SWAC Update: Week 5
December 8, 2025The SWAC enters Week 5 with teams showing diverse trending patterns. This analysis examines each team’s performance trends using MACD (Moving Average Convergence Divergence) indicators to identify not just where teams stand, but where they’re headed.

Figure 1: Efficiency margin trends for SWAC teams throughout the season. Teams trending upward show improving performance, while downward trends indicate struggles.
Conference Snapshot
- Week Dates: December 01 – December 07, 2025
- Trending Up (Efficiency): Alabama State, Alcorn State, Grambling, Miss Valley St, PV A&M
- Trending Down (Efficiency): Alabama A&M, AR-Pine Bluff, Jackson State, Bethune-Cookman, Florida A&M
Team-by-Team Analysis
AR-Pine Bluff
Record: 1-9 | Elo: 1311.5 (ranked 367 of 365) | Efficiency Margin: -25.53 (ranked 344 of 365)
Offensive Trends:
- Off Reb Pct (Offensive Rebounding): Currently ranked 315 of 365 in D1. Trending down strongly 🔴.
- FT Rate (FTA/FGA (%)): Currently ranked 312 of 365 in D1. Trending down strongly 🔴.
Defensive Trends:
- Opp Turnovers (Opp Turnovers): Currently ranked 301 of 365 in D1. Trending down strongly 🟢.
- Opp FT Rate (Opp FTA/FGA (%)): Currently ranked 333 of 365 in D1. Trending up strongly 🔴.
Alabama A&M
Record: 4-4 | Elo: 1375.2 (ranked 338 of 365) | Efficiency Margin: -20.45 (ranked 319 of 365)
Offensive Trends:
- Off Reb Pct (Offensive Rebounding): Currently ranked 256 of 365 in D1. Trending down strongly 🔴.
- 2Pt Rate (2 Point Attempts/FGA (%)): Currently ranked 61 of 365 in D1. Trending up strongly 🟢.
Defensive Trends:
- Opp Turnovers (Opp Turnovers): Currently ranked 158 of 365 in D1. Trending down strongly 🟢.
- Opp FT Rate (Opp FTA/FGA (%)): Currently ranked 277 of 365 in D1. Trending down strongly 🟢.
Alabama State
Record: 3-6 | Elo: 1456.2 (ranked 249 of 365) | Efficiency Margin: -9.76 (ranked 238 of 365)
Offensive Trends:
- Shooting (Shooting): Currently ranked 223 of 365 in D1. Trending up strongly 🟢.
- Turnovers (Turnovers): Currently ranked 203 of 365 in D1. Trending up strongly 🔴.
Defensive Trends:
- Opp Shooting (Opp Shooting): Currently ranked 305 of 365 in D1. Trending up strongly 🔴.
- Opp FGM Per Poss (Opp FG Makes Per Possession (%)): Currently ranked 248 of 365 in D1. Trending up strongly 🔴.
Alcorn State
Record: 1-9 | Elo: 1421.5 (ranked 292 of 365) | Efficiency Margin: -22.08 (ranked 326 of 365)
Offensive Trends:
- Turnovers (Turnovers): Currently ranked 365 of 365 in D1. Trending up strongly 🔴.
- FT Rate (FTA/FGA (%)): Currently ranked 350 of 365 in D1. Trending down strongly 🔴.
Defensive Trends:
- Opp Shooting (Opp Shooting): Currently ranked 346 of 365 in D1. Trending up strongly 🔴.
- Def Reb Pct (Defensive Rebounding): Currently ranked 361 of 365 in D1. Trending down strongly 🔴.
Bethune-Cookman
Record: 3-6 | Elo: 1466.6 (ranked 233 of 365) | Efficiency Margin: -7.18 (ranked 224 of 365)
Offensive Trends:
- Turnovers (Turnovers): Currently ranked 62 of 365 in D1. Trending down strongly 🟢.
- Adj Off Eff (Adjusted Offensive Efficiency): Currently ranked 209 of 365 in D1. Trending up strongly 🟢.
Defensive Trends:
- Def Reb Pct (Defensive Rebounding): Currently ranked 269 of 365 in D1. Trending down strongly 🔴.
- Opp 2Pt Rate (Opp 2 Point Attempts/FGA (%)): Currently ranked 247 of 365 in D1. Trending down strongly 🟢.
Florida A&M
Record: 0-5 | Elo: 1383.9 (ranked 329 of 365) | Efficiency Margin: -32.69 (ranked 360 of 365)
Offensive Trends:
- Off Reb Pct (Offensive Rebounding): Currently ranked 332 of 365 in D1. Trending down strongly 🔴.
- 2Pt Rate (2 Point Attempts/FGA (%)): Currently ranked 97 of 365 in D1. Trending up strongly 🟢.
Defensive Trends:
- Opp Shooting (Opp Shooting): Currently ranked 316 of 365 in D1. Trending up strongly 🔴.
- Def Reb Pct (Defensive Rebounding): Currently ranked 350 of 365 in D1. Trending down strongly 🔴.
Grambling
Record: 3-5 | Elo: 1422.8 (ranked 290 of 365) | Efficiency Margin: -15.64 (ranked 291 of 365)
Offensive Trends:
- FT Rate (FTA/FGA (%)): Currently ranked 37 of 365 in D1. Trending up strongly 🟢.
- FGA Per Poss (Field Goal Attempts Per Possession (%)): Currently ranked 363 of 365 in D1. Trending down strongly 🔴.
Defensive Trends:
- Opp Shooting (Opp Shooting): Currently ranked 286 of 365 in D1. Trending up strongly 🔴.
- Opp FT Rate (Opp FTA/FGA (%)): Currently ranked 323 of 365 in D1. Trending up strongly 🔴.
Jackson State
Record: 1-7 | Elo: 1464.3 (ranked 238 of 365) | Efficiency Margin: -32.66 (ranked 359 of 365)
Offensive Trends:
- Shooting (Shooting): Currently ranked 354 of 365 in D1. Trending down strongly 🔴.
- Off Reb Pct (Offensive Rebounding): Currently ranked 360 of 365 in D1. Trending down strongly 🔴.
Defensive Trends:
- Def Reb Pct (Defensive Rebounding): Currently ranked 362 of 365 in D1. Trending down strongly 🔴.
- Opp FT Rate (Opp FTA/FGA (%)): Currently ranked 262 of 365 in D1. Trending up strongly 🔴.
Miss Valley St
Record: 1-8 | Elo: 1224.9 (ranked 370 of 365) | Efficiency Margin: -33.58 (ranked 364 of 365)
Offensive Trends:
- Off Reb Pct (Offensive Rebounding): Currently ranked 249 of 365 in D1. Trending up strongly 🟢.
- Adj Off Eff (Adjusted Offensive Efficiency): Currently ranked 353 of 365 in D1. Trending up strongly 🟢.
Defensive Trends:
- Opp FT Rate (Opp FTA/FGA (%)): Currently ranked 364 of 365 in D1. Trending up strongly 🔴.
- Opp FGM Per Poss (Opp FG Makes Per Possession (%)): Currently ranked 202 of 365 in D1. Trending down strongly 🟢.
PV A&M
Record: 4-5 | Elo: 1322.0 (ranked 362 of 365) | Efficiency Margin: -17.15 (ranked 304 of 365)
Offensive Trends:
- Off Reb Pct (Offensive Rebounding): Currently ranked 353 of 365 in D1. Trending up strongly 🟢.
- FGM Per Poss (Field Goal Makes Per Possession (%)): Currently ranked 308 of 365 in D1. Trending up strongly 🟢.
Defensive Trends:
- Opp Turnovers (Opp Turnovers): Currently ranked 27 of 365 in D1. Trending up strongly 🔴.
- Opp FGA Per Poss (Opp FG Attempts Per Possession (%)): Currently ranked 18 of 365 in D1. Trending down strongly 🟢.
Southern
Record: 4-4 | Elo: 1493.2 (ranked 197 of 365) | Efficiency Margin: -10.72 (ranked 254 of 365)
Offensive Trends:
- Shooting (Shooting): Currently ranked 241 of 365 in D1. Trending up strongly 🟢.
- Off Reb Pct (Offensive Rebounding): Currently ranked 172 of 365 in D1. Trending up strongly 🟢.
Defensive Trends:
- Opp Turnovers (Opp Turnovers): Currently ranked 195 of 365 in D1. Trending down strongly 🟢.
- Def Reb Pct (Defensive Rebounding): Currently ranked 281 of 365 in D1. Trending down strongly 🔴.
Texas Southern
Record: 1-6 | Elo: 1425.5 (ranked 288 of 365) | Efficiency Margin: -24.59 (ranked 341 of 365)
Offensive Trends:
- Off Reb Pct (Offensive Rebounding): Currently ranked 317 of 365 in D1. Trending up strongly 🟢.
- FGA Per Poss (Field Goal Attempts Per Possession (%)): Currently ranked 357 of 365 in D1. Trending down strongly 🔴.
Defensive Trends:
- Opp Shooting (Opp Shooting): Currently ranked 342 of 365 in D1. Trending up strongly 🔴.
- Opp Turnovers (Opp Turnovers): Currently ranked 255 of 365 in D1. Trending down strongly 🟢.

