ACC Update: Week 6
December 15, 2025The ACC enters Week 6 with teams showing diverse trending patterns. This analysis examines each team’s performance trends using MACD (Moving Average Convergence Divergence) indicators to identify not just where teams stand, but where they’re headed.

Figure 1: Efficiency margin trends for ACC teams throughout the season. Teams trending upward show improving performance, while downward trends indicate struggles.
Conference Snapshot
- Week Dates: December 08 – December 14, 2025
- Trending Up (Efficiency): Louisville, Miami, NC State, Notre Dame, UVA
- Trending Down (Efficiency): Boston College, Clemson, Duke, Florida State, Georgia Tech
Team-by-Team Analysis
Boston College
Record: 5-6 | Elo: 1456.6 (ranked 250 of 365) | Efficiency Margin: +2.00 (ranked 145 of 365)
Offensive Trends:
- FT Rate (FTA/FGA (%)): Currently ranked 188 of 365 in D1. Trending up strongly 🟢.
- FGM Per Poss (Field Goal Makes Per Possession (%)): Currently ranked 303 of 365 in D1. Trending down strongly 🔴.
Defensive Trends:
- Opp Shooting (Opp Shooting): Currently ranked 24 of 365 in D1. Trending down strongly 🟢.
- Opp 3PM Per Poss (Opp 3 Point Makes Per Possession (%)): Currently ranked 24 of 365 in D1. Trending down strongly 🟢.
Cal
Record: 10-1 | Elo: 1516.4 (ranked 160 of 365) | Efficiency Margin: +13.44 (ranked 72 of 365)
Offensive Trends:
- Shooting (Shooting): Currently ranked 52 of 365 in D1. Trending up strongly 🟢.
- Off Reb Pct (Offensive Rebounding): Currently ranked 235 of 365 in D1. Trending up strongly 🟢.
Defensive Trends:
- Opp Shooting (Opp Shooting): Currently ranked 47 of 365 in D1. Trending down strongly 🟢.
- Opp FGM Per Poss (Opp FG Makes Per Possession (%)): Currently ranked 82 of 365 in D1. Trending down strongly 🟢.
Clemson
Record: 8-3 | Elo: 1664.1 (ranked 23 of 365) | Efficiency Margin: +23.08 (ranked 32 of 365)
Offensive Trends:
- 2Pt Rate (2 Point Attempts/FGA (%)): Currently ranked 269 of 365 in D1. Trending down strongly 🔴.
- 3Pt Rate (3 Point Attempts/FGA (%)): Currently ranked 97 of 365 in D1. Trending up strongly 🟢.
Defensive Trends:
- Opp Turnovers (Opp Turnovers): Currently ranked 300 of 365 in D1. Trending down strongly 🟢.
- Def Reb Pct (Defensive Rebounding): Currently ranked 43 of 365 in D1. Trending up strongly 🟢.
Duke
Record: 10-0 | Elo: 1789.7 (ranked 2 of 365) | Efficiency Margin: +46.02 (ranked 2 of 365)
Offensive Trends:
- FGM Per Poss (Field Goal Makes Per Possession (%)): Currently ranked 44 of 365 in D1. Trending down strongly 🔴.
- 2PA Per Poss (2 Point Attempts Per Possession (%)): Currently ranked 317 of 365 in D1. Trending down strongly 🔴.
Defensive Trends:
- Opp Shooting (Opp Shooting): Currently ranked 1 of 365 in D1. Trending down strongly 🟢.
- Opp FG Pct (%) (Opp FGM/FGA (%)): Currently ranked 1 of 365 in D1. Trending down strongly 🟢.
Florida State
Record: 5-5 | Elo: 1510.9 (ranked 169 of 365) | Efficiency Margin: +1.33 (ranked 151 of 365)
Offensive Trends:
- Off Reb Pct (Offensive Rebounding): Currently ranked 100 of 365 in D1. Trending up strongly 🟢.
