Mid-American Update: Week 6
December 15, 2025The Mid-American enters Week 6 with teams showing diverse trending patterns. This analysis examines each team’s performance trends using MACD (Moving Average Convergence Divergence) indicators to identify not just where teams stand, but where they’re headed.

Figure 1: Efficiency margin trends for Mid-American teams throughout the season. Teams trending upward show improving performance, while downward trends indicate struggles.
Conference Snapshot
- Week Dates: December 08 – December 14, 2025
- Trending Up (Efficiency): Akron, Bowling Green, Buffalo, E Michigan, Kent State
- Trending Down (Efficiency): Ball State, Cent Michigan, N Illinois, Ohio, Toledo
Team-by-Team Analysis
Akron
Record: 8-3 | Elo: 1642.0 (ranked 33 of 365) | Efficiency Margin: +20.20 (ranked 38 of 365)
Offensive Trends:
- Shooting (Shooting): Currently ranked 3 of 365 in D1. Trending up strongly 🟢.
- Adj Off Eff (Adjusted Offensive Efficiency): Currently ranked 4 of 365 in D1. Trending up strongly 🟢.
Defensive Trends:
- Opp Shooting (Opp Shooting): Currently ranked 259 of 365 in D1. Trending up strongly 🔴.
- Def Reb Pct (Defensive Rebounding): Currently ranked 286 of 365 in D1. Trending down strongly 🔴.
Ball State
Record: 3-8 | Elo: 1402.8 (ranked 311 of 365) | Efficiency Margin: -17.61 (ranked 302 of 365)
Offensive Trends:
- Shooting (Shooting): Currently ranked 340 of 365 in D1. Trending down strongly 🔴.
- FT Rate (FTA/FGA (%)): Currently ranked 259 of 365 in D1. Trending down strongly 🔴.
Defensive Trends:
- Opp Turnovers (Opp Turnovers): Currently ranked 79 of 365 in D1. Trending up strongly 🔴.
- Def Reb Pct (Defensive Rebounding): Currently ranked 311 of 365 in D1. Trending down strongly 🔴.
Bowling Green
Record: 7-3 | Elo: 1471.8 (ranked 226 of 365) | Efficiency Margin: +11.85 (ranked 79 of 365)
Offensive Trends:
- Shooting (Shooting): Currently ranked 146 of 365 in D1. Trending up strongly 🟢.
- Off Reb Pct (Offensive Rebounding): Currently ranked 143 of 365 in D1. Trending up strongly 🟢.
Defensive Trends:
- Opp Turnovers (Opp Turnovers): Currently ranked 13 of 365 in D1. Trending up strongly 🔴.
- Def Reb Pct (Defensive Rebounding): Currently ranked 89 of 365 in D1. Trending down strongly 🔴.
Buffalo
Record: 9-2 | Elo: 1442.3 (ranked 265 of 365) | Efficiency Margin: +4.14 (ranked 128 of 365)
Offensive Trends:
- Shooting (Shooting): Currently ranked 65 of 365 in D1. Trending up strongly 🟢.
- Adj Off Eff (Adjusted Offensive Efficiency): Currently ranked 76 of 365 in D1. Trending up strongly 🟢.
Defensive Trends:
- Opp Shooting (Opp Shooting): Currently ranked 232 of 365 in D1. Trending down strongly 🟢.
- Def Reb Pct (Defensive Rebounding): Currently ranked 223 of 365 in D1. Trending down strongly 🔴.
Cent Michigan
Record: 3-7 | Elo: 1426.5 (ranked 284 of 365) | Efficiency Margin: -17.31 (ranked 300 of 365)
Offensive Trends:
- 3Pt Pct (3 Point FGM/FGA (%)): Currently ranked 323 of 365 in D1. Trending down strongly 🔴.
- Assists per FGM (Assists/FGM (%)): Currently ranked 84 of 365 in D1. Trending up strongly 🟢.
Defensive Trends:
- Opp Shooting (Opp Shooting): Currently ranked 305 of 365 in D1. Trending up strongly 🔴.
