Ivy Update: Week 15
February 16, 2026Strongest Offensive Trends
Top Offensive Trends in Ivy Conference
As we approach Week 15 of the Ivy League season, several teams are experiencing notable shifts in their offensive performance. Here are the top trends to watch:
- Columbia’s improvement in shooting has contributed significantly to its increased efficiency versus weaker competition.
- Brown is struggling with turnovers, indicating a problem in maintaining possession on offense and capitalizing on scoring opportunities against stronger competition.
- Dartmouth’s rebounding percentage has worsened, making it difficult for them to secure second-chance points and dominate the paint versus stronger competition.
- Yale’s rebounding struggles have continued, with its off reb pct worsening, hindering their ability to capitalize on rebounds versus stronger competition.
Strongest Defensive Trends
HoopSci’s Ivy League Defensive Report
Several teams are experiencing notable defensive trends in Week 15 of the Ivy Conference season. Here are the top defensive trends:
- Brown’s Opp Turnovers are improving versus stronger competition.
- Cornell’s Def Reb Pct is a problem versus weaker competition, as they struggle to contain opponents on the glass.
- Columbia’s Opp Turnovers are a bright spot for their defense, forcing opponents to relinquish possession in key situations.

Figure 1: Efficiency margin trends for Ivy teams throughout the season. Teams trending upward show improving performance, while downward trends indicate struggles.
Conference Snapshot
- Week Dates: February 09 – February 15, 2026
- Trending Up (Efficiency): Columbia, Dartmouth, Harvard, Yale
- Trending Down (Efficiency): Brown, Cornell, Penn, Princeton
Team-by-Team Analysis
Brown
Record: 8-15 | Elo: 1432.8 (ranked 270 of 365) | Efficiency Margin: -10.34 (ranked 256 of 365)
Offensive Trends:
- Off Reb Pct (Offensive Rebounding): Currently ranked 255 of 365 in D1. Trending down strongly 🔴.
- Turnovers (Turnovers): Currently ranked 303 of 365 in D1. Trending up moderately 🔴.
Defensive Trends:
- Opp Shooting (Opp Shooting): Currently ranked 160 of 365 in D1. Trending up strongly 🔴.
- Opp Turnovers (Opp Turnovers): Currently ranked 87 of 365 in D1. Trending up strongly 🟢.
Columbia
Record: 15-9 | Elo: 1477.4 (ranked 215 of 365) | Efficiency Margin: -2.05 (ranked 179 of 365)
Offensive Trends:
- Shooting (Shooting): Currently ranked 55 of 365 in D1. Trending up moderately 🟢.
- Off Reb Pct (Offensive Rebounding): Currently ranked 59 of 365 in D1. Trending down moderately 🔴.
Defensive Trends:
- Def Reb Pct (Defensive Rebounding): Currently ranked 105 of 365 in D1. Trending down strongly 🔴.
- Opp Shooting (Opp Shooting): Currently ranked 178 of 365 in D1. Trending up weakly 🔴.
Cornell
Record: 12-11 | Elo: 1554.7 (ranked 114 of 365) | Efficiency Margin: +3.56 (ranked 124 of 365)
Offensive Trends:
- Shooting (Shooting): Currently ranked 6 of 365 in D1. Trending down weakly 🔴.
- Turnovers (Turnovers): Currently ranked 172 of 365 in D1. Trending down weakly 🟢.
Defensive Trends:
- Opp Shooting (Opp Shooting): Currently ranked 345 of 365 in D1. Trending down moderately 🟢.
- Opp Turnovers (Opp Turnovers): Currently ranked 259 of 365 in D1. Trending up moderately 🟢.
Dartmouth
Record: 10-13 | Elo: 1439.1 (ranked 263 of 365) | Efficiency Margin: -8.32 (ranked 240 of 365)
Offensive Trends:
- Off Reb Pct (Offensive Rebounding): Currently ranked 338 of 365 in D1. Trending down strongly 🔴.
- Turnovers (Turnovers): Currently ranked 296 of 365 in D1. Trending up moderately 🔴.
Defensive Trends:
- Opp Shooting (Opp Shooting): Currently ranked 229 of 365 in D1. Trending up strongly 🔴.
- Opp Turnovers (Opp Turnovers): Currently ranked 346 of 365 in D1. Trending up moderately 🟢.
Harvard
Record: 14-10 | Elo: 1531.2 (ranked 140 of 365) | Efficiency Margin: +2.78 (ranked 131 of 365)
Offensive Trends:
- Off Reb Pct (Offensive Rebounding): Currently ranked 321 of 365 in D1. Trending down moderately 🔴.
- Shooting (Shooting): Currently ranked 69 of 365 in D1. Trending up weakly 🟢.
Defensive Trends:
- Opp Shooting (Opp Shooting): Currently ranked 191 of 365 in D1. Trending down strongly 🟢.
- Opp Turnovers (Opp Turnovers): Currently ranked 130 of 365 in D1. Trending down moderately 🔴.
Penn
Record: 13-10 | Elo: 1484.4 (ranked 205 of 365) | Efficiency Margin: +0.83 (ranked 151 of 365)
Offensive Trends:
- Shooting (Shooting): Currently ranked 212 of 365 in D1. Trending down moderately 🔴.
- Turnovers (Turnovers): Currently ranked 104 of 365 in D1. Trending down moderately 🟢.
Defensive Trends:
- Opp Turnovers (Opp Turnovers): Currently ranked 199 of 365 in D1. Trending up strongly 🟢.
- Def Reb Pct (Defensive Rebounding): Currently ranked 213 of 365 in D1. Trending down moderately 🔴.
Princeton
Record: 8-17 | Elo: 1484.8 (ranked 203 of 365) | Efficiency Margin: -5.28 (ranked 209 of 365)
Offensive Trends:
- Turnovers (Turnovers): Currently ranked 138 of 365 in D1. Trending down moderately 🟢.
- Off Reb Pct (Offensive Rebounding): Currently ranked 289 of 365 in D1. Trending up moderately 🟢.
Defensive Trends:
- Opp Shooting (Opp Shooting): Currently ranked 244 of 365 in D1. Trending up strongly 🔴.
- Opp Turnovers (Opp Turnovers): Currently ranked 335 of 365 in D1. Trending down strongly 🔴.
Yale
Record: 20-4 | Elo: 1692.7 (ranked 25 of 365) | Efficiency Margin: +11.64 (ranked 68 of 365)
Offensive Trends:
- Off Reb Pct (Offensive Rebounding): Currently ranked 95 of 365 in D1. Trending down strongly 🔴.
- Shooting (Shooting): Currently ranked 17 of 365 in D1. Trending up weakly 🟢.
Defensive Trends:
- Def Reb Pct (Defensive Rebounding): Currently ranked 115 of 365 in D1. Trending up strongly 🟢.
- Opp Shooting (Opp Shooting): Currently ranked 238 of 365 in D1. Trending up moderately 🔴.