- FT Rate (FTA/FGA (%)): Currently ranked 251 of 365 in D1. Trending down strongly 🔴.
Defensive Trends:
- Opp Shooting (Opp Shooting): Currently ranked 210 of 365 in D1. Trending up strongly 🔴.
- Def Reb Pct (Defensive Rebounding): Currently ranked 330 of 365 in D1. Trending down strongly 🔴.
Georgia Tech
Record: 6-4 | Elo: 1511.1 (ranked 168 of 365) | Efficiency Margin: -2.61 (ranked 189 of 365)
Offensive Trends:
- Adj Off Eff (Adjusted Offensive Efficiency): Currently ranked 309 of 365 in D1. Trending down strongly 🔴.
- 2Pt Rate (2 Point Attempts/FGA (%)): Currently ranked 71 of 365 in D1. Trending up strongly 🟢.
Defensive Trends:
- Opp 2Pt Rate (Opp 2 Point Attempts/FGA (%)): Currently ranked 108 of 365 in D1. Trending up strongly 🔴.
- Opp 2PM Per Poss (Opp 2 Point Makes Per Possession (%)): Currently ranked 70 of 365 in D1. Trending up strongly 🔴.
Louisville
Record: 9-1 | Elo: 1641.9 (ranked 34 of 365) | Efficiency Margin: +40.47 (ranked 4 of 365)
Offensive Trends:
- Shooting (Shooting): Currently ranked 17 of 365 in D1. Trending up strongly 🟢.
- Adj Off Eff (Adjusted Offensive Efficiency): Currently ranked 3 of 365 in D1. Trending up strongly 🟢.
Defensive Trends:
- Opp Shooting (Opp Shooting): Currently ranked 9 of 365 in D1. Trending down strongly 🟢.
- Opp FG Pct (%) (Opp FGM/FGA (%)): Currently ranked 6 of 365 in D1. Trending down strongly 🟢.
Miami
Record: 9-2 | Elo: 1501.6 (ranked 186 of 365) | Efficiency Margin: +22.60 (ranked 33 of 365)
Offensive Trends:
- Shooting (Shooting): Currently ranked 22 of 365 in D1. Trending up strongly 🟢.
- Off Reb Pct (Offensive Rebounding): Currently ranked 29 of 365 in D1. Trending up strongly 🟢.
Defensive Trends:
- Opp Shooting (Opp Shooting): Currently ranked 46 of 365 in D1. Trending down strongly 🟢.
- Opp Turnovers (Opp Turnovers): Currently ranked 62 of 365 in D1. Trending up strongly 🔴.
NC State
Record: 7-4 | Elo: 1537.7 (ranked 130 of 365) | Efficiency Margin: +24.84 (ranked 27 of 365)
Offensive Trends:
- Adj Off Eff (Adjusted Offensive Efficiency): Currently ranked 15 of 365 in D1. Trending up strongly 🟢.
- 2Pt Rate (2 Point Attempts/FGA (%)): Currently ranked 268 of 365 in D1. Trending down strongly 🔴.
Defensive Trends:
- Def Reb Pct (Defensive Rebounding): Currently ranked 56 of 365 in D1. Trending up strongly 🟢.
- Opp FGM Per Poss (Opp FG Makes Per Possession (%)): Currently ranked 52 of 365 in D1. Trending down strongly 🟢.
Notre Dame
Record: 9-3 | Elo: 1539.8 (ranked 126 of 365) | Efficiency Margin: +13.65 (ranked 69 of 365)
Offensive Trends:
- Shooting (Shooting): Currently ranked 53 of 365 in D1. Trending up strongly 🟢.
- FGM Per Poss (Field Goal Makes Per Possession (%)): Currently ranked 100 of 365 in D1. Trending up strongly 🟢.
Defensive Trends:
- Def Reb Pct (Defensive Rebounding): Currently ranked 2 of 365 in D1. Trending up strongly 🟢.
- Opp FGM Per Poss (Opp FG Makes Per Possession (%)): Currently ranked 80 of 365 in D1. Trending down strongly 🟢.
