Big East Update: Week 6
December 15, 2025The Big East enters Week 6 with teams showing diverse trending patterns. This analysis examines each team’s performance trends using MACD (Moving Average Convergence Divergence) indicators to identify not just where teams stand, but where they’re headed.

Figure 1: Efficiency margin trends for Big East teams throughout the season. Teams trending upward show improving performance, while downward trends indicate struggles.
Conference Snapshot
- Week Dates: December 08 – December 14, 2025
- Trending Up (Efficiency): Butler, DePaul, Providence, Seton Hall, St John’s
- Trending Down (Efficiency): Creighton, Georgetown, Marquette, Xavier
Team-by-Team Analysis
Butler
Record: 8-2 | Elo: 1542.0 (ranked 124 of 365) | Efficiency Margin: +19.21 (ranked 41 of 365)
Offensive Trends:
- Off Reb Pct (Offensive Rebounding): Currently ranked 15 of 365 in D1. Trending up strongly 🟢.
- FT Rate (FTA/FGA (%)): Currently ranked 37 of 365 in D1. Trending up strongly 🟢.
Defensive Trends:
- Def Reb Pct (Defensive Rebounding): Currently ranked 154 of 365 in D1. Trending down strongly 🔴.
- Opp 2Pt Rate (Opp 2 Point Attempts/FGA (%)): Currently ranked 357 of 365 in D1. Trending up strongly 🔴.
Creighton
Record: 5-5 | Elo: 1625.4 (ranked 47 of 365) | Efficiency Margin: +7.81 (ranked 108 of 365)
Offensive Trends:
- Shooting (Shooting): Currently ranked 161 of 365 in D1. Trending down strongly 🔴.
- FGA Per Poss (Field Goal Attempts Per Possession (%)): Currently ranked 26 of 365 in D1. Trending up strongly 🟢.
Defensive Trends:
- Def Reb Pct (Defensive Rebounding): Currently ranked 229 of 365 in D1. Trending down strongly 🔴.
- Opp FT Rate (Opp FTA/FGA (%)): Currently ranked 2 of 365 in D1. Trending up strongly 🔴.
DePaul
Record: 8-3 | Elo: 1463.4 (ranked 238 of 365) | Efficiency Margin: +9.80 (ranked 95 of 365)
Offensive Trends:
- Shooting (Shooting): Currently ranked 119 of 365 in D1. Trending up strongly 🟢.
- FT Rate (FTA/FGA (%)): Currently ranked 29 of 365 in D1. Trending up strongly 🟢.
Defensive Trends:
- Opp Shooting (Opp Shooting): Currently ranked 62 of 365 in D1. Trending down strongly 🟢.
- Opp Turnovers (Opp Turnovers): Currently ranked 49 of 365 in D1. Trending up strongly 🔴.
Georgetown
Record: 7-3 | Elo: 1511.1 (ranked 166 of 365) | Efficiency Margin: +10.55 (ranked 89 of 365)
Offensive Trends:
- Turnovers (Turnovers): Currently ranked 3 of 365 in D1. Trending down strongly 🟢.
- FT Rate (FTA/FGA (%)): Currently ranked 57 of 365 in D1. Trending up strongly 🟢.
Defensive Trends:
- Opp Off Tempo (Opp Offensive Possessions Per Game): Currently ranked 154 of 365 in D1. Trending up strongly 🔴.
- Opp Turnovers (Opp Turnovers): Currently ranked 190 of 365 in D1. Trending down moderately 🟢.
Marquette
Record: 5-6 | Elo: 1597.0 (ranked 70 of 365) | Efficiency Margin: +7.82 (ranked 107 of 365)
Offensive Trends:
- Shooting (Shooting): Currently ranked 267 of 365 in D1. Trending down strongly 🔴.
- FT Rate (FTA/FGA (%)): Currently ranked 136 of 365 in D1. Trending up strongly 🟢.
Defensive Trends:
- Opp Shooting (Opp Shooting): Currently ranked 218 of 365 in D1. Trending up strongly 🔴.
- Opp FGM Per Poss (Opp FG Makes Per Possession (%)): Currently ranked 176 of 365 in D1. Trending up strongly 🔴.
Providence
Record: 7-5 | Elo: 1505.9 (ranked 177 of 365) | Efficiency Margin: +16.67 (ranked 50 of 365)
Offensive Trends:
- Shooting (Shooting): Currently ranked 39 of 365 in D1. Trending up strongly 🟢.
- Turnovers (Turnovers): Currently ranked 47 of 365 in D1. Trending down strongly 🟢.
Defensive Trends:
- Opp 2Pt Pct (Opp 2 Point FGM/FGA (%)): Currently ranked 38 of 365 in D1. Trending down strongly 🟢.
- Opp 3PM Per Poss (Opp 3 Point Makes Per Possession (%)): Currently ranked 328 of 365 in D1. Trending up strongly 🔴.
Seton Hall
Record: 9-1 | Elo: 1537.2 (ranked 132 of 365) | Efficiency Margin: +25.29 (ranked 25 of 365)
Offensive Trends:
- Shooting (Shooting): Currently ranked 126 of 365 in D1. Trending up strongly 🟢.
- Off Reb Pct (Offensive Rebounding): Currently ranked 117 of 365 in D1. Trending up strongly 🟢.
Defensive Trends:
- Opp Shooting (Opp Shooting): Currently ranked 14 of 365 in D1. Trending down strongly 🟢.
- Opp Turnovers (Opp Turnovers): Currently ranked 6 of 365 in D1. Trending up strongly 🔴.
St John’s
Record: 6-3 | Elo: 1680.9 (ranked 17 of 365) | Efficiency Margin: +28.73 (ranked 17 of 365)
Offensive Trends:
- Turnovers (Turnovers): Currently ranked 207 of 365 in D1. Trending up strongly 🔴.
- FT Rate (FTA/FGA (%)): Currently ranked 23 of 365 in D1. Trending up strongly 🟢.
Defensive Trends:
- Def Reb Pct (Defensive Rebounding): Currently ranked 241 of 365 in D1. Trending down strongly 🔴.
- Opp 2Pt Rate (Opp 2 Point Attempts/FGA (%)): Currently ranked 320 of 365 in D1. Trending up strongly 🔴.
UConn
Record: 10-1 | Elo: 1729.2 (ranked 4 of 365) | Efficiency Margin: +30.73 (ranked 12 of 365)
Offensive Trends:
- Off Reb Pct (Offensive Rebounding): Currently ranked 140 of 365 in D1. Trending down strongly 🔴.
- Adj Off Eff (Adjusted Offensive Efficiency): Currently ranked 40 of 365 in D1. Trending down strongly 🔴.
Defensive Trends:
- Opp Shooting (Opp Shooting): Currently ranked 3 of 365 in D1. Trending down strongly 🟢.
- Opp Turnovers (Opp Turnovers): Currently ranked 85 of 365 in D1. Trending up strongly 🔴.
Villanova
Record: 8-2 | Elo: 1603.7 (ranked 60 of 365) | Efficiency Margin: +21.59 (ranked 35 of 365)
Offensive Trends:
- 2Pt Rate (2 Point Attempts/FGA (%)): Currently ranked 325 of 365 in D1. Trending down strongly 🔴.
- 2Pt Pct (2 Point FGM/FGA (%)): Currently ranked 79 of 365 in D1. Trending up strongly 🟢.
Defensive Trends:
- Opp Turnovers (Opp Turnovers): Currently ranked 86 of 365 in D1. Trending up strongly 🔴.
- Def Reb Pct (Defensive Rebounding): Currently ranked 148 of 365 in D1. Trending down strongly 🔴.
Xavier
Record: 8-3 | Elo: 1603.2 (ranked 61 of 365) | Efficiency Margin: +10.68 (ranked 87 of 365)
Offensive Trends:
- Turnovers (Turnovers): Currently ranked 4 of 365 in D1. Trending down strongly 🟢.
- Off Reb Pct (Offensive Rebounding): Currently ranked 268 of 365 in D1. Trending up strongly 🟢.
Defensive Trends:
- Opp Shooting (Opp Shooting): Currently ranked 152 of 365 in D1. Trending down strongly 🟢.
- Opp FGM Per Poss (Opp FG Makes Per Possession (%)): Currently ranked 173 of 365 in D1. Trending down strongly 🟢.

