Northeast Update: Week 6
December 15, 2025The Northeast enters Week 6 with teams showing diverse trending patterns. This analysis examines each team’s performance trends using MACD (Moving Average Convergence Divergence) indicators to identify not just where teams stand, but where they’re headed.

Figure 1: Efficiency margin trends for Northeast teams throughout the season. Teams trending upward show improving performance, while downward trends indicate struggles.
Conference Snapshot
- Week Dates: December 08 – December 14, 2025
- Trending Up (Efficiency): Cent Conn St, Fair Dickinson, Brooklyn, Wagner, Le Moyne
- Trending Down (Efficiency): St Francis (PA), Stonehill, Chicago State
Team-by-Team Analysis
Brooklyn
Record: 6-4 | Elo: 1467.9 (ranked 233 of 365) | Efficiency Margin: -0.75 (ranked 175 of 365)
Offensive Trends:
- Shooting (Shooting): Currently ranked 102 of 365 in D1. Trending up strongly 🟢.
- FT Rate (FTA/FGA (%)): Currently ranked 129 of 365 in D1. Trending up strongly 🟢.
Defensive Trends:
- Def Reb Pct (Defensive Rebounding): Currently ranked 341 of 365 in D1. Trending down strongly 🔴.
- Opp FT Rate (Opp FTA/FGA (%)): Currently ranked 172 of 365 in D1. Trending down strongly 🟢.
Cent Conn St
Record: 6-4 | Elo: 1555.8 (ranked 109 of 365) | Efficiency Margin: -1.27 (ranked 181 of 365)
Offensive Trends:
- Off Reb Pct (Offensive Rebounding): Currently ranked 294 of 365 in D1. Trending up strongly 🟢.
- 3Pt Pct (3 Point FGM/FGA (%)): Currently ranked 30 of 365 in D1. Trending up strongly 🟢.
Defensive Trends:
- Opp Shooting (Opp Shooting): Currently ranked 136 of 365 in D1. Trending up strongly 🔴.
- Opp FT Rate (Opp FTA/FGA (%)): Currently ranked 21 of 365 in D1. Trending up strongly 🔴.
Chicago State
Record: 2-9 | Elo: 1330.0 (ranked 359 of 365) | Efficiency Margin: -25.30 (ranked 342 of 365)
Offensive Trends:
- Off Reb Pct (Offensive Rebounding): Currently ranked 283 of 365 in D1. Trending up strongly 🟢.
- Adj Off Eff (Adjusted Offensive Efficiency): Currently ranked 304 of 365 in D1. Trending up strongly 🟢.
Defensive Trends:
- Def Reb Pct (Defensive Rebounding): Currently ranked 350 of 365 in D1. Trending down strongly 🔴.
- Opp FGA Per Poss (Opp FG Attempts Per Possession (%)): Currently ranked 184 of 365 in D1. Trending up strongly 🔴.
Fair Dickinson
Record: 2-8 | Elo: 1369.6 (ranked 339 of 365) | Efficiency Margin: -29.20 (ranked 356 of 365)
Offensive Trends:
- Off Reb Pct (Offensive Rebounding): Currently ranked 214 of 365 in D1. Trending up strongly 🟢.
- FT Rate (FTA/FGA (%)): Currently ranked 324 of 365 in D1. Trending down strongly 🔴.
Defensive Trends:
- Opp Shooting (Opp Shooting): Currently ranked 361 of 365 in D1. Trending up strongly 🔴.
- Opp FGM Per Poss (Opp FG Makes Per Possession (%)): Currently ranked 346 of 365 in D1. Trending up strongly 🔴.
Le Moyne
Record: 5-5 | Elo: 1402.8 (ranked 309 of 365) | Efficiency Margin: -3.98 (ranked 197 of 365)
Offensive Trends:
- Shooting (Shooting): Currently ranked 37 of 365 in D1. Trending up strongly 🟢.
- Adj Off Eff (Adjusted Offensive Efficiency): Currently ranked 99 of 365 in D1. Trending up strongly 🟢.
Defensive Trends:
- Opp FGA Per Poss (Opp FG Attempts Per Possession (%)): Currently ranked 325 of 365 in D1. Trending up strongly 🔴.
- Opp Shooting (Opp Shooting): Currently ranked 194 of 365 in D1. Trending down moderately 🟢.
Mercyhurst
Record: 4-7 | Elo: 1444.5 (ranked 262 of 365) | Efficiency Margin: -13.04 (ranked 268 of 365)
Offensive Trends:
- Off Reb Pct (Offensive Rebounding): Currently ranked 300 of 365 in D1. Trending up strongly 🟢.
- FT Rate (FTA/FGA (%)): Currently ranked 342 of 365 in D1. Trending down strongly 🔴.
Defensive Trends:
- Opp Shooting (Opp Shooting): Currently ranked 205 of 365 in D1. Trending up strongly 🔴.
- Opp FGM Per Poss (Opp FG Makes Per Possession (%)): Currently ranked 112 of 365 in D1. Trending up strongly 🔴.
New Haven
Record: 5-6 | Elo: 1487.5 (ranked 208 of 365) | Efficiency Margin: -16.90 (ranked 295 of 365)
Offensive Trends:
- FT Rate (FTA/FGA (%)): Currently ranked 317 of 365 in D1. Trending up strongly 🟢.
- FGM Per Poss (Field Goal Makes Per Possession (%)): Currently ranked 171 of 365 in D1. Trending up strongly 🟢.
Defensive Trends:
- Opp Shooting (Opp Shooting): Currently ranked 175 of 365 in D1. Trending down strongly 🟢.
- Def Reb Pct (Defensive Rebounding): Currently ranked 1 of 365 in D1. Trending up strongly 🟢.
St Francis (PA)
Record: 2-9 | Elo: 1381.4 (ranked 331 of 365) | Efficiency Margin: -31.51 (ranked 358 of 365)
Offensive Trends:
- Off Reb Pct (Offensive Rebounding): Currently ranked 341 of 365 in D1. Trending up strongly 🟢.
- Adj Off Eff (Adjusted Offensive Efficiency): Currently ranked 355 of 365 in D1. Trending down strongly 🔴.
Defensive Trends:
- Opp Shooting (Opp Shooting): Currently ranked 365 of 365 in D1. Trending up strongly 🔴.
- Opp FGM Per Poss (Opp FG Makes Per Possession (%)): Currently ranked 357 of 365 in D1. Trending up strongly 🔴.
Stonehill
Record: 2-8 | Elo: 1367.9 (ranked 344 of 365) | Efficiency Margin: -18.68 (ranked 310 of 365)
Offensive Trends:
- Off Reb Pct (Offensive Rebounding): Currently ranked 273 of 365 in D1. Trending up strongly 🟢.
- 2PA Per Poss (2 Point Attempts Per Possession (%)): Currently ranked 179 of 365 in D1. Trending up strongly 🟢.
Defensive Trends:
- Opp Turnovers (Opp Turnovers): Currently ranked 364 of 365 in D1. Trending down strongly 🟢.
- Opp FT Pct (Opp FTM/FTA (%)): Currently ranked 50 of 365 in D1. Trending down strongly 🟢.
Wagner
Record: 1-5 | Elo: 1421.3 (ranked 288 of 365) | Efficiency Margin: -7.16 (ranked 218 of 365)
Offensive Trends:
- Turnovers (Turnovers): Currently ranked 313 of 365 in D1. Trending up strongly 🔴.
- Adj Off Eff (Adjusted Offensive Efficiency): Currently ranked 178 of 365 in D1. Trending up strongly 🟢.
Defensive Trends:
- Opp Turnovers (Opp Turnovers): Currently ranked 316 of 365 in D1. Trending down strongly 🟢.
- Def Reb Pct (Defensive Rebounding): Currently ranked 254 of 365 in D1. Trending down strongly 🔴.

