Big Sky Update: Week 16
February 24, 2026Strongest Offensive Trends
- Montana State, Off Reb Pct, Down, Trend Strength: -0.032 – Montana State’s inability to secure offensive rebounds, which stands at 72.1% this season, is a critical issue crippling their performance on both ends of the court.
- Montana, Off Reb Pct, Down, Trend Strength: -0.026 – Montana’s inability to capitalize on second-chance opportunities has emerged as a significant problem, stifling their offense and directly contributing to their current struggles.
- Idaho State, Off Reb Pct, Down, Trend Strength: -0.022 – Idaho State struggles to secure rebounds after missed shots, contributing to their offensive inefficiencies and difficulties in maintaining possession of the ball.
- E Washington, Shooting, Up, Trend Strength: 0.019 – Eastern Washington’s shooting struggles have hindered their ability to achieve a consistent flow in their offense, significantly compromising their scoring potential.
- Idaho, Off Reb Pct, Down, Trend Strength: -0.018 – Idaho struggles with maintaining possession and creating scoring opportunities due to their inability to capitalize on opponents’ missed shots, contributing to their lackluster offense.
Strongest Defensive Trends
- E Washington, Opp Shooting, Down, Trend Strength: -0.029 – E Washington’s stifling defense continues to pose a significant challenge to opponents’ scoring efforts, making it increasingly difficult for them to convert shots into points.
- Idaho, Def Reb Pct, Up, Trend Strength: 0.022 – Idaho’s defensive rebounding has shown improvement, but it still struggles to secure key defensive boards when facing dominant big men in its own lineup.
- Idaho State, Def Reb Pct, Up, Trend Strength: 0.015 – Idaho State’s stifling defensive rebounding has proven to be a significant challenge for opponents, limiting their scoring opportunities as they struggle to capitalize on mistakes made by the Bengals’ defense.
- E Washington, Opp Turnovers, Down, Trend Strength: -0.014 – Allowing opponents to turn the ball over more frequently poses a significant problem for Eastern Washington, as their defensive strategy seems at odds with forcing turnovers.
- E Washington, Def Reb Pct, Up, Trend Strength: 0.014 – Eastern Washington’s team defense struggles to contain opponents’ rebounding, particularly on key defensive boards, which hinders their ability to effectively limit opponents’ scoring opportunities.

Figure 1: Efficiency margin trends for Big Sky teams throughout the season. Teams trending upward show improving performance, while downward trends indicate struggles.
Conference Snapshot
- Week Dates: February 16 – February 22, 2026
- Trending Up (Efficiency): E Washington, Idaho, Idaho State, N Arizona, Sacramento St
- Trending Down (Efficiency): Montana, Montana State, N Colorado, Portland State
Team-by-Team Analysis
E Washington
Record: 11-17 | Elo: 1454.0 (ranked 239 of 365) | Efficiency Margin: -11.13 (ranked 261 of 365)
Offensive Trends:
- Shooting (Shooting): Currently ranked 111 of 365 in D1. Trending up strongly 🟢.
- Turnovers (Turnovers): Currently ranked 274 of 365 in D1. Trending down moderately 🟢.
Defensive Trends:
- Opp Shooting (Opp Shooting): Currently ranked 302 of 365 in D1. Trending down strongly 🟢.
- Opp Turnovers (Opp Turnovers): Currently ranked 218 of 365 in D1. Trending down strongly 🔴.
Idaho
Record: 15-13 | Elo: 1446.3 (ranked 251 of 365) | Efficiency Margin: -5.98 (ranked 215 of 365)
Offensive Trends:
- Off Reb Pct (Offensive Rebounding): Currently ranked 261 of 365 in D1. Trending down strongly 🔴.
- Turnovers (Turnovers): Currently ranked 118 of 365 in D1. Trending up moderately 🔴.
Defensive Trends:
- Def Reb Pct (Defensive Rebounding): Currently ranked 9 of 365 in D1. Trending up strongly 🟢.
- Opp Shooting (Opp Shooting): Currently ranked 185 of 365 in D1. Trending down moderately 🟢.
