Ivy Update: Week 7
December 23, 2025The Ivy enters Week 7 with teams showing diverse trending patterns. This analysis examines each team’s performance trends using MACD (Moving Average Convergence Divergence) indicators to identify not just where teams stand, but where they’re headed.

Figure 1: Efficiency margin trends for Ivy teams throughout the season. Teams trending upward show improving performance, while downward trends indicate struggles.
Conference Snapshot
- Week Dates: December 15 – December 21, 2025
- Trending Up (Efficiency): Brown, Cornell, Dartmouth, Harvard, Yale
- Trending Down (Efficiency): Columbia, Penn, Princeton
Team-by-Team Analysis
Brown
Record: 5-7 | Elo: 1474.2 (ranked 223 of 365) | Efficiency Margin: -4.12 (ranked 198 of 365)
Offensive Trends:
- Off Reb Pct (Offensive Rebounding): Currently ranked 234 of 365 in D1. Trending up strongly 🟢.
- Adj Off Eff (Adjusted Offensive Efficiency): Currently ranked 287 of 365 in D1. Trending down strongly 🔴.
Defensive Trends:
- Opp Turnovers (Opp Turnovers): Currently ranked 111 of 365 in D1. Trending up strongly 🔴.
- Opp FGM Per Poss (Opp FG Makes Per Possession (%)): Currently ranked 124 of 365 in D1. Trending down strongly 🟢.
Columbia
Record: 9-3 | Elo: 1474.7 (ranked 221 of 365) | Efficiency Margin: +10.18 (ranked 90 of 365)
Offensive Trends:
- Turnovers (Turnovers): Currently ranked 301 of 365 in D1. Trending up strongly 🔴.
- Off Reb Pct (Offensive Rebounding): Currently ranked 27 of 365 in D1. Trending up strongly 🟢.
Defensive Trends:
- Opp Shooting (Opp Shooting): Currently ranked 57 of 365 in D1. Trending down strongly 🟢.
- Opp FT Rate (Opp FTA/FGA (%)): Currently ranked 134 of 365 in D1. Trending up strongly 🔴.
Cornell
Record: 6-5 | Elo: 1564.9 (ranked 103 of 365) | Efficiency Margin: +3.92 (ranked 127 of 365)
Offensive Trends:
- Off Reb Pct (Offensive Rebounding): Currently ranked 226 of 365 in D1. Trending up strongly 🟢.
- 2PM Per Poss (2 Point Makes Per Possession (%)): Currently ranked 330 of 365 in D1. Trending down strongly 🔴.
Defensive Trends:
- Opp Shooting (Opp Shooting): Currently ranked 300 of 365 in D1. Trending up strongly 🔴.
- Def Reb Pct (Defensive Rebounding): Currently ranked 193 of 365 in D1. Trending down strongly 🔴.
Dartmouth
Record: 5-6 | Elo: 1452.4 (ranked 253 of 365) | Efficiency Margin: -7.41 (ranked 221 of 365)
Offensive Trends:
- Turnovers (Turnovers): Currently ranked 341 of 365 in D1. Trending up strongly 🔴.
- Off Reb Pct (Offensive Rebounding): Currently ranked 223 of 365 in D1. Trending up strongly 🟢.
Defensive Trends:
- Def Reb Pct (Defensive Rebounding): Currently ranked 85 of 365 in D1. Trending down strongly 🔴.
- Opp Assists per FGM (Opp Assists/FGM (%)): Currently ranked 11 of 365 in D1. Trending down strongly 🟢.
Harvard
Record: 6-6 | Elo: 1484.1 (ranked 207 of 365) | Efficiency Margin: +1.57 (ranked 152 of 365)
Offensive Trends:
- FT Rate (FTA/FGA (%)): Currently ranked 345 of 365 in D1. Trending down strongly 🔴.
- Adj Off Eff (Adjusted Offensive Efficiency): Currently ranked 154 of 365 in D1. Trending up strongly 🟢.
Defensive Trends:
- Opp 2Pt Rate (Opp 2 Point Attempts/FGA (%)): Currently ranked 111 of 365 in D1. Trending down strongly 🟢.
- Opp 2PM Per Poss (Opp 2 Point Makes Per Possession (%)): Currently ranked 185 of 365 in D1. Trending down strongly 🟢.
Penn
Record: 6-5 | Elo: 1444.3 (ranked 261 of 365) | Efficiency Margin: +2.36 (ranked 145 of 365)
Offensive Trends:
- Off Reb Pct (Offensive Rebounding): Currently ranked 129 of 365 in D1. Trending up strongly 🟢.
- Adj Off Eff (Adjusted Offensive Efficiency): Currently ranked 132 of 365 in D1. Trending up strongly 🟢.
Defensive Trends:
- Opp FGA Per Poss (Opp FG Attempts Per Possession (%)): Currently ranked 320 of 365 in D1. Trending down strongly 🟢.
- Opp 3PM Per Poss (Opp 3 Point Makes Per Possession (%)): Currently ranked 195 of 365 in D1. Trending down strongly 🟢.
Princeton
Record: 3-10 | Elo: 1503.6 (ranked 179 of 365) | Efficiency Margin: -7.29 (ranked 219 of 365)
Offensive Trends:
- Shooting (Shooting): Currently ranked 277 of 365 in D1. Trending down strongly 🔴.
- Adj Off Eff (Adjusted Offensive Efficiency): Currently ranked 253 of 365 in D1. Trending down strongly 🔴.
Defensive Trends:
- Opp Turnovers (Opp Turnovers): Currently ranked 293 of 365 in D1. Trending down strongly 🟢.
- Opp FT Rate (Opp FTA/FGA (%)): Currently ranked 305 of 365 in D1. Trending up strongly 🔴.
Yale
Record: 11-1 | Elo: 1678.5 (ranked 19 of 365) | Efficiency Margin: +17.38 (ranked 47 of 365)
Offensive Trends:
- Off Reb Pct (Offensive Rebounding): Currently ranked 68 of 365 in D1. Trending up strongly 🟢.
- FT Rate (FTA/FGA (%)): Currently ranked 81 of 365 in D1. Trending up strongly 🟢.
Defensive Trends:
- Opp Shooting (Opp Shooting): Currently ranked 271 of 365 in D1. Trending up strongly 🔴.
- Opp FGM Per Poss (Opp FG Makes Per Possession (%)): Currently ranked 261 of 365 in D1. Trending up strongly 🔴.