Figure 2: Offensive Four Factors comparison across Big East teams. The radar chart shows each team’s shooting efficiency (eFG%), ball security (TOV%), offensive rebounding (OREB%), and free throw generation (FT Rate).

Figure 3: Defensive Four Factors comparison across Big East teams. The radar chart shows each team’s opponent shooting defense (Opp eFG%), ball disruption (forcing TOV%), defensive rebounding (DREB%), and opponent free throw prevention (Opp FT Rate).

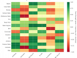
Figure 4: MACD trends heatmap showing which metrics are improving (green) or declining (red) for each team. Stronger colors indicate more pronounced trends.
Looking Ahead
As Big East teams continue their season, the MACD trending indicators will help identify which teams are genuinely improving versus those riding unsustainable momentum. Check back next week for updated analysis.
Metrics Glossary
Four Factors (Dean Oliver’s framework for basketball success):
- eFG% (Effective Field Goal %): Field goal percentage adjusted for 3-pointers being worth more (FGM + 0.5×3PM) / FGA. Higher is better offensively, lower is better defensively.
- TOV% (Turnover Rate): Turnovers per 100 possessions. Lower is better offensively (taking care of the ball), higher is better defensively (forcing turnovers).
- OREB% / DREB% (Offensive/Defensive Rebound Rate): Percentage of available rebounds grabbed. Offensive rebounds create second-chance points; defensive rebounds end opponent possessions.
- FTR (Free Throw Rate): Free throws made per field goal attempt (FTM/FGA). Measures ability to get to the line AND convert. Higher is better offensively, lower is better defensively.
Other Metrics:
- Elo Rating: Chess-style rating system that updates based on game results and opponent strength. Higher Elo indicates stronger team.
- Efficiency Margin: Point differential per 100 possessions (Offensive Efficiency – Defensive Efficiency). Accounts for pace of play.
- MACD (Moving Average Convergence Divergence): Trend indicator comparing 12-game and 26-game exponential moving averages. Positive MACD = improving trend, Negative MACD = declining trend.
Analysis powered by HoopSci’s advanced metrics and MACD trending indicators.

