American Update: Week 12
January 26, 2026American Athletic Conference Mid-Season Report
As we enter Week 12 of the college basketball season, trends are emerging across the American Athletic Conference. By analyzing each team’s performance using Moving Average Convergence Divergence (MACD) indicators, we can identify not only where teams stand but also where they’re headed.
Offensive Trends
Memphis has seen a decline in its offensive rebounding percentage, dropping from 33.34% to its current season average of 32%. This trend indicates worsening performance in this area, which may impact the team’s scoring ability.
USF is trending upward strongly with its offensive rebounding percentage, rising to 34.9%. This improvement suggests that the team’s offense is becoming more efficient at grabbing rebounds.
Temple and Tulane are experiencing downturns in their shooting percentages, with Temple averaging 51% and Tulane at 49%.
Tulane’s offensive rebounding percentage has also declined significantly, dropping from 19.9% to its current season average.
Defensive Trends
East Carolina (ECU) is trending upward in its opponent shooting percentage, falling from 52% to 51.7%. This improvement suggests that ECU’s defense is becoming more effective at limiting opponents’ scoring opportunities.
USF is also improving on defense, with its opponent shooting percentage decreasing from 49.1% to 48.9%. The team’s ability to defend the paint and beyond has strengthened.
Metric Clarification
For clarification, Moving Average Convergence Divergence (MACD) indicators are a momentum-based trend following system that measures the relationship between two moving averages of a team’s performance metrics. By analyzing these indicators, we can identify trends in a team’s performance and gain a deeper understanding of their strengths and weaknesses.
By examining these trends, we can gain a deeper understanding of each team’s strengths and weaknesses as they navigate the remainder of the season. The American Athletic Conference is shaping up to be a competitive and dynamic landscape, with several teams poised for continued success or potential downturns.

Figure 1: Efficiency margin trends for American teams throughout the season. Teams trending upward show improving performance, while downward trends indicate struggles.
Conference Snapshot
- Week Dates: January 19 – January 25, 2026
- Trending Up (Efficiency): USF, Tulsa, Charlotte, Rice
- Trending Down (Efficiency): ECU, Memphis, Temple, Tulane, Wichita State
Team-by-Team Analysis
Charlotte
Record: 10-9 | Elo: 1474.1 (ranked 224 of 365) | Efficiency Margin: +2.27 (ranked 138 of 365)
Offensive Trends:
- Shooting (Shooting): Currently ranked 94 of 365 in D1. Trending up strongly 🟢.
- Turnovers (Turnovers): Currently ranked 221 of 365 in D1. Trending up strongly 🔴.
Defensive Trends:
- Opp Shooting (Opp Shooting): Currently ranked 191 of 365 in D1. Trending down strongly 🟢.
- Opp Turnovers (Opp Turnovers): Currently ranked 334 of 365 in D1. Trending down moderately 🔴.
ECU
Record: 6-14 | Elo: 1432.8 (ranked 271 of 365) | Efficiency Margin: -13.36 (ranked 277 of 365)
Offensive Trends:
- Shooting (Shooting): Currently ranked 352 of 365 in D1. Trending down moderately 🔴.
- Turnovers (Turnovers): Currently ranked 203 of 365 in D1. Trending down moderately 🟢.
Defensive Trends:
- Opp Shooting (Opp Shooting): Currently ranked 231 of 365 in D1. Trending down strongly 🟢.
- Opp Turnovers (Opp Turnovers): Currently ranked 174 of 365 in D1. Trending down strongly 🔴.
FAU
Record: 14-7 | Elo: 1606.3 (ranked 64 of 365) | Efficiency Margin: +9.85 (ranked 84 of 365)
Offensive Trends:
- Off Reb Pct (Offensive Rebounding): Currently ranked 109 of 365 in D1. Trending down strongly 🔴.
- Turnovers (Turnovers): Currently ranked 237 of 365 in D1. Trending down moderately 🟢.
Defensive Trends:
- Opp Shooting (Opp Shooting): Currently ranked 120 of 365 in D1. Trending down moderately 🟢.
- Opp Turnovers (Opp Turnovers): Currently ranked 182 of 365 in D1. Trending up moderately 🟢.
Memphis
Record: 9-10 | Elo: 1619.6 (ranked 58 of 365) | Efficiency Margin: +4.70 (ranked 118 of 365)
Offensive Trends:
- Off Reb Pct (Offensive Rebounding): Currently ranked 51 of 365 in D1. Trending down strongly 🔴.
- Shooting (Shooting): Currently ranked 272 of 365 in D1. Trending down moderately 🔴.
Defensive Trends:
- Def Reb Pct (Defensive Rebounding): Currently ranked 326 of 365 in D1. Trending down moderately 🔴.