Pitt
Record: 5-6 | Elo: 1514.1 (ranked 161 of 365) | Efficiency Margin: +3.79 (ranked 134 of 365)
Offensive Trends:
- Off Reb Pct (Offensive Rebounding): Currently ranked 60 of 365 in D1. Trending up strongly 🟢.
- Adj Off Eff (Adjusted Offensive Efficiency): Currently ranked 127 of 365 in D1. Trending down strongly 🔴.
Defensive Trends:
- Opp Turnovers (Opp Turnovers): Currently ranked 299 of 365 in D1. Trending down strongly 🟢.
- Opp FGM Per Poss (Opp FG Makes Per Possession (%)): Currently ranked 186 of 365 in D1. Trending up strongly 🔴.
SMU
Record: 9-2 | Elo: 1614.5 (ranked 53 of 365) | Efficiency Margin: +15.83 (ranked 57 of 365)
Offensive Trends:
- 2PM Per Poss (2 Point Makes Per Possession (%)): Currently ranked 18 of 365 in D1. Trending up strongly 🟢.
- 3PM Per Poss (3 Point Makes Per Possession (%)): Currently ranked 317 of 365 in D1. Trending down strongly 🔴.
Defensive Trends:
- Opp FGM Per Poss (Opp FG Makes Per Possession (%)): Currently ranked 126 of 365 in D1. Trending up strongly 🔴.
- Opp FG Pct (%) (Opp FGM/FGA (%)): Currently ranked 100 of 365 in D1. Trending up strongly 🔴.
Stanford
Record: 8-2 | Elo: 1565.7 (ranked 98 of 365) | Efficiency Margin: +7.76 (ranked 109 of 365)
Offensive Trends:
- Shooting (Shooting): Currently ranked 144 of 365 in D1. Trending up strongly 🟢.
- Turnovers (Turnovers): Currently ranked 80 of 365 in D1. Trending up strongly 🔴.
Defensive Trends:
- Opp 2Pt Rate (Opp 2 Point Attempts/FGA (%)): Currently ranked 347 of 365 in D1. Trending up strongly 🔴.
- Opp 3Pt Rate (Opp 3 Point Attempts/FGA (%)): Currently ranked 19 of 365 in D1. Trending down strongly 🟢.
Syracuse
Record: 6-4 | Elo: 1527.8 (ranked 146 of 365) | Efficiency Margin: +13.46 (ranked 71 of 365)
Offensive Trends:
- 2Pt Rate (2 Point Attempts/FGA (%)): Currently ranked 164 of 365 in D1. Trending down strongly 🔴.
- 2PM Per Poss (2 Point Makes Per Possession (%)): Currently ranked 107 of 365 in D1. Trending down strongly 🔴.
Defensive Trends:
- Opp Turnovers (Opp Turnovers): Currently ranked 35 of 365 in D1. Trending up strongly 🔴.
- Def Reb Pct (Defensive Rebounding): Currently ranked 265 of 365 in D1. Trending down strongly 🔴.
UNC
Record: 9-1 | Elo: 1670.7 (ranked 19 of 365) | Efficiency Margin: +25.79 (ranked 24 of 365)
Offensive Trends:
- Adj Def Eff (Adjusted Defensive Efficiency): Currently ranked 11 of 365 in D1. Trending down strongly 🔴.
- Fouls Per Poss (Fouls Per Possession): Currently ranked 13 of 365 in D1. Trending down strongly 🟢.
Defensive Trends:
- Opp Shooting (Opp Shooting): Currently ranked 5 of 365 in D1. Trending down strongly 🟢.
- Opp Turnovers (Opp Turnovers): Currently ranked 352 of 365 in D1. Trending down strongly 🟢.
UVA
Record: 9-1 | Elo: 1592.1 (ranked 73 of 365) | Efficiency Margin: +28.27 (ranked 18 of 365)
Offensive Trends:
- Shooting (Shooting): Currently ranked 13 of 365 in D1. Trending up strongly 🟢.
