Atlantic 10 Update: Week 17
March 2, 2026Strongest Offensive Trends
- Duquesne, Off Reb Pct, Down, Trend Strength: -0.028 – Duquesne’s off-rebound struggles are hindering their ability to secure second-chance opportunities, contributing to a decline in their overall performance.
- Davidson, Off Reb Pct, Up, Trend Strength: 0.016 – Davidson’s improved performance on defensive rebounding can be attributed to their more effective overall team strategy, which has led to a struggle in their opponents’ ability to secure rebounds.
- Duquesne, Shooting, Down, Trend Strength: -0.016 – Duquesne’s struggling offense is hindered by their subpar shooting, which has led to a lackluster output.
- Dayton, Shooting, Up, Trend Strength: 0.012 – Dayton’s marked improvements in shooting accuracy have led to a more cohesive team unit, as evident in their ability to capitalize on clutch shots and seal victories against top-ranked opponents.
- Duquesne, Turnovers, Down, Trend Strength: -0.007 – Duquesne’s struggles with turnovers have lessened, strengthening their ability to control possession and complete set plays in accordance with their standard game strategy.
Strongest Defensive Trends
- Davidson, Opp Shooting, Down, Trend Strength: -0.018 – Davidson’s defense has clamped down on opponents, forcing them into tougher shot selections and limiting their ability to generate offense.
- George Mason, Opp Shooting, Up, Trend Strength: 0.016 – George Mason’s defensive strategy, particularly its success in limiting three-point shooting within the Atlantic 10 conference lately, faces a significant struggle as Fordham continues to experience difficulties with shooting from beyond the arc.
- George Mason, Opp Turnovers, Down, Trend Strength: -0.016 – George Mason’s defense struggles to effectively disrupt opponents’ possession, allowing them to maintain control of the ball.
- G Washington, Opp Shooting, Up, Trend Strength: 0.012 – The G Washington team’s defensive performance has struggled to contain opponents, allowing them to dominate the paint and take advantage of scoring opportunities, resulting in a significant struggle with Opp Shooting as a direct consequence.
- Fordham, Opp Turnovers, Up, Trend Strength: 0.011 – Fordham’s defense creates turnovers that allow their offense to capitalize on the mistakes.

Figure 1: Efficiency margin trends for Atlantic 10 teams throughout the season. Teams trending upward show improving performance, while downward trends indicate struggles.
Conference Snapshot
- Week Dates: February 23 – March 01, 2026
- Trending Up (Efficiency): Davidson, Dayton, G Washington, Saint Joe’s, St Bonaventure
- Trending Down (Efficiency): Duquesne, Fordham, George Mason, La Salle, URI
Team-by-Team Analysis
Davidson
Record: 18-11 | Elo: 1533.8 (ranked 139 of 365) | Efficiency Margin: +7.44 (ranked 96 of 365)
Offensive Trends:
- Off Reb Pct (Offensive Rebounding): Currently ranked 208 of 365 in D1. Trending up strongly 🟢.
- Turnovers (Turnovers): Currently ranked 179 of 365 in D1. Trending up moderately 🔴.
Defensive Trends:
- Opp Shooting (Opp Shooting): Currently ranked 137 of 365 in D1. Trending down strongly 🟢.
- Opp Turnovers (Opp Turnovers): Currently ranked 130 of 365 in D1. Trending down moderately 🔴.
Dayton
Record: 20-9 | Elo: 1650.3 (ranked 44 of 365) | Efficiency Margin: +12.59 (ranked 66 of 365)
Offensive Trends:
- Shooting (Shooting): Currently ranked 133 of 365 in D1. Trending up strongly 🟢.
- Turnovers (Turnovers): Currently ranked 225 of 365 in D1. Trending up moderately 🔴.
Defensive Trends:
- Opp Shooting (Opp Shooting): Currently ranked 163 of 365 in D1. Trending down weakly 🟢.
- Opp Turnovers (Opp Turnovers): Currently ranked 5 of 365 in D1. Trending up weakly 🟢.
Duquesne
Record: 16-13 | Elo: 1520.7 (ranked 159 of 365) | Efficiency Margin: +3.75 (ranked 124 of 365)
Offensive Trends:
- Shooting (Shooting): Currently ranked 99 of 365 in D1. Trending down strongly 🔴.
- Turnovers (Turnovers): Currently ranked 274 of 365 in D1. Trending down strongly 🟢.
Defensive Trends:
- Opp Shooting (Opp Shooting): Currently ranked 208 of 365 in D1. Trending up moderately 🔴.
- Def Reb Pct (Defensive Rebounding): Currently ranked 173 of 365 in D1. Trending down moderately 🔴.
Fordham
Record: 15-13 | Elo: 1474.0 (ranked 216 of 365) | Efficiency Margin: +2.43 (ranked 133 of 365)
Offensive Trends:
- Off Reb Pct (Offensive Rebounding): Currently ranked 40 of 365 in D1. Trending down strongly 🔴.
- Shooting (Shooting): Currently ranked 300 of 365 in D1. Trending down moderately 🔴.