- Opp Shooting (Opp Shooting): Currently ranked 51 of 365 in D1. Trending down weakly 🟢.
North Texas
Record: 12-8 | Elo: 1583.7 (ranked 81 of 365) | Efficiency Margin: +0.14 (ranked 158 of 365)
Offensive Trends:
- Shooting (Shooting): Currently ranked 327 of 365 in D1. Trending down strongly 🔴.
- Off Reb Pct (Offensive Rebounding): Currently ranked 60 of 365 in D1. Trending up moderately 🟢.
Defensive Trends:
- Opp Turnovers (Opp Turnovers): Currently ranked 8 of 365 in D1. Trending up strongly 🟢.
- Def Reb Pct (Defensive Rebounding): Currently ranked 236 of 365 in D1. Trending down strongly 🔴.
Rice
Record: 8-12 | Elo: 1407.4 (ranked 296 of 365) | Efficiency Margin: -9.76 (ranked 247 of 365)
Offensive Trends:
- Shooting (Shooting): Currently ranked 298 of 365 in D1. Trending up strongly 🟢.
- Turnovers (Turnovers): Currently ranked 219 of 365 in D1. Trending down weakly 🟢.
Defensive Trends:
- Def Reb Pct (Defensive Rebounding): Currently ranked 276 of 365 in D1. Trending down strongly 🔴.
- Opp Shooting (Opp Shooting): Currently ranked 232 of 365 in D1. Trending up moderately 🔴.
Temple
Record: 13-7 | Elo: 1540.4 (ranked 128 of 365) | Efficiency Margin: +6.14 (ranked 109 of 365)
Offensive Trends:
- Shooting (Shooting): Currently ranked 200 of 365 in D1. Trending down strongly 🔴.
- Turnovers (Turnovers): Currently ranked 18 of 365 in D1. Trending up moderately 🔴.
Defensive Trends:
- Opp Shooting (Opp Shooting): Currently ranked 118 of 365 in D1. Trending down strongly 🟢.
- Opp Turnovers (Opp Turnovers): Currently ranked 277 of 365 in D1. Trending up strongly 🟢.
Tulane
Record: 12-8 | Elo: 1528.1 (ranked 145 of 365) | Efficiency Margin: -5.64 (ranked 209 of 365)
Offensive Trends:
- Shooting (Shooting): Currently ranked 258 of 365 in D1. Trending down strongly 🔴.
- Off Reb Pct (Offensive Rebounding): Currently ranked 356 of 365 in D1. Trending down strongly 🔴.
Defensive Trends:
- Def Reb Pct (Defensive Rebounding): Currently ranked 321 of 365 in D1. Trending down strongly 🔴.
- Opp Turnovers (Opp Turnovers): Currently ranked 119 of 365 in D1. Trending up moderately 🟢.
Tulsa
Record: 17-3 | Elo: 1556.3 (ranked 110 of 365) | Efficiency Margin: +16.73 (ranked 47 of 365)
Offensive Trends:
- Shooting (Shooting): Currently ranked 15 of 365 in D1. Trending up strongly 🟢.
- Turnovers (Turnovers): Currently ranked 76 of 365 in D1. Trending down moderately 🟢.
Defensive Trends:
- Opp Shooting (Opp Shooting): Currently ranked 172 of 365 in D1. Trending up moderately 🔴.
- Opp Turnovers (Opp Turnovers): Currently ranked 219 of 365 in D1. Trending up weakly 🟢.
UAB
Record: 12-8 | Elo: 1588.3 (ranked 76 of 365) | Efficiency Margin: +2.31 (ranked 137 of 365)
Offensive Trends:
- Shooting (Shooting): Currently ranked 301 of 365 in D1. Trending down strongly 🔴.
- Off Reb Pct (Offensive Rebounding): Currently ranked 105 of 365 in D1. Trending down strongly 🔴.
Defensive Trends:
- Opp Shooting (Opp Shooting): Currently ranked 139 of 365 in D1. Trending up strongly 🔴.
- Opp Turnovers (Opp Turnovers): Currently ranked 197 of 365 in D1. Trending up moderately 🟢.
USF
Record: 13-7 | Elo: 1552.6 (ranked 111 of 365) | Efficiency Margin: +12.73 (ranked 72 of 365)
Offensive Trends:
- Off Reb Pct (Offensive Rebounding): Currently ranked 30 of 365 in D1. Trending up strongly 🟢.
- Shooting (Shooting): Currently ranked 186 of 365 in D1. Trending up weakly 🟢.
Defensive Trends:
- Opp Shooting (Opp Shooting): Currently ranked 87 of 365 in D1. Trending down strongly 🟢.
- Opp Turnovers (Opp Turnovers): Currently ranked 99 of 365 in D1. Trending down strongly 🔴.