- Off Reb Pct (Offensive Rebounding): Currently ranked 7 of 365 in D1. Trending up strongly 🟢.
Defensive Trends:
- Opp 2Pt Rate (Opp 2 Point Attempts/FGA (%)): Currently ranked 348 of 365 in D1. Trending up strongly 🔴.
- Opp 2PA Per Poss (Opp 2 Point Attempts Per Possession (%)): Currently ranked 341 of 365 in D1. Trending up strongly 🔴.
Virginia Tech
Record: 10-2 | Elo: 1560.7 (ranked 102 of 365) | Efficiency Margin: +15.27 (ranked 59 of 365)
Offensive Trends:
- Shooting (Shooting): Currently ranked 94 of 365 in D1. Trending up strongly 🟢.
- Turnovers (Turnovers): Currently ranked 7 of 365 in D1. Trending down strongly 🟢.
Defensive Trends:
- Opp Turnovers (Opp Turnovers): Currently ranked 81 of 365 in D1. Trending up strongly 🔴.
- Def Reb Pct (Defensive Rebounding): Currently ranked 190 of 365 in D1. Trending down strongly 🔴.
Wake Forest
Record: 8-3 | Elo: 1603.0 (ranked 62 of 365) | Efficiency Margin: +21.95 (ranked 34 of 365)
Offensive Trends:
- Shooting (Shooting): Currently ranked 74 of 365 in D1. Trending up strongly 🟢.
- Off Reb Pct (Offensive Rebounding): Currently ranked 63 of 365 in D1. Trending up strongly 🟢.
Defensive Trends:
- Opp Turnovers (Opp Turnovers): Currently ranked 12 of 365 in D1. Trending up strongly 🔴.
- Def Reb Pct (Defensive Rebounding): Currently ranked 250 of 365 in D1. Trending down strongly 🔴.

Figure 2: Offensive Four Factors comparison across ACC teams. The radar chart shows each team’s shooting efficiency (eFG%), ball security (TOV%), offensive rebounding (OREB%), and free throw generation (FT Rate).

Figure 3: Defensive Four Factors comparison across ACC teams. The radar chart shows each team’s opponent shooting defense (Opp eFG%), ball disruption (forcing TOV%), defensive rebounding (DREB%), and opponent free throw prevention (Opp FT Rate).

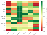
Figure 4: MACD trends heatmap showing which metrics are improving (green) or declining (red) for each team. Stronger colors indicate more pronounced trends.
Looking Ahead
As ACC teams continue their season, the MACD trending indicators will help identify which teams are genuinely improving versus those riding unsustainable momentum. Check back next week for updated analysis.
Metrics Glossary
Four Factors (Dean Oliver’s framework for basketball success):
- eFG% (Effective Field Goal %): Field goal percentage adjusted for 3-pointers being worth more (FGM + 0.5×3PM) / FGA. Higher is better offensively, lower is better defensively.
- TOV% (Turnover Rate): Turnovers per 100 possessions. Lower is better offensively (taking care of the ball), higher is better defensively (forcing turnovers).
- OREB% / DREB% (Offensive/Defensive Rebound Rate): Percentage of available rebounds grabbed. Offensive rebounds create second-chance points; defensive rebounds end opponent possessions.
- FTR (Free Throw Rate): Free throws made per field goal attempt (FTM/FGA). Measures ability to get to the line AND convert. Higher is better offensively, lower is better defensively.
Other Metrics:
- Elo Rating: Chess-style rating system that updates based on game results and opponent strength. Higher Elo indicates stronger team.
- Efficiency Margin: Point differential per 100 possessions (Offensive Efficiency – Defensive Efficiency). Accounts for pace of play.
- MACD (Moving Average Convergence Divergence): Trend indicator comparing 12-game and 26-game exponential moving averages. Positive MACD = improving trend, Negative MACD = declining trend.
Analysis powered by HoopSci’s advanced metrics and MACD trending indicators.