Figure 2: Offensive Four Factors comparison across Ivy teams. The radar chart shows each team’s shooting efficiency (eFG%), ball security (TOV%), offensive rebounding (OREB%), and free throw generation (FT Rate).

Figure 3: Defensive Four Factors comparison across Ivy teams. The radar chart shows each team’s opponent shooting defense (Opp eFG%), ball disruption (forcing TOV%), defensive rebounding (DREB%), and opponent free throw prevention (Opp FT Rate).

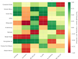
Figure 4: MACD trends heatmap showing which metrics are improving (green) or declining (red) for each team. Stronger colors indicate more pronounced trends.
Looking Ahead
As Ivy teams continue their season, the MACD trending indicators will help identify which teams are genuinely improving versus those riding unsustainable momentum. Check back next week for updated analysis.
Metrics Glossary
Four Factors (Dean Oliver’s framework for basketball success):
- eFG% (Effective Field Goal %): Field goal percentage adjusted for 3-pointers being worth more (FGM + 0.5×3PM) / FGA. Higher is better offensively, lower is better defensively.
- TOV% (Turnover Rate): Turnovers per 100 possessions. Lower is better offensively (taking care of the ball), higher is better defensively (forcing turnovers).
- OREB% / DREB% (Offensive/Defensive Rebound Rate): Percentage of available rebounds grabbed. Offensive rebounds create second-chance points; defensive rebounds end opponent possessions.
- FTR (Free Throw Rate): Free throws made per field goal attempt (FTM/FGA). Measures ability to get to the line AND convert. Higher is better offensively, lower is better defensively.
Other Metrics:
- Elo Rating: Chess-style rating system that updates based on game results and opponent strength. Higher Elo indicates stronger team.
- Efficiency Margin: Point differential per 100 possessions (Offensive Efficiency – Defensive Efficiency). Accounts for pace of play.
- MACD (Moving Average Convergence Divergence): Trend indicator comparing 12-game and 26-game exponential moving averages. Positive MACD = improving trend, Negative MACD = declining trend.
Analysis powered by HoopSci’s advanced metrics and MACD trending indicators.

