ranked 76 of 365 in D1. Trending up strongly 🔴.
Defensive Trends:
- Opp Turnovers (Opp Turnovers): Currently ranked 100 of 365 in D1. Trending up strongly 🔴.
- Def Reb Pct (Defensive Rebounding): Currently ranked 204 of 365 in D1. Trending down strongly 🔴.
South Carolina
Record: 6-3 | Elo: 1508.7 (ranked 174 of 365) | Efficiency Margin: +10.20 (ranked 96 of 365)
Offensive Trends:
- Shooting (Shooting): Currently ranked 88 of 365 in D1. Trending up strongly 🟢.
- Turnovers (Turnovers): Currently ranked 26 of 365 in D1. Trending down strongly 🟢.
Defensive Trends:
- Opp Shooting (Opp Shooting): Currently ranked 49 of 365 in D1. Trending down strongly 🟢.
- Opp FGM Per Poss (Opp FG Makes Per Possession (%)): Currently ranked 143 of 365 in D1. Trending down strongly 🟢.
Tennessee
Record: 7-3 | Elo: 1697.5 (ranked 13 of 365) | Efficiency Margin: +23.81 (ranked 27 of 365)
Offensive Trends:
- Shooting (Shooting): Currently ranked 128 of 365 in D1. Trending down strongly 🔴.
- Turnovers (Turnovers): Currently ranked 285 of 365 in D1. Trending up strongly 🔴.
Defensive Trends:
- Opp FT Pct (Opp FTM/FTA (%)): Currently ranked 24 of 365 in D1. Trending down strongly 🟢.
- Opp Shooting (Opp Shooting): Currently ranked 27 of 365 in D1. Trending up moderately 🔴.
Texas
Record: 5-3 | Elo: 1569.1 (ranked 93 of 365) | Efficiency Margin: +20.37 (ranked 37 of 365)
Offensive Trends:
- Shooting (Shooting): Currently ranked 83 of 365 in D1. Trending up strongly 🟢.
- FT Rate (FTA/FGA (%)): Currently ranked 19 of 365 in D1. Trending up strongly 🟢.
Defensive Trends:
- Opp Shooting (Opp Shooting): Currently ranked 108 of 365 in D1. Trending up strongly 🔴.
- Opp Turnovers (Opp Turnovers): Currently ranked 338 of 365 in D1. Trending down strongly 🟢.
Texas A&M
Record: 7-3 | Elo: 1630.7 (ranked 39 of 365) | Efficiency Margin: +12.11 (ranked 79 of 365)
Offensive Trends:
- Shooting (Shooting): Currently ranked 77 of 365 in D1. Trending up strongly 🟢.
- FGA Per Poss (Field Goal Attempts Per Possession (%)): Currently ranked 280 of 365 in D1. Trending down strongly 🔴.
Defensive Trends:
- Opp 2PM Per Poss (Opp 2 Point Makes Per Possession (%)): Currently ranked 107 of 365 in D1. Trending up strongly 🔴.
- Opp 2Pt Pct (Opp 2 Point FGM/FGA (%)): Currently ranked 201 of 365 in D1. Trending up strongly 🔴.
Vanderbilt
Record: 9-0 | Elo: 1622.0 (ranked 49 of 365) | Efficiency Margin: +31.13 (ranked 11 of 365)
Offensive Trends:
- Shooting (Shooting): Currently ranked 5 of 365 in D1. Trending up strongly 🟢.
- Turnovers (Turnovers): Currently ranked 1 of 365 in D1. Trending down strongly 🟢.
Defensive Trends:
- Opp Shooting (Opp Shooting): Currently ranked 45 of 365 in D1. Trending down strongly 🟢.
- Opp FT Rate (Opp FTA/FGA (%)): Currently ranked 326 of 365 in D1. Trending up strongly 🔴.

Figure 2: Offensive Four Factors comparison across SEC teams. The radar chart shows each team’s shooting efficiency (eFG%), ball security (TOV%), offensive rebounding (OREB%), and free throw generation (FT Rate).

Figure 3: Defensive Four Factors comparison across SEC teams. The radar chart shows each team’s opponent shooting defense (Opp eFG%), ball disruption (forcing TOV%), defensive rebounding (DREB%), and opponent free throw prevention (Opp FT Rate).

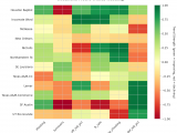
Figure 4: MACD trends heatmap showing which metrics are improving (green) or declining (red) for each team. Stronger colors indicate more pronounced trends.
Looking Ahead
As SEC teams continue their season, the MACD trending indicators will help identify which teams are genuinely improving versus those riding unsustainable momentum. Check back next week for updated analysis.
Metrics Glossary
Four Factors (Dean Oliver’s framework for basketball success):
- eFG% (Effective Field Goal %): Field goal percentage adjusted for 3-pointers being worth more (FGM + 0.5×3PM) / FGA. Higher is better offensively, lower is better defensively.
- TOV% (Turnover Rate): Turnovers per 100 possessions. Lower is better offensively (taking care of the ball), higher is better defensively (forcing turnovers).
- OREB% / DREB% (Offensive/Defensive Rebound Rate): Percentage of available rebounds grabbed. Offensive rebounds create second-chance points; defensive rebounds end opponent possessions.
- FTR (Free Throw Rate): Free throws made per field goal attempt (FTM/FGA). Measures ability to get to the line AND convert. Higher is better offensively, lower is better defensively.
Other Metrics:
- Elo Rating: Chess-style rating system that updates based on game results and opponent strength. Higher Elo indicates stronger team.
- Efficiency Margin: Point differential per 100 possessions (Offensive Efficiency – Defensive Efficiency). Accounts for pace of play.
- MACD (Moving Average Convergence Divergence): Trend indicator comparing 12-game and 26-game exponential moving averages. Positive MACD = improving trend, Negative MACD = declining trend.
Analysis powered by HoopSci’s advanced metrics and MACD trending indicators.

