Southern Update: Week 6
December 15, 2025The Southern enters Week 6 with teams showing diverse trending patterns. This analysis examines each team’s performance trends using MACD (Moving Average Convergence Divergence) indicators to identify not just where teams stand, but where they’re headed.

Figure 1: Efficiency margin trends for Southern teams throughout the season. Teams trending upward show improving performance, while downward trends indicate struggles.
Conference Snapshot
- Week Dates: December 08 – December 14, 2025
- Trending Up (Efficiency): ETSU, Furman, Mercer, UNCG, W Carolina
- Trending Down (Efficiency): Chattanooga, Samford, The Citadel, VMI, Wofford
Team-by-Team Analysis
Chattanooga
Record: 5-6 | Elo: 1585.4 (ranked 81 of 365) | Efficiency Margin: -14.57 (ranked 286 of 365)
Offensive Trends:
- Off Reb Pct (Offensive Rebounding): Currently ranked 354 of 365 in D1. Trending up strongly 🟢.
- FGA Per Poss (Field Goal Attempts Per Possession (%)): Currently ranked 148 of 365 in D1. Trending up strongly 🟢.
Defensive Trends:
- Def Reb Pct (Defensive Rebounding): Currently ranked 312 of 365 in D1. Trending down strongly 🔴.
- Opp FT Rate (Opp FTA/FGA (%)): Currently ranked 309 of 365 in D1. Trending up strongly 🔴.
ETSU
Record: 8-3 | Elo: 1541.8 (ranked 125 of 365) | Efficiency Margin: +9.04 (ranked 98 of 365)
Offensive Trends:
- Shooting (Shooting): Currently ranked 54 of 365 in D1. Trending up strongly 🟢.
- Off Reb Pct (Offensive Rebounding): Currently ranked 178 of 365 in D1. Trending up strongly 🟢.
Defensive Trends:
- Def Reb Pct (Defensive Rebounding): Currently ranked 60 of 365 in D1. Trending up strongly 🟢.
- Opp FGM Per Poss (Opp FG Makes Per Possession (%)): Currently ranked 19 of 365 in D1. Trending down strongly 🟢.
Furman
Record: 7-4 | Elo: 1573.6 (ranked 93 of 365) | Efficiency Margin: -5.96 (ranked 214 of 365)
Offensive Trends:
- Shooting (Shooting): Currently ranked 72 of 365 in D1. Trending up strongly 🟢.
- Off Reb Pct (Offensive Rebounding): Currently ranked 166 of 365 in D1. Trending up strongly 🟢.
Defensive Trends:
- Opp Turnovers (Opp Turnovers): Currently ranked 347 of 365 in D1. Trending down strongly 🟢.
- Opp Shooting (Opp Shooting): Currently ranked 249 of 365 in D1. Trending up moderately 🔴.
Mercer
Record: 7-3 | Elo: 1495.2 (ranked 194 of 365) | Efficiency Margin: +2.86 (ranked 137 of 365)
Offensive Trends:
- Shooting (Shooting): Currently ranked 138 of 365 in D1. Trending up strongly 🟢.
- Off Reb Pct (Offensive Rebounding): Currently ranked 220 of 365 in D1. Trending up strongly 🟢.
Defensive Trends:
- Opp 2PM Per Poss (Opp 2 Point Makes Per Possession (%)): Currently ranked 278 of 365 in D1. Trending up strongly 🔴.
- Opp 2Pt Pct (Opp 2 Point FGM/FGA (%)): Currently ranked 203 of 365 in D1. Trending up strongly 🔴.
Samford
Record: 5-6 | Elo: 1566.0 (ranked 97 of 365) | Efficiency Margin: -15.56 (ranked 288 of 365)
Offensive Trends:
- Shooting (Shooting): Currently ranked 271 of 365 in D1. Trending down strongly 🔴.
- Turnovers (Turnovers): Currently ranked 24 of 365 in D1. Trending down strongly 🟢.
Defensive Trends:
- Opp Turnovers (Opp Turnovers): Currently ranked 310 of 365 in D1. Trending down strongly 🟢.
- Def Reb Pct (Defensive Rebounding): Currently ranked 147 of 365 in D1. Trending down strongly 🔴.
The Citadel
Record: 3-8 | Elo: 1264.2 (ranked 369 of 365) | Efficiency Margin: -35.48 (ranked 362 of 365)
Offensive Trends:
- Turnovers (Turnovers): Currently ranked 98 of 365 in D1. Trending down strongly 🟢.
- Off Reb Pct (Offensive Rebounding): Currently ranked 239 of 365 in D1. Trending up strongly 🟢.
Defensive Trends:
- Opp Turnovers (Opp Turnovers): Currently ranked 365 of 365 in D1. Trending down strongly 🟢.
- Opp FT Pct (Opp FTM/FTA (%)): Currently ranked 25 of 365 in D1. Trending down strongly 🟢.
UNCG
Record: 3-8 | Elo: 1492.5 (ranked 200 of 365) | Efficiency Margin: -20.16 (ranked 318 of 365)
Offensive Trends:
- Off Reb Pct (Offensive Rebounding): Currently ranked 324 of 365 in D1. Trending up strongly 🟢.
- FT Rate (FTA/FGA (%)): Currently ranked 22 of 365 in D1. Trending up strongly 🟢.
Defensive Trends:
- Opp Shooting (Opp Shooting): Currently ranked 319 of 365 in D1. Trending up strongly 🔴.
- Def Reb Pct (Defensive Rebounding): Currently ranked 257 of 365 in D1. Trending down strongly 🔴.
VMI
Record: 3-7 | Elo: 1372.0 (ranked 336 of 365) | Efficiency Margin: -23.84 (ranked 338 of 365)
Offensive Trends:
- Shooting (Shooting): Currently ranked 333 of 365 in D1. Trending down strongly 🔴.
- FGA Per Poss (Field Goal Attempts Per Possession (%)): Currently ranked 65 of 365 in D1. Trending up strongly 🟢.
Defensive Trends:
- Def Reb Pct (Defensive Rebounding): Currently ranked 358 of 365 in D1. Trending down strongly 🔴.
- Opp FGA Per Poss (Opp FG Attempts Per Possession (%)): Currently ranked 336 of 365 in D1. Trending up strongly 🔴.
W Carolina
Record: 4-6 | Elo: 1420.1 (ranked 292 of 365) | Efficiency Margin: -19.29 (ranked 312 of 365)
Offensive Trends:
- Off Reb Pct (Offensive Rebounding): Currently ranked 210 of 365 in D1. Trending up strongly 🟢.
- FT Rate (FTA/FGA (%)): Currently ranked 262 of 365 in D1. Trending up strongly 🟢.
Defensive Trends:
- Opp Shooting (Opp Shooting): Currently ranked 341 of 365 in D1. Trending up strongly 🔴.
- Opp Turnovers (Opp Turnovers): Currently ranked 256 of 365 in D1. Trending up strongly 🔴.
Wofford
Record: 6-4 | Elo: 1533.1 (ranked 138 of 365) | Efficiency Margin: -13.83 (ranked 280 of 365)
Offensive Trends:
- Shooting (Shooting): Currently ranked 297 of 365 in D1. Trending down strongly 🔴.
- Turnovers (Turnovers): Currently ranked 57 of 365 in D1. Trending down strongly 🟢.
Defensive Trends:
- Def Reb Pct (Defensive Rebounding): Currently ranked 238 of 365 in D1. Trending down strongly 🔴.
- Opp FT Rate (Opp FTA/FGA (%)): Currently ranked 81 of 365 in D1. Trending down strongly 🟢.