Figure 2: Offensive Four Factors comparison across SWAC teams. The radar chart shows each team’s shooting efficiency (eFG%), ball security (TOV%), offensive rebounding (OREB%), and free throw generation (FT Rate).

Figure 3: Defensive Four Factors comparison across SWAC teams. The radar chart shows each team’s opponent shooting defense (Opp eFG%), ball disruption (forcing TOV%), defensive rebounding (DREB%), and opponent free throw prevention (Opp FT Rate).

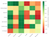
Figure 4: MACD trends heatmap showing which metrics are improving (green) or declining (red) for each team. Stronger colors indicate more pronounced trends.
Looking Ahead
As SWAC teams continue their season, the MACD trending indicators will help identify which teams are genuinely improving versus those riding unsustainable momentum. Check back next week for updated analysis.
Metrics Glossary
Four Factors (Dean Oliver’s framework for basketball success):
- eFG% (Effective Field Goal %): Field goal percentage adjusted for 3-pointers being worth more (FGM + 0.5×3PM) / FGA. Higher is better offensively, lower is better defensively.
- TOV% (Turnover Rate): Turnovers per 100 possessions. Lower is better offensively (taking care of the ball), higher is better defensively (forcing turnovers).
- OREB% / DREB% (Offensive/Defensive Rebound Rate): Percentage of available rebounds grabbed. Offensive rebounds create second-chance points; defensive rebounds end opponent possessions.
- FTR (Free Throw Rate): Free throws made per field goal attempt (FTM/FGA). Measures ability to get to the line AND convert. Higher is better offensively, lower is better defensively.
Other Metrics:
- Elo Rating: Chess-style rating system that updates based on game results and opponent strength. Higher Elo indicates stronger team.
- Efficiency Margin: Point differential per 100 possessions (Offensive Efficiency – Defensive Efficiency). Accounts for pace of play.
- MACD (Moving Average Convergence Divergence): Trend indicator comparing 12-game and 26-game exponential moving averages. Positive MACD = improving trend, Negative MACD = declining trend.
Analysis powered by HoopSci’s advanced metrics and MACD trending indicators.