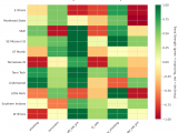
Figure 2: Offensive Four Factors comparison across Northeast teams. The radar chart shows each team’s shooting efficiency (eFG%), ball security (TOV%), offensive rebounding (OREB%), and free throw generation (FT Rate).

Figure 3: Defensive Four Factors comparison across Northeast teams. The radar chart shows each team’s opponent shooting defense (Opp eFG%), ball disruption (forcing TOV%), defensive rebounding (DREB%), and opponent free throw prevention (Opp FT Rate).

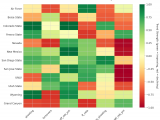
Figure 4: MACD trends heatmap showing which metrics are improving (green) or declining (red) for each team. Stronger colors indicate more pronounced trends.
Looking Ahead
As Northeast teams continue their season, the MACD trending indicators will help identify which teams are genuinely improving versus those riding unsustainable momentum. Check back next week for updated analysis.
Metrics Glossary
Four Factors (Dean Oliver’s framework for basketball success):
- eFG% (Effective Field Goal %): Field goal percentage adjusted for 3-pointers being worth more (FGM + 0.5×3PM) / FGA. Higher is better offensively, lower is better defensively.
- TOV% (Turnover Rate): Turnovers per 100 possessions. Lower is better offensively (taking care of the ball), higher is better defensively (forcing turnovers).
- OREB% / DREB% (Offensive/Defensive Rebound Rate): Percentage of available rebounds grabbed. Offensive rebounds create second-chance points; defensive rebounds end opponent possessions.
- FTR (Free Throw Rate): Free throws made per field goal attempt (FTM/FGA). Measures ability to get to the line AND convert. Higher is better offensively, lower is better defensively.
Other Metrics:
- Elo Rating: Chess-style rating system that updates based on game results and opponent strength. Higher Elo indicates stronger team.
- Efficiency Margin: Point differential per 100 possessions (Offensive Efficiency – Defensive Efficiency). Accounts for pace of play.
- MACD (Moving Average Convergence Divergence): Trend indicator comparing 12-game and 26-game exponential moving averages. Positive MACD = improving trend, Negative MACD = declining trend.
Analysis powered by HoopSci’s advanced metrics and MACD trending indicators.