- Def Reb Pct (Defensive Rebounding): Currently ranked 316 of 365 in D1. Trending down strongly 🔴.
E Michigan
Record: 6-5 | Elo: 1470.8 (ranked 227 of 365) | Efficiency Margin: +0.53 (ranked 158 of 365)
Offensive Trends:
- Off Reb Pct (Offensive Rebounding): Currently ranked 238 of 365 in D1. Trending up strongly 🟢.
- FT Pct (FTM/FTA (%)): Currently ranked 165 of 365 in D1. Trending down strongly 🔴.
Defensive Trends:
- Opp FT Pct (Opp FTM/FTA (%)): Currently ranked 306 of 365 in D1. Trending up strongly 🔴.
- Def Reb Pct (Defensive Rebounding): Currently ranked 134 of 365 in D1. Trending up moderately 🟢.
Kent State
Record: 9-2 | Elo: 1597.0 (ranked 69 of 365) | Efficiency Margin: +0.29 (ranked 164 of 365)
Offensive Trends:
- Shooting (Shooting): Currently ranked 33 of 365 in D1. Trending up strongly 🟢.
- Turnovers (Turnovers): Currently ranked 299 of 365 in D1. Trending up strongly 🔴.
Defensive Trends:
- Opp Shooting (Opp Shooting): Currently ranked 287 of 365 in D1. Trending up strongly 🔴.
- Def Reb Pct (Defensive Rebounding): Currently ranked 80 of 365 in D1. Trending up strongly 🟢.
Miami (OH)
Record: 10-0 | Elo: 1600.3 (ranked 65 of 365) | Efficiency Margin: +11.00 (ranked 85 of 365)
Offensive Trends:
- Shooting (Shooting): Currently ranked 16 of 365 in D1. Trending up strongly 🟢.
- Turnovers (Turnovers): Currently ranked 41 of 365 in D1. Trending down strongly 🟢.
Defensive Trends:
- Opp 2PM Per Poss (Opp 2 Point Makes Per Possession (%)): Currently ranked 74 of 365 in D1. Trending down strongly 🟢.
- Opp 2Pt Pct (Opp 2 Point FGM/FGA (%)): Currently ranked 85 of 365 in D1. Trending down strongly 🟢.
N Illinois
Record: 3-7 | Elo: 1341.5 (ranked 356 of 365) | Efficiency Margin: -22.80 (ranked 329 of 365)
Offensive Trends:
- Turnovers (Turnovers): Currently ranked 327 of 365 in D1. Trending up strongly 🔴.
- Off Reb Pct (Offensive Rebounding): Currently ranked 133 of 365 in D1. Trending up strongly 🟢.
Defensive Trends:
- Opp Shooting (Opp Shooting): Currently ranked 343 of 365 in D1. Trending up strongly 🔴.
- Def Reb Pct (Defensive Rebounding): Currently ranked 299 of 365 in D1. Trending down strongly 🔴.
Ohio
Record: 4-6 | Elo: 1496.6 (ranked 193 of 365) | Efficiency Margin: -8.17 (ranked 228 of 365)
Offensive Trends:
- Off Reb Pct (Offensive Rebounding): Currently ranked 214 of 365 in D1. Trending up strongly 🟢.
- 2Pt Rate (2 Point Attempts/FGA (%)): Currently ranked 109 of 365 in D1. Trending up strongly 🟢.
Defensive Trends:
- Def Reb Pct (Defensive Rebounding): Currently ranked 322 of 365 in D1. Trending down strongly 🔴.
- Opp FT Rate (Opp FTA/FGA (%)): Currently ranked 80 of 365 in D1. Trending down strongly 🟢.
Toledo
Record: 5-5 | Elo: 1523.8 (ranked 152 of 365) | Efficiency Margin: -3.82 (ranked 195 of 365)
Offensive Trends:
- Off Reb Pct (Offensive Rebounding): Currently ranked 149 of 365 in D1. Trending up strongly 🟢.
