Ivy Update: Week 11

Ivy Update: Week 11

January 19, 2026 0 By Neill White

The Ivy enters Week 11 with teams showing diverse trending patterns. This analysis examines each team’s performance trends using MACD (Moving Average Convergence Divergence) indicators to identify not just where teams stand, but where they’re headed.


Figure 1: Efficiency margin trends for Ivy teams throughout the season. Teams trending upward show improving performance, while downward trends indicate struggles.

Conference Snapshot


Team-by-Team Analysis

Brown

Record: 7-9 | Elo: 1467.0 (ranked 234 of 365) | Efficiency Margin: -6.27 (ranked 212 of 365)

Offensive Trends:

  • Turnovers (Turnovers): Currently ranked 282 of 365 in D1. Trending down strongly 🟢.
  • Off Reb Pct (Offensive Rebounding): Currently ranked 244 of 365 in D1. Trending up strongly 🟢.

Defensive Trends:

  • Opp Turnovers (Opp Turnovers): Currently ranked 106 of 365 in D1. Trending up moderately 🔴.
  • Def Reb Pct (Defensive Rebounding): Currently ranked 218 of 365 in D1. Trending down moderately 🔴.

Columbia

Record: 12-5 | Elo: 1478.8 (ranked 221 of 365) | Efficiency Margin: +2.91 (ranked 142 of 365)

Offensive Trends:

  • Off Reb Pct (Offensive Rebounding): Currently ranked 43 of 365 in D1. Trending up strongly 🟢.
  • Balls Stolen Per Poss (Balls Stolen Per Possession): Currently ranked 215 of 365 in D1. Trending up strongly 🟢.

Defensive Trends:

  • Def Reb Pct (Defensive Rebounding): Currently ranked 34 of 365 in D1. Trending down strongly 🔴.
  • Opp FT Rate (Opp FTA/FGA (%)): Currently ranked 112 of 365 in D1. Trending up strongly 🔴.

Cornell

Record: 7-9 | Elo: 1527.8 (ranked 142 of 365) | Efficiency Margin: -3.59 (ranked 192 of 365)

Offensive Trends:

  • Shooting (Shooting): Currently ranked 18 of 365 in D1. Trending down strongly 🔴.
  • Off Reb Pct (Offensive Rebounding): Currently ranked 215 of 365 in D1. Trending up strongly 🟢.

Defensive Trends:

  • Opp Shooting (Opp Shooting): Currently ranked 359 of 365 in D1. Trending up strongly 🔴.
  • Opp Turnovers (Opp Turnovers): Currently ranked 325 of 365 in D1. Trending down strongly 🟢.

Dartmouth

Record: 8-8 | Elo: 1465.5 (ranked 235 of 365) | Efficiency Margin: -5.31 (ranked 206 of 365)

Offensive Trends:

  • Shooting (Shooting): Currently ranked 91 of 365 in D1. Trending up strongly 🟢.
  • Turnovers (Turnovers): Currently ranked 307 of 365 in D1. Trending down strongly 🟢.

Defensive Trends:

  • Def Reb Pct (Defensive Rebounding): Currently ranked 198 of 365 in D1. Trending down strongly 🔴.
  • Opp FT Rate (Opp FTA/FGA (%)): Currently ranked 43 of 365 in D1. Trending up strongly 🔴.

Harvard

Record: 9-8 | Elo: 1501.7 (ranked 187 of 365) | Efficiency Margin: +2.98 (ranked 140 of 365)

Offensive Trends:

  • Turnovers (Turnovers): Currently ranked 166 of 365 in D1. Trending down strongly 🟢.
  • Adj Off Eff (Adjusted Offensive Efficiency): Currently ranked 137 of 365 in D1. Trending up strongly 🟢.

Defensive Trends:

  • Opp FT Rate (Opp FTA/FGA (%)): Currently ranked 34 of 365 in D1. Trending up strongly 🔴.
  • Opp FTM Per Poss (Opp Free Throw Makes Per Possession (%)): Currently ranked 26 of 365 in D1. Trending up strongly 🔴.