Figure 2: Offensive Four Factors comparison across Ivy teams. The radar chart shows each team’s shooting efficiency (eFG%), ball security (TOV%), offensive rebounding (OREB%), and free throw generation (FT Rate).

Figure 3: Defensive Four Factors comparison across Ivy teams. The radar chart shows each team’s opponent shooting defense (Opp eFG%), ball disruption (forcing TOV%), defensive rebounding (DREB%), and opponent free throw prevention (Opp FT Rate).

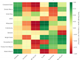
Figure 4: MACD trends heatmap showing which metrics are improving (green) or declining (red) for each team. Stronger colors indicate more pronounced trends.
Looking Ahead
Ivy League Week 15 Wrap-Up: Trends and Turning Points
As we near the end of the season, college basketball enthusiasts are eager to see which teams are genuinely improving and which ones might be riding unsustainable momentum. For the Ivy League, our analysis focuses on key trends that could make or break a team’s chances.
Brown Bears’ Rebounding Struggles Continue
On the offense, Brown’s rebounding percentage has declined significantly versus weaker competition, down from its season average of 0.262. This trend is strongly decreasing, suggesting a decline in performance in this area. Furthermore, their turnover rate has increased versus stronger competition, up from the season average of 0.175, marking another concerning trend.
However, on defense, Brown’s fortunes have improved. Opponents are shooting less frequently versus weaker teams, and Brown is forcing more turnovers versus weaker competition. Additionally, their defensive rebounding percentage has increased, rising above its season average of 0.744 versus weaker competition, signaling a significant improvement in this area.
Columbia Defensive Rebounding Lapses
On the defensive end, Columbia’s rebounding percentage has trended down from its season average of 0.735 versus stronger competition. This decline indicates a weakening performance in this area, allowing opponents more opportunities on the boards.
Dartmouth Struggles with Rebounds
Similarly, Dartmouth’s offense has suffered from decreased rebounding percentages versus weaker teams, down to 0.225. This trend is strongly decreasing, indicating a problem in this critical area. The team’s inability to secure rebounds against tougher opponents is a concern for their overall performance.
Yale Struggles with Rebounding
Yale’s offense has also struggled with rebounding percentages versus weaker competition, down to 0.314. Both teams’ trends suggest worsening performances on the boards.
While our analysis highlights key trends, it’s essential to remember that momentum indicators can be fleeting. Next week, we’ll revisit these metrics and examine which teams are genuinely improving or declining in their performances.
Metrics Glossary
Four Factors (Dean Oliver’s framework for basketball success):
- eFG% (Effective Field Goal %): Field goal percentage adjusted for 3-pointers being worth more (FGM + 0.5×3PM) / FGA. Higher is better offensively, lower is better defensively.
- TOV% (Turnover Rate): Turnovers per 100 possessions. Lower is better offensively (taking care of the ball), higher is better defensively (forcing turnovers).
- OREB% / DREB% (Offensive/Defensive Rebound Rate): Percentage of available rebounds grabbed. Offensive rebounds create second-chance points; defensive rebounds end opponent possessions.
- FTR (Free Throw Rate): Free throws made per field goal attempt (FTM/FGA). Measures ability to get to the line AND convert. Higher is better offensively, lower is better defensively.
Other Metrics:
- Elo Rating: Chess-style rating system that updates based on game results and opponent strength. Higher Elo indicates stronger team.
- Efficiency Margin: Point differential per 100 possessions (Offensive Efficiency – Defensive Efficiency). Accounts for pace of play.
- MACD (Moving Average Convergence Divergence): Trend indicator comparing 12-game and 26-game exponential moving averages. Positive MACD = improving trend, Negative MACD = declining trend.
Analysis powered by HoopSci’s advanced metrics and MACD trending indicators.