UTSA
Record: 4-16 | Elo: 1346.8 (ranked 349 of 365) | Efficiency Margin: -25.93 (ranked 354 of 365)
Offensive Trends:
- Turnovers (Turnovers): Currently ranked 280 of 365 in D1. Trending up strongly 🔴.
- Shooting (Shooting): Currently ranked 363 of 365 in D1. Trending down moderately 🔴.
Defensive Trends:
- Opp Shooting (Opp Shooting): Currently ranked 263 of 365 in D1. Trending up strongly 🔴.
- Def Reb Pct (Defensive Rebounding): Currently ranked 352 of 365 in D1. Trending down strongly 🔴.
Wichita State
Record: 13-8 | Elo: 1551.6 (ranked 112 of 365) | Efficiency Margin: +12.92 (ranked 71 of 365)
Offensive Trends:
- Off Reb Pct (Offensive Rebounding): Currently ranked 6 of 365 in D1. Trending up moderately 🟢.
- Shooting (Shooting): Currently ranked 252 of 365 in D1. Trending down weakly 🔴.
Defensive Trends:
- Opp Shooting (Opp Shooting): Currently ranked 38 of 365 in D1. Trending down moderately 🟢.
- Opp Turnovers (Opp Turnovers): Currently ranked 238 of 365 in D1. Trending up weakly 🟢.

Figure 2: Offensive Four Factors comparison across American teams. The radar chart shows each team’s shooting efficiency (eFG%), ball security (TOV%), offensive rebounding (OREB%), and free throw generation (FT Rate).

Figure 3: Defensive Four Factors comparison across American teams. The radar chart shows each team’s opponent shooting defense (Opp eFG%), ball disruption (forcing TOV%), defensive rebounding (DREB%), and opponent free throw prevention (Opp FT Rate).

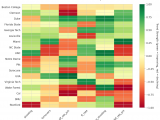
Figure 4: MACD trends heatmap showing which metrics are improving (green) or declining (red) for each team. Stronger colors indicate more pronounced trends.
Looking Ahead
Week 12 Analysis: American Teams Show Promise, but Some Trends Raise Concerns
In the ongoing college basketball season, identifying genuine improvement versus fleeting momentum is essential for coaches and analysts alike. Within the American conference, several trends stand out, painting a nuanced picture of each team’s performance.
On the offense side, USF boasts an improving Off Reb Pct trend, indicating they are becoming more efficient on the boards and potentially leading to increased scoring opportunities. Conversely, Memphis‘s Off Reb Pct is trending down strongly, signifying a decline in their ability to secure rebounds and feed their offense.
On shooting performance, two teams have struggled with worsening trends: Temple, with a decreasing shooting percentage from its season average, and Tulane. This dip could be a cause for concern, as it may impact the Owls’ and Green Wave’s scoring capability.
In terms of defense, one team has made notable improvements: ECU is trending down in Opp Shooting, indicating they are becoming more effective at limiting opponents’ field goal attempts. Additionally, ECU’s Opp Turnovers trend is also down strongly, suggesting a heightened level of defensive pressure and ball security.
However, another team’s performance raises concerns: USF, which is experiencing worsening trends on both Opp Shooting and Opp Turnovers. The MACD momentum indicator will continue to play a crucial role in identifying genuine improvement versus unsustainable momentum. This metric represents the average difference between each team’s current and historical trend lines, allowing for a more accurate assessment of their performance.
Next week’s analysis will provide an updated snapshot of each team’s performance based on these trends.
Metrics Glossary
Four Factors (Dean Oliver’s framework for basketball success):
- eFG% (Effective Field Goal %): Field goal percentage adjusted for 3-pointers being worth more (FGM + 0.5×3PM) / FGA. Higher is better offensively, lower is better defensively.
- TOV% (Turnover Rate): Turnovers per 100 possessions. Lower is better offensively (taking care of the ball), higher is better defensively (forcing turnovers).
- OREB% / DREB% (Offensive/Defensive Rebound Rate): Percentage of available rebounds grabbed. Offensive rebounds create second-chance points; defensive rebounds end opponent possessions.
- FTR (Free Throw Rate): Free throws made per field goal attempt (FTM/FGA). Measures ability to get to the line AND convert. Higher is better offensively, lower is better defensively.
Other Metrics:
- Elo Rating: Chess-style rating system that updates based on game results and opponent strength. Higher Elo indicates stronger team.
- Efficiency Margin: Point differential per 100 possessions (Offensive Efficiency – Defensive Efficiency). Accounts for pace of play.
- MACD (Moving Average Convergence Divergence): Trend indicator comparing 12-game and 26-game exponential moving averages. Positive MACD = improving trend, Negative MACD = declining trend.
Analysis powered by HoopSci’s advanced metrics and MACD trending indicators.

