American Update: Week 6
December 15, 2025The American enters Week 6 with teams showing diverse trending patterns. This analysis examines each team’s performance trends using MACD (Moving Average Convergence Divergence) indicators to identify not just where teams stand, but where they’re headed.

Figure 1: Efficiency margin trends for American teams throughout the season. Teams trending upward show improving performance, while downward trends indicate struggles.
Conference Snapshot
- Week Dates: December 08 – December 14, 2025
- Trending Up (Efficiency): Temple, Tulsa, Wichita State, FAU, Rice
- Trending Down (Efficiency): ECU, Memphis, USF, Tulane, Charlotte
Team-by-Team Analysis
Charlotte
Record: 3-7 | Elo: 1427.3 (ranked 283 of 365) | Efficiency Margin: -3.78 (ranked 194 of 365)
Offensive Trends:
- Turnovers (Turnovers): Currently ranked 209 of 365 in D1. Trending up strongly 🔴.
- Off Reb Pct (Offensive Rebounding): Currently ranked 76 of 365 in D1. Trending up strongly 🟢.
Defensive Trends:
- Opp FT Rate (Opp FTA/FGA (%)): Currently ranked 339 of 365 in D1. Trending up strongly 🔴.
- Opp FTM Per Poss (Opp Free Throw Makes Per Possession (%)): Currently ranked 322 of 365 in D1. Trending up strongly 🔴.
ECU
Record: 4-7 | Elo: 1458.5 (ranked 245 of 365) | Efficiency Margin: -17.87 (ranked 305 of 365)
Offensive Trends:
- Shooting (Shooting): Currently ranked 349 of 365 in D1. Trending down strongly 🔴.
- Adj Off Eff (Adjusted Offensive Efficiency): Currently ranked 320 of 365 in D1. Trending down strongly 🔴.
Defensive Trends:
- Opp 2Pt Pct (Opp 2 Point FGM/FGA (%)): Currently ranked 230 of 365 in D1. Trending up strongly 🔴.
- Opp 3Pt Pct (Opp 3 Point FGM/FGA (%)): Currently ranked 215 of 365 in D1. Trending down strongly 🟢.
FAU
Record: 8-3 | Elo: 1586.5 (ranked 78 of 365) | Efficiency Margin: +6.88 (ranked 113 of 365)
Offensive Trends:
- Shooting (Shooting): Currently ranked 97 of 365 in D1. Trending up strongly 🟢.
- Off Reb Pct (Offensive Rebounding): Currently ranked 61 of 365 in D1. Trending up strongly 🟢.
Defensive Trends:
- Opp Shooting (Opp Shooting): Currently ranked 263 of 365 in D1. Trending up strongly 🔴.
- Opp Turnovers (Opp Turnovers): Currently ranked 208 of 365 in D1. Trending up strongly 🔴.
Memphis
Record: 4-5 | Elo: 1646.2 (ranked 31 of 365) | Efficiency Margin: +7.07 (ranked 111 of 365)
Offensive Trends:
- Shooting (Shooting): Currently ranked 263 of 365 in D1. Trending down strongly 🔴.
- Adj Off Eff (Adjusted Offensive Efficiency): Currently ranked 121 of 365 in D1. Trending down strongly 🔴.
Defensive Trends:
- Def Reb Pct (Defensive Rebounding): Currently ranked 319 of 365 in D1. Trending down strongly 🔴.
- Opp FT Rate (Opp FTA/FGA (%)): Currently ranked 285 of 365 in D1. Trending up strongly 🔴.
North Texas
Record: 8-3 | Elo: 1625.5 (ranked 46 of 365) | Efficiency Margin: -1.99 (ranked 185 of 365)
Offensive Trends:
- Turnovers (Turnovers): Currently ranked 239 of 365 in D1. Trending up strongly 🔴.
- Adj Off Eff (Adjusted Offensive Efficiency): Currently ranked 263 of 365 in D1. Trending down strongly 🔴.
Defensive Trends:
- Opp FT Rate (Opp FTA/FGA (%)): Currently ranked 348 of 365 in D1. Trending up strongly 🔴.
