MEAC Update: Week 16
February 24, 2026Strongest Offensive Trends
- Delaware State, Off Reb Pct, Down, Trend Strength: -0.048 – The Delaware State Hornets are struggling to secure rebounds in conference play, which is hindering their ability to maintain possession and ultimately affecting their overall team performance.
- NC Central, Off Reb Pct, Down, Trend Strength: -0.027 – NC Central’s struggles with securing defensive rebounds have been a persistent issue throughout its season, likely contributing to the team’s overall performance problems.
- Howard, Shooting, Up, Trend Strength: 0.027 – Improvements in Howard’s shooting performance have been contributing to a more efficient offense, despite their recent struggles with turnovers and defensive lapses.
- Norfolk State, Shooting, Up, Trend Strength: 0.026 – Norfolk State’s struggle with shooting technique has led to a notable decrease in their overall efficiency, resulting from a decline in their field goal percentage and scoring average.
- MD-E Shore, Turnovers, Up, Trend Strength: 0.009 – The MD-E Shore team is struggling with an increasing number of turnovers, contributing to a decline in their field goal percentage and an average of 15.6 points scored per game.
Strongest Defensive Trends
- Coppin State, Opp Shooting, Down, Trend Strength: -0.034 – Coppin State’s defense has struggled to contain its opponents’ improved shooting, with their enhanced marksmanship rendering them vulnerable to scoring opportunities.
- Coppin State, Def Reb Pct, Up, Trend Strength: 0.026 – Coppin State’s significant decline in defensive rebounding has been a major problem, stifling its scoring opportunities and negatively impacting overall performance.
- Morgan State, Opp Shooting, Down, Trend Strength: -0.022 – Morgan State’s defense has struggled against improved opponents’ shooting percentages, which have led to a concerning increase in successful shots made by its opponents.
- Norfolk State, Opp Turnovers, Up, Trend Strength: 0.016 – Norfolk State’s defensive strategy, which has resulted in an average of 15 turnovers per game this season, is paying off as their teams are applying significant defensive pressure on opposing players, limiting them to just 12.3 opponent field goal attempts per contest and forcing them to commit a growing number of errors under intense scrutiny.
- Howard, Opp Shooting, Down, Trend Strength: -0.015 – Howard’s defense has struggled to contain opponents’ shooting, raising questions about its ability to consistently improve.

Figure 1: Efficiency margin trends for MEAC teams throughout the season. Teams trending upward show improving performance, while downward trends indicate struggles.
Conference Snapshot
- Week Dates: February 16 – February 22, 2026
- Trending Up (Efficiency): Coppin State, Howard, Morgan State, Norfolk State, NC Central
- Trending Down (Efficiency): Delaware State, MD-E Shore
Team-by-Team Analysis
Coppin State
Record: 7-21 | Elo: 1304.4 (ranked 360 of 365) | Efficiency Margin: -32.26 (ranked 361 of 365)
Offensive Trends:
- Shooting (Shooting): Currently ranked 350 of 365 in D1. Trending up moderately 🟢.
- Turnovers (Turnovers): Currently ranked 363 of 365 in D1. Trending up moderately 🔴.
Defensive Trends:
- Opp Shooting (Opp Shooting): Currently ranked 334 of 365 in D1. Trending down strongly 🟢.
- Def Reb Pct (Defensive Rebounding): Currently ranked 343 of 365 in D1. Trending up strongly 🟢.
Delaware State
Record: 6-20 | Elo: 1321.4 (ranked 352 of 365) | Efficiency Margin: -29.61 (ranked 359 of 365)
Offensive Trends:
- Off Reb Pct (Offensive Rebounding): Currently ranked 318 of 365 in D1. Trending down strongly 🔴.
- Shooting (Shooting): Currently ranked 365 of 365 in D1. Trending down moderately 🔴.
Defensive Trends:
- Opp Turnovers (Opp Turnovers): Currently ranked 18 of 365 in D1. Trending down moderately 🔴.
- Def Reb Pct (Defensive Rebounding): Currently ranked 292 of 365 in D1. Trending down moderately 🔴.
Howard
Record: 17-10 | Elo: 1473.9 (ranked 221 of 365) | Efficiency Margin: -1.08 (ranked 168 of 365)
Offensive Trends:
- Shooting (Shooting): Currently ranked 232 of 365 in D1. Trending up strongly 🟢.
- Turnovers (Turnovers): Currently ranked 324 of 365 in D1. Trending down moderately 🟢.
Defensive Trends:
- Opp Shooting (Opp Shooting): Currently ranked 50 of 365 in D1. Trending down strongly 🟢.
- Opp Turnovers (Opp Turnovers): Currently ranked 7 of 365 in D1. Trending up moderately 🟢.
MD-E Shore
Record: 8-20 | Elo: 1307.1 (ranked 359 of 365) | Efficiency Margin: -21.66 (ranked 331 of 365)
Offensive Trends:
- Turnovers (Turnovers): Currently ranked 364 of 365 in D1. Trending up strongly 🔴.
- Off Reb Pct (Offensive Rebounding): Currently ranked 208 of 365 in D1. Trending down moderately 🔴.
Defensive Trends:
- Opp Shooting (Opp Shooting): Currently ranked 151 of 365 in D1. Trending down weakly 🟢.
- Opp Turnovers (Opp Turnovers): Currently ranked 149 of 365 in D1. Trending up weakly 🟢.
Morgan State
Record: 11-14 | Elo: 1392.8 (ranked 311 of 365) | Efficiency Margin: -26.52 (ranked 354 of 365)
Offensive Trends:
- Shooting (Shooting): Currently ranked 348 of 365 in D1. Trending up moderately 🟢.
- Turnovers (Turnovers): Currently ranked 288 of 365 in D1. Trending down moderately 🟢.
Defensive Trends:
- Opp Shooting (Opp Shooting): Currently ranked 288 of 365 in D1. Trending down strongly 🟢.
- Def Reb Pct (Defensive Rebounding): Currently ranked 309 of 365 in D1. Trending up moderately 🟢.
NC Central
Record: 10-16 | Elo: 1378.0 (ranked 322 of 365) | Efficiency Margin: -24.71 (ranked 348 of 365)
Offensive Trends:
- Off Reb Pct (Offensive Rebounding): Currently ranked 245 of 365 in D1. Trending down strongly 🔴.
- Shooting (Shooting): Currently ranked 332 of 365 in D1. Trending up weakly 🟢.
Defensive Trends:
- Opp Shooting (Opp Shooting): Currently ranked 337 of 365 in D1. Trending up weakly 🔴.
- Opp Turnovers (Opp Turnovers): Currently ranked 65 of 365 in D1. Trending up weakly 🟢.
Norfolk State
Record: 14-14 | Elo: 1496.8 (ranked 194 of 365) | Efficiency Margin: -14.99 (ranked 295 of 365)
Offensive Trends:
- Shooting (Shooting): Currently ranked 234 of 365 in D1. Trending up strongly 🟢.
- Turnovers (Turnovers): Currently ranked 322 of 365 in D1. Trending up weakly 🔴.
Defensive Trends:
- Opp Turnovers (Opp Turnovers): Currently ranked 70 of 365 in D1. Trending up strongly 🟢.
- Opp Shooting (Opp Shooting): Currently ranked 150 of 365 in D1. Trending up weakly 🔴.
S Carolina St
Record: 6-19 | Elo: 1388.2 (ranked 314 of 365) | Efficiency Margin: -31.15 (ranked 360 of 365)
Offensive Trends:
- Off Reb Pct (Offensive Rebounding): Currently ranked 190 of 365 in D1. Trending down strongly 🔴.
- Shooting (Shooting): Currently ranked 338 of 365 in D1. Trending up weakly 🟢.
Defensive Trends:
- Opp Shooting (Opp Shooting): Currently ranked 326 of 365 in D1. Trending up strongly 🔴.
- Def Reb Pct (Defensive Rebounding): Currently ranked 360 of 365 in D1. Trending up strongly 🟢.