Figure 2: Offensive Four Factors comparison across Southern teams. The radar chart shows each team’s shooting efficiency (eFG%), ball security (TOV%), offensive rebounding (OREB%), and free throw generation (FT Rate).

Figure 3: Defensive Four Factors comparison across Southern teams. The radar chart shows each team’s opponent shooting defense (Opp eFG%), ball disruption (forcing TOV%), defensive rebounding (DREB%), and opponent free throw prevention (Opp FT Rate).

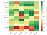
Figure 4: MACD trends heatmap showing which metrics are improving (green) or declining (red) for each team. Stronger colors indicate more pronounced trends.
Looking Ahead
As Southern teams continue their season, the MACD trending indicators will help identify which teams are genuinely improving versus those riding unsustainable momentum. Check back next week for updated analysis.
Metrics Glossary
Four Factors (Dean Oliver’s framework for basketball success):
- eFG% (Effective Field Goal %): Field goal percentage adjusted for 3-pointers being worth more (FGM + 0.5×3PM) / FGA. Higher is better offensively, lower is better defensively.
- TOV% (Turnover Rate): Turnovers per 100 possessions. Lower is better offensively (taking care of the ball), higher is better defensively (forcing turnovers).
- OREB% / DREB% (Offensive/Defensive Rebound Rate): Percentage of available rebounds grabbed. Offensive rebounds create second-chance points; defensive rebounds end opponent possessions.
- FTR (Free Throw Rate): Free throws made per field goal attempt (FTM/FGA). Measures ability to get to the line AND convert. Higher is better offensively, lower is better defensively.
Other Metrics:
- Elo Rating: Chess-style rating system that updates based on game results and opponent strength. Higher Elo indicates stronger team.
- Efficiency Margin: Point differential per 100 possessions (Offensive Efficiency – Defensive Efficiency). Accounts for pace of play.
- MACD (Moving Average Convergence Divergence): Trend indicator comparing 12-game and 26-game exponential moving averages. Positive MACD = improving trend, Negative MACD = declining trend.
Analysis powered by HoopSci’s advanced metrics and MACD trending indicators.