- Opp FGA Per Poss (Opp FG Attempts Per Possession (%)): Currently ranked 30 of 365 in D1. Trending down strongly 🟢.
Rice
Record: 5-6 | Elo: 1431.6 (ranked 277 of 365) | Efficiency Margin: -8.97 (ranked 236 of 365)
Offensive Trends:
- Off Tempo (Offensive Possessions Per Game): Currently ranked 169 of 365 in D1. Trending up strongly 🟢.
- Adj Def Eff (Adjusted Defensive Efficiency): Currently ranked 212 of 365 in D1. Trending up strongly 🟢.
Defensive Trends:
- Opp Turnovers (Opp Turnovers): Currently ranked 195 of 365 in D1. Trending up strongly 🔴.
- Def Reb Pct (Defensive Rebounding): Currently ranked 225 of 365 in D1. Trending down strongly 🔴.
Temple
Record: 6-5 | Elo: 1498.0 (ranked 190 of 365) | Efficiency Margin: +5.37 (ranked 124 of 365)
Offensive Trends:
- Shooting (Shooting): Currently ranked 85 of 365 in D1. Trending up strongly 🟢.
- Off Reb Pct (Offensive Rebounding): Currently ranked 314 of 365 in D1. Trending up strongly 🟢.
Defensive Trends:
- Opp FT Rate (Opp FTA/FGA (%)): Currently ranked 75 of 365 in D1. Trending down strongly 🟢.
- Opp FGA Per Poss (Opp FG Attempts Per Possession (%)): Currently ranked 286 of 365 in D1. Trending up strongly 🔴.
Tulane
Record: 7-4 | Elo: 1526.4 (ranked 148 of 365) | Efficiency Margin: -12.01 (ranked 262 of 365)
Offensive Trends:
- Shooting (Shooting): Currently ranked 174 of 365 in D1. Trending down strongly 🔴.
- Off Reb Pct (Offensive Rebounding): Currently ranked 363 of 365 in D1. Trending up strongly 🟢.
Defensive Trends:
- Opp Shooting (Opp Shooting): Currently ranked 309 of 365 in D1. Trending up strongly 🔴.
- Opp FGM Per Poss (Opp FG Makes Per Possession (%)): Currently ranked 262 of 365 in D1. Trending up strongly 🔴.
Tulsa
Record: 10-1 | Elo: 1505.9 (ranked 178 of 365) | Efficiency Margin: +17.34 (ranked 46 of 365)
Offensive Trends:
- Shooting (Shooting): Currently ranked 15 of 365 in D1. Trending up strongly 🟢.
- Off Reb Pct (Offensive Rebounding): Currently ranked 162 of 365 in D1. Trending up strongly 🟢.
Defensive Trends:
- Opp Turnovers (Opp Turnovers): Currently ranked 151 of 365 in D1. Trending up strongly 🔴.
- Def Reb Pct (Defensive Rebounding): Currently ranked 55 of 365 in D1. Trending up strongly 🟢.
UAB
Record: 7-4 | Elo: 1607.1 (ranked 59 of 365) | Efficiency Margin: +1.68 (ranked 149 of 365)
Offensive Trends:
- Adj Def Eff (Adjusted Defensive Efficiency): Currently ranked 167 of 365 in D1. Trending down strongly 🔴.
- Adj Off Eff (Adjusted Offensive Efficiency): Currently ranked 137 of 365 in D1. Trending down moderately 🔴.
Defensive Trends:
- Def Reb Pct (Defensive Rebounding): Currently ranked 35 of 365 in D1. Trending up strongly 🟢.
- Opp 2Pt Rate (Opp 2 Point Attempts/FGA (%)): Currently ranked 177 of 365 in D1. Trending down strongly 🟢.
USF
Record: 6-4 | Elo: 1518.0 (ranked 158 of 365) | Efficiency Margin: +11.64 (ranked 82 of 365)
Offensive Trends:
- Off Reb Pct (Offensive Rebounding): Currently ranked 42 of 365 in D1. Trending up strongly 🟢.