Figure 2: Offensive Four Factors comparison across MEAC teams. The radar chart shows each team’s shooting efficiency (eFG%), ball security (TOV%), offensive rebounding (OREB%), and free throw generation (FT Rate).

Figure 3: Defensive Four Factors comparison across MEAC teams. The radar chart shows each team’s opponent shooting defense (Opp eFG%), ball disruption (forcing TOV%), defensive rebounding (DREB%), and opponent free throw prevention (Opp FT Rate).

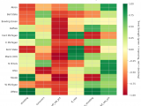
Figure 4: MACD trends heatmap showing which metrics are improving (green) or declining (red) for each team. Stronger colors indicate more pronounced trends.
Looking Ahead
Week 16 MEAC Analysis: Key Trends and Insights
As the Mid-Eastern Athletic Conference (MEAC) teams continue their season, data-driven analysis provides a clearer picture of which teams are genuinely improving versus those experiencing unsustainable momentum. This week’s review highlights key offensive trends to watch.
Key Offensive Trends to Watch
- Delaware State has struggled with securing rebounds, with an Off Reb Pct of 0.23800000000000002 indicating a potential issue in defensive board presence.
- Howard has seen significant improvement in shooting performance, Trend: Up, and Strength: Strongly this season.
- MD-E Shore’s notable increase in turnovers, Trend: Down, with an average of 17.5 Turnovers Per Game could hinder the Hawks’ offense, potentially leading to a decline in scoring opportunities.
- Norfolk State’s shooting has also improved, with a Shooting trend trending up.
Key Defensive Trends to Highlight
- Coppin State has been effective in limiting opponents’ shots, with an Opp Shooting trend trending down strongly this season.
- Howard’s defense has also improved in limiting opponents’ shots, with an Opp Shooting trend trending down strongly this season.
- Morgan State has been effective in containing their opponents’ offense, with an Opp Shooting trend trending down strongly this season.
- Coppin State’s Defensive Rebounding has shown improvement, with a Def Reb Pct of 0.667 indicating a notable increase in defensive board presence.
Metrics Glossary
Four Factors (Dean Oliver’s framework for basketball success):
- eFG% (Effective Field Goal %): Field goal percentage adjusted for 3-pointers being worth more (FGM + 0.5×3PM) / FGA. Higher is better offensively, lower is better defensively.
- TOV% (Turnover Rate): Turnovers per 100 possessions. Lower is better offensively (taking care of the ball), higher is better defensively (forcing turnovers).
- OREB% / DREB% (Offensive/Defensive Rebound Rate): Percentage of available rebounds grabbed. Offensive rebounds create second-chance points; defensive rebounds end opponent possessions.
- FTR (Free Throw Rate): Free throws made per field goal attempt (FTM/FGA). Measures ability to get to the line AND convert. Higher is better offensively, lower is better defensively.
Other Metrics:
- Elo Rating: Chess-style rating system that updates based on game results and opponent strength. Higher Elo indicates stronger team.
- Efficiency Margin: Point differential per 100 possessions (Offensive Efficiency – Defensive Efficiency). Accounts for pace of play.
- MACD (Moving Average Convergence Divergence): Trend indicator comparing 12-game and 26-game exponential moving averages. Positive MACD = improving trend, Negative MACD = declining trend.
Analysis powered by HoopSci’s advanced metrics and MACD trending indicators.