Penn

Record: 9-7 | Elo: 1462.2 (ranked 240 of 365) | Efficiency Margin: +3.32 (ranked 134 of 365)

Offensive Trends:

  • Off Reb Pct (Offensive Rebounding): Currently ranked 118 of 365 in D1. Trending up strongly 🟢.
  • FT Rate (FTA/FGA (%)): Currently ranked 150 of 365 in D1. Trending up strongly 🟢.

Defensive Trends:

  • Opp FT Rate (Opp FTA/FGA (%)): Currently ranked 53 of 365 in D1. Trending up strongly 🔴.
  • Opp FGM Per Poss (Opp FG Makes Per Possession (%)): Currently ranked 299 of 365 in D1. Trending down strongly 🟢.

Princeton

Record: 6-12 | Elo: 1515.4 (ranked 159 of 365) | Efficiency Margin: -2.44 (ranked 184 of 365)

Offensive Trends:

  • FT Rate (FTA/FGA (%)): Currently ranked 207 of 365 in D1. Trending up strongly 🟢.
  • FTM Per Poss (Free Throw Makes Per Possession (%)): Currently ranked 201 of 365 in D1. Trending up strongly 🟢.

Defensive Trends:

  • Opp Shooting (Opp Shooting): Currently ranked 202 of 365 in D1. Trending down strongly 🟢.
  • Opp Turnovers (Opp Turnovers): Currently ranked 309 of 365 in D1. Trending down strongly 🟢.

Yale

Record: 13-3 | Elo: 1671.9 (ranked 24 of 365) | Efficiency Margin: +14.13 (ranked 67 of 365)

Offensive Trends:

  • Adj Off Eff (Adjusted Offensive Efficiency): Currently ranked 14 of 365 in D1. Trending up strongly 🟢.
  • 2Pt Rate (2 Point Attempts/FGA (%)): Currently ranked 100 of 365 in D1. Trending down strongly 🔴.

Defensive Trends:

  • Def Reb Pct (Defensive Rebounding): Currently ranked 191 of 365 in D1. Trending down strongly 🔴.
  • Opp FGA Per Poss (Opp FG Attempts Per Possession (%)): Currently ranked 307 of 365 in D1. Trending up strongly 🔴.


Figure 2: Offensive Four Factors comparison across Ivy teams. The radar chart shows each team’s shooting efficiency (eFG%), ball security (TOV%), offensive rebounding (OREB%), and free throw generation (FT Rate).


Figure 3: Defensive Four Factors comparison across Ivy teams. The radar chart shows each team’s opponent shooting defense (Opp eFG%), ball disruption (forcing TOV%), defensive rebounding (DREB%), and opponent free throw prevention (Opp FT Rate).


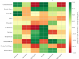
Figure 4: MACD trends heatmap showing which metrics are improving (green) or declining (red) for each team. Stronger colors indicate more pronounced trends.


Looking Ahead

As Ivy teams continue their season, the MACD trending indicators will help identify which teams are genuinely improving versus those riding unsustainable momentum. Check back next week for updated analysis.


Metrics Glossary

Four Factors (Dean Oliver’s framework for basketball success):

  • eFG% (Effective Field Goal %): Field goal percentage adjusted for 3-pointers being worth more (FGM + 0.5×3PM) / FGA. Higher is better offensively, lower is better defensively.
  • TOV% (Turnover Rate): Turnovers per 100 possessions. Lower is better offensively (taking care of the ball), higher is better defensively (forcing turnovers).
  • OREB% / DREB% (Offensive/Defensive Rebound Rate): Percentage of available rebounds grabbed. Offensive rebounds create second-chance points; defensive rebounds end opponent possessions.
  • FTR (Free Throw Rate): Free throws made per field goal attempt (FTM/FGA). Measures ability to get to the line AND convert. Higher is better offensively, lower is better defensively.

Other Metrics:

  • Elo Rating: Chess-style rating system that updates based on game results and opponent strength. Higher Elo indicates stronger team.
  • Efficiency Margin: Point differential per 100 possessions (Offensive Efficiency – Defensive Efficiency). Accounts for pace of play.
  • MACD (Moving Average Convergence Divergence): Trend indicator comparing 12-game and 26-game exponential moving averages. Positive MACD = improving trend, Negative MACD = declining trend.

Analysis powered by HoopSci’s advanced metrics and MACD trending indicators.