Idaho State
Record: 12-17 | Elo: 1410.7 (ranked 295 of 365) | Efficiency Margin: -12.25 (ranked 270 of 365)
Offensive Trends:
- Off Reb Pct (Offensive Rebounding): Currently ranked 89 of 365 in D1. Trending down strongly 🔴.
- Shooting (Shooting): Currently ranked 127 of 365 in D1. Trending up weakly 🟢.
Defensive Trends:
- Def Reb Pct (Defensive Rebounding): Currently ranked 142 of 365 in D1. Trending up strongly 🟢.
- Opp Shooting (Opp Shooting): Currently ranked 323 of 365 in D1. Trending up moderately 🔴.
Montana
Record: 14-13 | Elo: 1515.2 (ranked 159 of 365) | Efficiency Margin: -8.16 (ranked 238 of 365)
Offensive Trends:
- Off Reb Pct (Offensive Rebounding): Currently ranked 355 of 365 in D1. Trending down strongly 🔴.
- Shooting (Shooting): Currently ranked 30 of 365 in D1. Trending down moderately 🔴.
Defensive Trends:
- Opp Shooting (Opp Shooting): Currently ranked 204 of 365 in D1. Trending up strongly 🔴.
- Opp Turnovers (Opp Turnovers): Currently ranked 243 of 365 in D1. Trending up weakly 🟢.
Montana State
Record: 15-13 | Elo: 1489.0 (ranked 204 of 365) | Efficiency Margin: -2.81 (ranked 191 of 365)
Offensive Trends:
- Off Reb Pct (Offensive Rebounding): Currently ranked 292 of 365 in D1. Trending down strongly 🔴.
- Shooting (Shooting): Currently ranked 137 of 365 in D1. Trending down moderately 🔴.
Defensive Trends:
- Opp Shooting (Opp Shooting): Currently ranked 195 of 365 in D1. Trending up strongly 🔴.
- Opp Turnovers (Opp Turnovers): Currently ranked 189 of 365 in D1. Trending up moderately 🟢.
N Arizona
Record: 10-18 | Elo: 1382.0 (ranked 318 of 365) | Efficiency Margin: -19.40 (ranked 325 of 365)
Offensive Trends:
- Turnovers (Turnovers): Currently ranked 131 of 365 in D1. Trending down strongly 🟢.
- Off Reb Pct (Offensive Rebounding): Currently ranked 342 of 365 in D1. Trending down strongly 🔴.
Defensive Trends:
- Opp Shooting (Opp Shooting): Currently ranked 348 of 365 in D1. Trending up moderately 🔴.
- Opp Turnovers (Opp Turnovers): Currently ranked 148 of 365 in D1. Trending down weakly 🔴.
N Colorado
Record: 18-10 | Elo: 1552.6 (ranked 111 of 365) | Efficiency Margin: -5.13 (ranked 210 of 365)
Offensive Trends:
- Off Reb Pct (Offensive Rebounding): Currently ranked 296 of 365 in D1. Trending down strongly 🔴.
- Turnovers (Turnovers): Currently ranked 157 of 365 in D1. Trending down moderately 🟢.
Defensive Trends:
- Opp Shooting (Opp Shooting): Currently ranked 124 of 365 in D1. Trending down strongly 🟢.
- Opp Turnovers (Opp Turnovers): Currently ranked 364 of 365 in D1. Trending down strongly 🔴.
Portland State
Record: 18-8 | Elo: 1539.0 (ranked 134 of 365) | Efficiency Margin: -4.77 (ranked 206 of 365)
Offensive Trends:
- Shooting (Shooting): Currently ranked 192 of 365 in D1. Trending down strongly 🔴.
- Turnovers (Turnovers): Currently ranked 265 of 365 in D1. Trending down strongly 🟢.
Defensive Trends:
- Opp Turnovers (Opp Turnovers): Currently ranked 116 of 365 in D1. Trending down moderately 🔴.
- Def Reb Pct (Defensive Rebounding): Currently ranked 41 of 365 in D1. Trending up moderately 🟢.