- Adj Off Eff (Adjusted Offensive Efficiency): Currently ranked 93 of 365 in D1. Trending up strongly 🟢.
Defensive Trends:
- Opp 2PM Per Poss (Opp 2 Point Makes Per Possession (%)): Currently ranked 46 of 365 in D1. Trending down strongly 🟢.
- Opp 3PM Per Poss (Opp 3 Point Makes Per Possession (%)): Currently ranked 165 of 365 in D1. Trending up strongly 🔴.
UTSA
Record: 4-6 | Elo: 1409.3 (ranked 301 of 365) | Efficiency Margin: -24.51 (ranked 340 of 365)
Offensive Trends:
- Shooting (Shooting): Currently ranked 355 of 365 in D1. Trending down strongly 🔴.
- Turnovers (Turnovers): Currently ranked 150 of 365 in D1. Trending up strongly 🔴.
Defensive Trends:
- Opp Turnovers (Opp Turnovers): Currently ranked 282 of 365 in D1. Trending down strongly 🟢.
- Def Reb Pct (Defensive Rebounding): Currently ranked 337 of 365 in D1. Trending down strongly 🔴.
Wichita State
Record: 6-5 | Elo: 1518.3 (ranked 156 of 365) | Efficiency Margin: +12.21 (ranked 78 of 365)
Offensive Trends:
- Off Reb Pct (Offensive Rebounding): Currently ranked 14 of 365 in D1. Trending up strongly 🟢.
- Adj Off Eff (Adjusted Offensive Efficiency): Currently ranked 115 of 365 in D1. Trending up strongly 🟢.
Defensive Trends:
- Opp FGA Per Poss (Opp FG Attempts Per Possession (%)): Currently ranked 173 of 365 in D1. Trending down strongly 🟢.
- Opp 2Pt Pct (Opp 2 Point FGM/FGA (%)): Currently ranked 99 of 365 in D1. Trending up strongly 🔴.

Figure 2: Offensive Four Factors comparison across American teams. The radar chart shows each team’s shooting efficiency (eFG%), ball security (TOV%), offensive rebounding (OREB%), and free throw generation (FT Rate).

Figure 3: Defensive Four Factors comparison across American teams. The radar chart shows each team’s opponent shooting defense (Opp eFG%), ball disruption (forcing TOV%), defensive rebounding (DREB%), and opponent free throw prevention (Opp FT Rate).

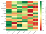
Figure 4: MACD trends heatmap showing which metrics are improving (green) or declining (red) for each team. Stronger colors indicate more pronounced trends.
Looking Ahead
As American teams continue their season, the MACD trending indicators will help identify which teams are genuinely improving versus those riding unsustainable momentum. Check back next week for updated analysis.
Metrics Glossary
Four Factors (Dean Oliver’s framework for basketball success):
- eFG% (Effective Field Goal %): Field goal percentage adjusted for 3-pointers being worth more (FGM + 0.5×3PM) / FGA. Higher is better offensively, lower is better defensively.
- TOV% (Turnover Rate): Turnovers per 100 possessions. Lower is better offensively (taking care of the ball), higher is better defensively (forcing turnovers).
- OREB% / DREB% (Offensive/Defensive Rebound Rate): Percentage of available rebounds grabbed. Offensive rebounds create second-chance points; defensive rebounds end opponent possessions.
- FTR (Free Throw Rate): Free throws made per field goal attempt (FTM/FGA). Measures ability to get to the line AND convert. Higher is better offensively, lower is better defensively.
Other Metrics:
- Elo Rating: Chess-style rating system that updates based on game results and opponent strength. Higher Elo indicates stronger team.
- Efficiency Margin: Point differential per 100 possessions (Offensive Efficiency – Defensive Efficiency). Accounts for pace of play.
- MACD (Moving Average Convergence Divergence): Trend indicator comparing 12-game and 26-game exponential moving averages. Positive MACD = improving trend, Negative MACD = declining trend.
Analysis powered by HoopSci’s advanced metrics and MACD trending indicators.

