Southland Update: Week 6
December 15, 2025The Southland enters Week 6 with teams showing diverse trending patterns. This analysis examines each team’s performance trends using MACD (Moving Average Convergence Divergence) indicators to identify not just where teams stand, but where they’re headed.

Figure 1: Efficiency margin trends for Southland teams throughout the season. Teams trending upward show improving performance, while downward trends indicate struggles.
Conference Snapshot
- Week Dates: December 08 – December 14, 2025
- Trending Up (Efficiency): Houston Baptist, Incarnate Word, McNeese, New Orleans, Nicholls
- Trending Down (Efficiency): Lamar, UT Rio Grande
Team-by-Team Analysis
Houston Baptist
Record: 5-5 | Elo: 1369.2 (ranked 341 of 365) | Efficiency Margin: -13.05 (ranked 269 of 365)
Offensive Trends:
- Adj Off Eff (Adjusted Offensive Efficiency): Currently ranked 219 of 365 in D1. Trending up strongly 🟢.
- FGM Per Poss (Field Goal Makes Per Possession (%)): Currently ranked 156 of 365 in D1. Trending up strongly 🟢.
Defensive Trends:
- Opp 2Pt Rate (Opp 2 Point Attempts/FGA (%)): Currently ranked 136 of 365 in D1. Trending down strongly 🟢.
- Opp 2PM Per Poss (Opp 2 Point Makes Per Possession (%)): Currently ranked 214 of 365 in D1. Trending down strongly 🟢.
Incarnate Word
Record: 5-5 | Elo: 1417.0 (ranked 294 of 365) | Efficiency Margin: -22.50 (ranked 327 of 365)
Offensive Trends:
- FT Rate (FTA/FGA (%)): Currently ranked 139 of 365 in D1. Trending up strongly 🟢.
- FTM Per Poss (Free Throw Makes Per Possession (%)): Currently ranked 156 of 365 in D1. Trending up strongly 🟢.
Defensive Trends:
- Opp Shooting (Opp Shooting): Currently ranked 349 of 365 in D1. Trending up strongly 🔴.
- Opp FT Rate (Opp FTA/FGA (%)): Currently ranked 353 of 365 in D1. Trending up strongly 🔴.
Lamar
Record: 5-4 | Elo: 1493.0 (ranked 198 of 365) | Efficiency Margin: -2.82 (ranked 191 of 365)
Offensive Trends:
- Adj Def Eff (Adjusted Defensive Efficiency): Currently ranked 89 of 365 in D1. Trending down strongly 🔴.
- Fouls Per Poss (Fouls Per Possession): Currently ranked 288 of 365 in D1. Trending up strongly 🔴.
Defensive Trends:
- Def Reb Pct (Defensive Rebounding): Currently ranked 109 of 365 in D1. Trending up strongly 🟢.
- Opp FT Rate (Opp FTA/FGA (%)): Currently ranked 324 of 365 in D1. Trending up strongly 🔴.
McNeese
Record: 9-2 | Elo: 1637.8 (ranked 37 of 365) | Efficiency Margin: +14.45 (ranked 62 of 365)
Offensive Trends:
- Adj Off Eff (Adjusted Offensive Efficiency): Currently ranked 90 of 365 in D1. Trending up strongly 🟢.
- FT Pct (FTM/FTA (%)): Currently ranked 36 of 365 in D1. Trending up strongly 🟢.
Defensive Trends:
- Opp Turnovers (Opp Turnovers): Currently ranked 2 of 365 in D1. Trending up strongly 🔴.
- Opp FT Rate (Opp FTA/FGA (%)): Currently ranked 277 of 365 in D1. Trending up strongly 🔴.
New Orleans
Record: 3-8 | Elo: 1325.2 (ranked 362 of 365) | Efficiency Margin: -11.90 (ranked 261 of 365)
Offensive Trends:
- Turnovers (Turnovers): Currently ranked 336 of 365 in D1. Trending up strongly 🔴.
- Adj Off Eff (Adjusted Offensive Efficiency): Currently ranked 223 of 365 in D1. Trending up strongly 🟢.
Defensive Trends:
- Opp Turnovers (Opp Turnovers): Currently ranked 356 of 365 in D1. Trending down strongly 🟢.
- Opp FT Rate (Opp FTA/FGA (%)): Currently ranked 306 of 365 in D1. Trending up strongly 🔴.
Nicholls
Record: 2-7 | Elo: 1479.4 (ranked 219 of 365) | Efficiency Margin: -10.31 (ranked 247 of 365)
Offensive Trends:
- Shooting (Shooting): Currently ranked 272 of 365 in D1. Trending up strongly 🟢.
- Off Reb Pct (Offensive Rebounding): Currently ranked 297 of 365 in D1. Trending up strongly 🟢.
Defensive Trends:
- Opp Shooting (Opp Shooting): Currently ranked 307 of 365 in D1. Trending up strongly 🔴.
- Opp FGM Per Poss (Opp FG Makes Per Possession (%)): Currently ranked 222 of 365 in D1. Trending up strongly 🔴.
Northwestern St
Record: 2-8 | Elo: 1428.3 (ranked 281 of 365) | Efficiency Margin: -23.39 (ranked 332 of 365)
Offensive Trends:
- Off Reb Pct (Offensive Rebounding): Currently ranked 325 of 365 in D1. Trending down strongly 🔴.
- FGA Per Poss (Field Goal Attempts Per Possession (%)): Currently ranked 354 of 365 in D1. Trending down strongly 🔴.
Defensive Trends:
- Opp Shooting (Opp Shooting): Currently ranked 346 of 365 in D1. Trending up strongly 🔴.
- Opp FT Rate (Opp FTA/FGA (%)): Currently ranked 334 of 365 in D1. Trending up strongly 🔴.
SE Louisiana
Record: 4-6 | Elo: 1464.3 (ranked 236 of 365) | Efficiency Margin: -12.64 (ranked 265 of 365)
Offensive Trends:
- FGA Per Poss (Field Goal Attempts Per Possession (%)): Currently ranked 315 of 365 in D1. Trending down strongly 🔴.
- 2Pt Rate (2 Point Attempts/FGA (%)): Currently ranked 251 of 365 in D1. Trending down strongly 🔴.
Defensive Trends:
- Opp Turnovers (Opp Turnovers): Currently ranked 23 of 365 in D1. Trending up strongly 🔴.
- Opp FT Rate (Opp FTA/FGA (%)): Currently ranked 342 of 365 in D1. Trending up strongly 🔴.
SF Austin
Record: 7-2 | Elo: 1492.0 (ranked 202 of 365) | Efficiency Margin: +4.05 (ranked 132 of 365)
Offensive Trends:
- Shooting (Shooting): Currently ranked 121 of 365 in D1. Trending up strongly 🟢.
- Turnovers (Turnovers): Currently ranked 60 of 365 in D1. Trending down strongly 🟢.
Defensive Trends:
- Opp Turnovers (Opp Turnovers): Currently ranked 213 of 365 in D1. Trending down strongly 🟢.
- Def Reb Pct (Defensive Rebounding): Currently ranked 46 of 365 in D1. Trending up strongly 🟢.
Texas A&M-CC
Record: 4-5 | Elo: 1485.2 (ranked 211 of 365) | Efficiency Margin: -10.62 (ranked 251 of 365)
Offensive Trends:
- Off Reb Pct (Offensive Rebounding): Currently ranked 299 of 365 in D1. Trending up strongly 🟢.
- Adj Off Eff (Adjusted Offensive Efficiency): Currently ranked 348 of 365 in D1. Trending down strongly 🔴.
Defensive Trends:
- Opp Assists per FGM (Opp Assists/FGM (%)): Currently ranked 362 of 365 in D1. Trending up strongly 🔴.
- Opp Shooting (Opp Shooting): Currently ranked 215 of 365 in D1. Trending up weakly 🔴.
Texas A&M-Commerce
Record: 5-5 | Elo: 1368.2 (ranked 342 of 365) | Efficiency Margin: -16.27 (ranked 293 of 365)
Offensive Trends:
- Adj Off Eff (Adjusted Offensive Efficiency): Currently ranked 324 of 365 in D1. Trending up strongly 🟢.
- Off Tempo (Offensive Possessions Per Game): Currently ranked 133 of 365 in D1. Trending up strongly 🟢.
Defensive Trends:
- Opp Shooting (Opp Shooting): Currently ranked 308 of 365 in D1. Trending up strongly 🔴.
- Def Reb Pct (Defensive Rebounding): Currently ranked 259 of 365 in D1. Trending up strongly 🟢.
UT Rio Grande
Record: 3-6 | Elo: 1399.2 (ranked 315 of 365) | Efficiency Margin: -0.15 (ranked 169 of 365)
Offensive Trends:
- 2Pt Rate (2 Point Attempts/FGA (%)): Currently ranked 174 of 365 in D1. Trending up strongly 🟢.
- 2PA Per Poss (2 Point Attempts Per Possession (%)): Currently ranked 130 of 365 in D1. Trending up strongly 🟢.
Defensive Trends:
- Opp Shooting (Opp Shooting): Currently ranked 116 of 365 in D1. Trending down strongly 🟢.
- Def Reb Pct (Defensive Rebounding): Currently ranked 194 of 365 in D1. Trending up strongly 🟢.