Sacramento St
Record: 9-18 | Elo: 1320.2 (ranked 353 of 365) | Efficiency Margin: -16.04 (ranked 302 of 365)
Offensive Trends:
- Turnovers (Turnovers): Currently ranked 67 of 365 in D1. Trending down strongly 🟢.
- Off Reb Pct (Offensive Rebounding): Currently ranked 290 of 365 in D1. Trending down strongly 🔴.
Defensive Trends:
- Def Reb Pct (Defensive Rebounding): Currently ranked 315 of 365 in D1. Trending down strongly 🔴.
- Opp Turnovers (Opp Turnovers): Currently ranked 137 of 365 in D1. Trending up moderately 🟢.
Weber State
Record: 15-14 | Elo: 1448.8 (ranked 246 of 365) | Efficiency Margin: -8.56 (ranked 244 of 365)
Offensive Trends:
- Turnovers (Turnovers): Currently ranked 124 of 365 in D1. Trending down strongly 🟢.
- Shooting (Shooting): Currently ranked 164 of 365 in D1. Trending up weakly 🟢.
Defensive Trends:
- Def Reb Pct (Defensive Rebounding): Currently ranked 46 of 365 in D1. Trending up strongly 🟢.
- Opp Shooting (Opp Shooting): Currently ranked 317 of 365 in D1. Trending up moderately 🔴.

Figure 2: Offensive Four Factors comparison across Big Sky teams. The radar chart shows each team’s shooting efficiency (eFG%), ball security (TOV%), offensive rebounding (OREB%), and free throw generation (FT Rate).

Figure 3: Defensive Four Factors comparison across Big Sky teams. The radar chart shows each team’s opponent shooting defense (Opp eFG%), ball disruption (forcing TOV%), defensive rebounding (DREB%), and opponent free throw prevention (Opp FT Rate).

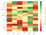
Figure 4: MACD trends heatmap showing which metrics are improving (green) or declining (red) for each team. Stronger colors indicate more pronounced trends.
Looking Ahead
Big Sky Conference Analysis: Key Trends in Week 16
The Big Sky conference has several teams showing promising signs of improvement on both ends of the court. Our analysis highlights key trends that will help identify which teams are genuinely improving versus those riding unsustainable momentum.
Offensive Trends
Eastern Washington’s shooting percentage is trending up, with a season average of 0.53. Idaho State and Montana are experiencing declines in Offensive Rebound Percentage, with Idaho State’s rate at 0.316 and Montana’s rate also at 0.316.
Defensive Trends
Eastern Washington’s defense is improving in two key areas: Defensive Rebound Percentage and Opponent Turnovers. Idaho’s defense is showing improvement, with a strong uptrend in Defensive Rebound Percentage.
Metrics Glossary
Four Factors (Dean Oliver’s framework for basketball success):
- eFG% (Effective Field Goal %): Field goal percentage adjusted for 3-pointers being worth more (FGM + 0.5×3PM) / FGA. Higher is better offensively, lower is better defensively.
- TOV% (Turnover Rate): Turnovers per 100 possessions. Lower is better offensively (taking care of the ball), higher is better defensively (forcing turnovers).
- OREB% / DREB% (Offensive/Defensive Rebound Rate): Percentage of available rebounds grabbed. Offensive rebounds create second-chance points; defensive rebounds end opponent possessions.
- FTR (Free Throw Rate): Free throws made per field goal attempt (FTM/FGA). Measures ability to get to the line AND convert. Higher is better offensively, lower is better defensively.
Other Metrics:
- Elo Rating: Chess-style rating system that updates based on game results and opponent strength. Higher Elo indicates stronger team.
- Efficiency Margin: Point differential per 100 possessions (Offensive Efficiency – Defensive Efficiency). Accounts for pace of play.
- MACD (Moving Average Convergence Divergence): Trend indicator comparing 12-game and 26-game exponential moving averages. Positive MACD = improving trend, Negative MACD = declining trend.
Analysis powered by HoopSci’s advanced metrics and MACD trending indicators.