Defensive Trends:
- Opp Turnovers (Opp Turnovers): Currently ranked 146 of 365 in D1. Trending up strongly 🟢.
- Opp Shooting (Opp Shooting): Currently ranked 107 of 365 in D1. Trending up moderately 🔴.
G Washington
Record: 16-13 | Elo: 1523.5 (ranked 152 of 365) | Efficiency Margin: +11.57 (ranked 75 of 365)
Offensive Trends:
- Turnovers (Turnovers): Currently ranked 284 of 365 in D1. Trending up strongly 🔴.
- Shooting (Shooting): Currently ranked 30 of 365 in D1. Trending up moderately 🟢.
Defensive Trends:
- Opp Shooting (Opp Shooting): Currently ranked 234 of 365 in D1. Trending up strongly 🔴.
- Def Reb Pct (Defensive Rebounding): Currently ranked 115 of 365 in D1. Trending up strongly 🟢.
George Mason
Record: 22-7 | Elo: 1635.4 (ranked 52 of 365) | Efficiency Margin: +8.76 (ranked 93 of 365)
Offensive Trends:
- Off Reb Pct (Offensive Rebounding): Currently ranked 202 of 365 in D1. Trending down strongly 🔴.
- Shooting (Shooting): Currently ranked 126 of 365 in D1. Trending down moderately 🔴.
Defensive Trends:
- Opp Shooting (Opp Shooting): Currently ranked 92 of 365 in D1. Trending up strongly 🔴.
- Opp Turnovers (Opp Turnovers): Currently ranked 247 of 365 in D1. Trending down strongly 🔴.
La Salle
Record: 8-21 | Elo: 1402.2 (ranked 302 of 365) | Efficiency Margin: -9.50 (ranked 253 of 365)
Offensive Trends:
- Shooting (Shooting): Currently ranked 354 of 365 in D1. Trending down strongly 🔴.
- Off Reb Pct (Offensive Rebounding): Currently ranked 102 of 365 in D1. Trending down strongly 🔴.
Defensive Trends:
- Opp Turnovers (Opp Turnovers): Currently ranked 145 of 365 in D1. Trending up moderately 🟢.
- Def Reb Pct (Defensive Rebounding): Currently ranked 179 of 365 in D1. Trending up moderately 🟢.
Loyola-Chicago
Record: 7-22 | Elo: 1453.3 (ranked 243 of 365) | Efficiency Margin: -14.12 (ranked 289 of 365)
Offensive Trends:
- Off Reb Pct (Offensive Rebounding): Currently ranked 174 of 365 in D1. Trending down strongly 🔴.
- Shooting (Shooting): Currently ranked 272 of 365 in D1. Trending down weakly 🔴.
Defensive Trends:
- Def Reb Pct (Defensive Rebounding): Currently ranked 168 of 365 in D1. Trending up strongly 🟢.
- Opp Shooting (Opp Shooting): Currently ranked 220 of 365 in D1. Trending down weakly 🟢.
Richmond
Record: 15-14 | Elo: 1464.6 (ranked 229 of 365) | Efficiency Margin: +3.83 (ranked 123 of 365)
Offensive Trends:
- Turnovers (Turnovers): Currently ranked 33 of 365 in D1. Trending down strongly 🟢.
- Off Reb Pct (Offensive Rebounding): Currently ranked 333 of 365 in D1. Trending down strongly 🔴.
Defensive Trends:
- Opp Shooting (Opp Shooting): Currently ranked 193 of 365 in D1. Trending up moderately 🔴.
- Opp Turnovers (Opp Turnovers): Currently ranked 127 of 365 in D1. Trending up weakly 🟢.
Saint Joe’s
Record: 19-10 | Elo: 1598.4 (ranked 72 of 365) | Efficiency Margin: +5.83 (ranked 102 of 365)
Offensive Trends:
- Turnovers (Turnovers): Currently ranked 196 of 365 in D1. Trending down strongly 🟢.
- Off Reb Pct (Offensive Rebounding): Currently ranked 128 of 365 in D1. Trending down strongly 🔴.
Defensive Trends:
- Opp Shooting (Opp Shooting): Currently ranked 30 of 365 in D1. Trending down strongly 🟢.
- Def Reb Pct (Defensive Rebounding): Currently ranked 221 of 365 in D1. Trending down moderately 🔴.
Saint Louis
Record: 26-3 | Elo: 1670.2 (ranked 37 of 365) | Efficiency Margin: +24.59 (ranked 24 of 365)
Offensive Trends:
- Off Reb Pct (Offensive Rebounding): Currently ranked 113 of 365 in D1. Trending down strongly 🔴.
- Turnovers (Turnovers): Currently ranked 262 of 365 in D1. Trending up moderately 🔴.
Defensive Trends:
- Opp Shooting (Opp Shooting): Currently ranked 2 of 365 in D1. Trending up moderately 🔴.
- Opp Turnovers (Opp Turnovers): Currently ranked 224 of 365 in D1. Trending up moderately 🟢.