- FT Pct (FTM/FTA (%)): Currently ranked 28 of 365 in D1. Trending up strongly 🟢.
Defensive Trends:
- Opp 3Pt Pct (Opp 3 Point FGM/FGA (%)): Currently ranked 221 of 365 in D1. Trending down strongly 🟢.
- Opp Assists per FGM (Opp Assists/FGM (%)): Currently ranked 174 of 365 in D1. Trending up strongly 🔴.
UMass
Record: 8-3 | Elo: 1487.5 (ranked 208 of 365) | Efficiency Margin: +4.10 (ranked 129 of 365)
Offensive Trends:
- Shooting (Shooting): Currently ranked 124 of 365 in D1. Trending up strongly 🟢.
- FGM Per Poss (Field Goal Makes Per Possession (%)): Currently ranked 166 of 365 in D1. Trending up strongly 🟢.
Defensive Trends:
- Opp FT Rate (Opp FTA/FGA (%)): Currently ranked 333 of 365 in D1. Trending up strongly 🔴.
- Opp 2Pt Pct (Opp 2 Point FGM/FGA (%)): Currently ranked 300 of 365 in D1. Trending up strongly 🔴.
W Michigan
Record: 5-6 | Elo: 1444.1 (ranked 263 of 365) | Efficiency Margin: -13.55 (ranked 276 of 365)
Offensive Trends:
- Shooting (Shooting): Currently ranked 192 of 365 in D1. Trending up strongly 🟢.
- Turnovers (Turnovers): Currently ranked 249 of 365 in D1. Trending up strongly 🔴.
Defensive Trends:
- Opp Turnovers (Opp Turnovers): Currently ranked 337 of 365 in D1. Trending down strongly 🟢.
- Opp 2Pt Rate (Opp 2 Point Attempts/FGA (%)): Currently ranked 16 of 365 in D1. Trending down strongly 🟢.

Figure 2: Offensive Four Factors comparison across Mid-American teams. The radar chart shows each team’s shooting efficiency (eFG%), ball security (TOV%), offensive rebounding (OREB%), and free throw generation (FT Rate).

Figure 3: Defensive Four Factors comparison across Mid-American teams. The radar chart shows each team’s opponent shooting defense (Opp eFG%), ball disruption (forcing TOV%), defensive rebounding (DREB%), and opponent free throw prevention (Opp FT Rate).

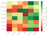
Figure 4: MACD trends heatmap showing which metrics are improving (green) or declining (red) for each team. Stronger colors indicate more pronounced trends.
Looking Ahead
As Mid-American teams continue their season, the MACD trending indicators will help identify which teams are genuinely improving versus those riding unsustainable momentum. Check back next week for updated analysis.
Metrics Glossary
Four Factors (Dean Oliver’s framework for basketball success):
- eFG% (Effective Field Goal %): Field goal percentage adjusted for 3-pointers being worth more (FGM + 0.5×3PM) / FGA. Higher is better offensively, lower is better defensively.
- TOV% (Turnover Rate): Turnovers per 100 possessions. Lower is better offensively (taking care of the ball), higher is better defensively (forcing turnovers).
- OREB% / DREB% (Offensive/Defensive Rebound Rate): Percentage of available rebounds grabbed. Offensive rebounds create second-chance points; defensive rebounds end opponent possessions.
- FTR (Free Throw Rate): Free throws made per field goal attempt (FTM/FGA). Measures ability to get to the line AND convert. Higher is better offensively, lower is better defensively.
Other Metrics:
- Elo Rating: Chess-style rating system that updates based on game results and opponent strength. Higher Elo indicates stronger team.
- Efficiency Margin: Point differential per 100 possessions (Offensive Efficiency – Defensive Efficiency). Accounts for pace of play.
- MACD (Moving Average Convergence Divergence): Trend indicator comparing 12-game and 26-game exponential moving averages. Positive MACD = improving trend, Negative MACD = declining trend.
Analysis powered by HoopSci’s advanced metrics and MACD trending indicators.