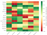
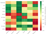
Figure 2: Offensive Four Factors comparison across Southland teams. The radar chart shows each team’s shooting efficiency (eFG%), ball security (TOV%), offensive rebounding (OREB%), and free throw generation (FT Rate).

Figure 3: Defensive Four Factors comparison across Southland teams. The radar chart shows each team’s opponent shooting defense (Opp eFG%), ball disruption (forcing TOV%), defensive rebounding (DREB%), and opponent free throw prevention (Opp FT Rate).

Figure 4: MACD trends heatmap showing which metrics are improving (green) or declining (red) for each team. Stronger colors indicate more pronounced trends.
Looking Ahead
As Southland teams continue their season, the MACD trending indicators will help identify which teams are genuinely improving versus those riding unsustainable momentum. Check back next week for updated analysis.
Metrics Glossary
Four Factors (Dean Oliver’s framework for basketball success):
- eFG% (Effective Field Goal %): Field goal percentage adjusted for 3-pointers being worth more (FGM + 0.5×3PM) / FGA. Higher is better offensively, lower is better defensively.
- TOV% (Turnover Rate): Turnovers per 100 possessions. Lower is better offensively (taking care of the ball), higher is better defensively (forcing turnovers).
- OREB% / DREB% (Offensive/Defensive Rebound Rate): Percentage of available rebounds grabbed. Offensive rebounds create second-chance points; defensive rebounds end opponent possessions.
- FTR (Free Throw Rate): Free throws made per field goal attempt (FTM/FGA). Measures ability to get to the line AND convert. Higher is better offensively, lower is better defensively.
Other Metrics:
- Elo Rating: Chess-style rating system that updates based on game results and opponent strength. Higher Elo indicates stronger team.
- Efficiency Margin: Point differential per 100 possessions (Offensive Efficiency – Defensive Efficiency). Accounts for pace of play.
- MACD (Moving Average Convergence Divergence): Trend indicator comparing 12-game and 26-game exponential moving averages. Positive MACD = improving trend, Negative MACD = declining trend.
Analysis powered by HoopSci’s advanced metrics and MACD trending indicators.