St Bonaventure
Record: 15-14 | Elo: 1519.1 (ranked 162 of 365) | Efficiency Margin: +2.30 (ranked 135 of 365)
Offensive Trends:
- Shooting (Shooting): Currently ranked 110 of 365 in D1. Trending up moderately 🟢.
- Turnovers (Turnovers): Currently ranked 195 of 365 in D1. Trending down weakly 🟢.
Defensive Trends:
- Opp Shooting (Opp Shooting): Currently ranked 306 of 365 in D1. Trending up strongly 🔴.
- Opp Turnovers (Opp Turnovers): Currently ranked 116 of 365 in D1. Trending down strongly 🔴.
URI
Record: 15-14 | Elo: 1493.2 (ranked 195 of 365) | Efficiency Margin: +4.24 (ranked 118 of 365)
Offensive Trends:
- Shooting (Shooting): Currently ranked 228 of 365 in D1. Trending down strongly 🔴.
- Off Reb Pct (Offensive Rebounding): Currently ranked 133 of 365 in D1. Trending down moderately 🔴.
Defensive Trends:
- Def Reb Pct (Defensive Rebounding): Currently ranked 214 of 365 in D1. Trending down moderately 🔴.
- Opp Shooting (Opp Shooting): Currently ranked 168 of 365 in D1. Trending down weakly 🟢.
VCU
Record: 22-7 | Elo: 1694.3 (ranked 23 of 365) | Efficiency Margin: +18.15 (ranked 40 of 365)
Offensive Trends:
- Shooting (Shooting): Currently ranked 65 of 365 in D1. Trending down moderately 🔴.
- Off Reb Pct (Offensive Rebounding): Currently ranked 49 of 365 in D1. Trending down moderately 🔴.
Defensive Trends:
- Opp Turnovers (Opp Turnovers): Currently ranked 167 of 365 in D1. Trending down moderately 🔴.
- Opp Shooting (Opp Shooting): Currently ranked 68 of 365 in D1. Trending down weakly 🟢.

Figure 2: Offensive Four Factors comparison across Atlantic 10 teams. The radar chart shows each team’s shooting efficiency (eFG%), ball security (TOV%), offensive rebounding (OREB%), and free throw generation (FT Rate).

Figure 3: Defensive Four Factors comparison across Atlantic 10 teams. The radar chart shows each team’s opponent shooting defense (Opp eFG%), ball disruption (forcing TOV%), defensive rebounding (DREB%), and opponent free throw prevention (Opp FT Rate).

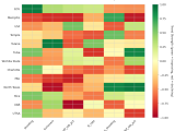
Figure 4: MACD trends heatmap showing which metrics are improving (green) or declining (red) for each team. Stronger colors indicate more pronounced trends.
Looking Ahead
Atlantic 10 Week 17 Analysis: Identifying Teams on the Rise and in Decline
As the Atlantic 10 season nears its conclusion, it’s essential to separate teams that are genuinely improving from those experiencing unsustainable momentum. By examining key offensive and defensive trends, we can gain a better understanding of which programs are poised for success in the future.
Offensive Trends to Highlight:
Davidson has demonstrated improvement in opponent shooting percentage, with an upward trend in this metric (Season Average: 0.51). This suggests that they’re becoming more effective at limiting opponents’ scoring opportunities, which can be a significant advantage in conference play. Dayton’s shooting efficiency is also noteworthy, as evident from its season average.
Defensive Trends to Highlight:
Fordham has been successful at forcing turnovers on defense, with an upward trend in opponent turnover rate (indicating they’re causing more turnovers). This improvement could lead to more scoring opportunities for Fordham and potentially hinder opponents’ ability to maintain possession.
Teams Showing Signs of Decline:
Duquesne’s shooting has taken a hit, with a strongly trending down trajectory from its season average. This decline in shooting efficiency could make it more challenging for Duquesne to score points consistently.
Metrics Glossary
Four Factors (Dean Oliver’s framework for basketball success):
- eFG% (Effective Field Goal %): Field goal percentage adjusted for 3-pointers being worth more (FGM + 0.5×3PM) / FGA. Higher is better offensively, lower is better defensively.
- TOV% (Turnover Rate): Turnovers per 100 possessions. Lower is better offensively (taking care of the ball), higher is better defensively (forcing turnovers).
- OREB% / DREB% (Offensive/Defensive Rebound Rate): Percentage of available rebounds grabbed. Offensive rebounds create second-chance points; defensive rebounds end opponent possessions.
- FTR (Free Throw Rate): Free throws made per field goal attempt (FTM/FGA). Measures ability to get to the line AND convert. Higher is better offensively, lower is better defensively.
Other Metrics:
- Elo Rating: Chess-style rating system that updates based on game results and opponent strength. Higher Elo indicates stronger team.
- Efficiency Margin: Point differential per 100 possessions (Offensive Efficiency – Defensive Efficiency). Accounts for pace of play.
- MACD (Moving Average Convergence Divergence): Trend indicator comparing 12-game and 26-game exponential moving averages. Positive MACD = improving trend, Negative MACD = declining trend.
Analysis powered by HoopSci’s advanced metrics and MACD trending indicators.

