Ivy Update: Week 17

Ivy Update: Week 17

March 2, 2026 0 By Neill White

Strongest Offensive Trends

  1. Dartmouth, Off Reb Pct, Down, Trend Strength: -0.034 – Dartmouth’s inability to capitalize on chances has become a persistent struggle, negatively impacting their overall performance.
  2. Brown, Off Reb Pct, Down, Trend Strength: -0.017 – Brown’s struggles on the glass have hindered its ability to secure possession, leading to a decline in scoring opportunities within the paint area due to its poor rebounding performance.
  3. Dartmouth, Shooting, Down, Trend Strength: -0.016 – Dartmouth’s inconsistent shooting has directly impacted their scoring effectiveness, as evidenced by their struggles to consistently convert opportunities into points throughout the season, marking a concerning trend as they navigate the second half of Ivy League play.
  4. Cornell, Shooting, Down, Trend Strength: -0.012 – Cornell’s shooting struggle has been a persistent issue, hindering their ability to score and contributing to their poor performance on the court.
  5. Harvard, Shooting, Down, Trend Strength: -0.011 – Harvard’s shooting struggles are a significant problem, hindering their ability to score effectively on offense, particularly due to a decline in three-point attempts and an increase in turnovers within their offense.

Strongest Defensive Trends

  1. Brown, Opp Shooting, Up, Trend Strength: 0.02 – Brown’s defense has struggled to contain opponents’ shooting percentage, which measures the proportion of shots taken by opposing teams that find the net.
  2. Dartmouth, Opp Shooting, Up, Trend Strength: 0.016 – Dartmouth’s defense is struggling to contain their opponents’ shooting, which has become a significant challenge for them.
  3. Harvard, Opp Shooting, Down, Trend Strength: -0.013 – Harvard has been struggling with opponent shooting efficiency, which has been a significant problem over their last five games, as they have struggled to contain opponents from shooting efficiently at a high rate.
  4. Columbia, Opp Turnovers, Up, Trend Strength: 0.011 – Columbia’s defense has been struggling to maintain possession, which stems from a consistent problem of giveaways that disrupt their momentum and force them to frequently regroup on the field.
  5. Brown, Opp Turnovers, Up, Trend Strength: 0.01 – Brown’s defensive strategy of forcing turnovers has stifled opposing teams’ ability to maintain possession, indicating a struggle for control over their game dynamics.


Figure 1: Efficiency margin trends for Ivy teams throughout the season. Teams trending upward show improving performance, while downward trends indicate struggles.

Conference Snapshot


Team-by-Team Analysis

Brown

Record: 9-17 | Elo: 1430.4 (ranked 269 of 365) | Efficiency Margin: -10.89 (ranked 262 of 365)

Offensive Trends:

  • Off Reb Pct (Offensive Rebounding): Currently ranked 248 of 365 in D1. Trending down strongly 🔴.
  • Shooting (Shooting): Currently ranked 295 of 365 in D1. Trending up moderately 🟢.

Defensive Trends:

  • Opp Shooting (Opp Shooting): Currently ranked 191 of 365 in D1. Trending up strongly 🔴.
  • Opp Turnovers (Opp Turnovers): Currently ranked 70 of 365 in D1. Trending up strongly 🟢.

Columbia

Record: 16-11 | Elo: 1463.4 (ranked 232 of 365) | Efficiency Margin: -2.52 (ranked 185 of 365)

Offensive Trends:

  • Shooting (Shooting): Currently ranked 71 of 365 in D1. Trending down moderately 🔴.
  • Turnovers (Turnovers): Currently ranked 328 of 365 in D1. Trending up weakly 🔴.

Defensive Trends:

  • Opp Turnovers (Opp Turnovers): Currently ranked 272 of 365 in D1. Trending up strongly 🟢.
  • Def Reb Pct (Defensive Rebounding): Currently ranked 93 of 365 in D1. Trending down moderately 🔴.

Cornell

Record: 14-12 | Elo: 1557.3 (ranked 108 of 365) | Efficiency Margin: +2.19 (ranked 136 of 365)

Offensive Trends:

  • Shooting (Shooting): Currently ranked 10 of 365 in D1. Trending down strongly 🔴.
  • Off Reb Pct (Offensive Rebounding): Currently ranked 190 of 365 in D1. Trending down moderately 🔴.

Defensive Trends:

  • Opp Shooting (Opp Shooting): Currently ranked 338 of 365 in D1. Trending down moderately 🟢.
  • Opp Turnovers (Opp Turnovers): Currently ranked 274 of 365 in D1. Trending down weakly 🔴.

Dartmouth

Record: 11-15 | Elo: 1439.7 (ranked 259 of 365) | Efficiency Margin: -8.85 (ranked 246 of 365)

Offensive Trends:

  • Shooting (Shooting): Currently ranked 151 of 365 in D1. Trending down strongly 🔴.
  • Off Reb Pct (Offensive Rebounding): Currently ranked 343 of 365 in D1. Trending down strongly 🔴.

Defensive Trends:

  • Opp Shooting (Opp Shooting): Currently ranked 215 of 365 in D1. Trending up strongly 🔴.
  • Opp Turnovers (Opp Turnovers): Currently ranked 342 of 365 in D1. Trending up moderately 🟢.

Harvard

Record: 16-11 | Elo: 1546.5 (ranked 121 of 365) | Efficiency Margin: +3.31 (ranked 126 of 365)

Offensive Trends:

  • Shooting (Shooting): Currently ranked 107 of 365 in D1. Trending down strongly 🔴.
  • Turnovers (Turnovers): Currently ranked 213 of 365 in D1. Trending up weakly 🔴.

Defensive Trends:

  • Opp Shooting (Opp Shooting): Currently ranked 156 of 365 in D1. Trending down strongly 🟢.
  • Def Reb Pct (Defensive Rebounding): Currently ranked 95 of 365 in D1. Trending up moderately 🟢.

Penn

Record: 15-11 | Elo: 1497.1 (ranked 190 of 365) | Efficiency Margin: +0.48 (ranked 158 of 365)

Offensive Trends:

  • Shooting (Shooting): Currently ranked 224 of 365 in D1. Trending down moderately 🔴.
  • Off Reb Pct (Offensive Rebounding): Currently ranked 148 of 365 in D1. Trending down moderately 🔴.

Defensive Trends:

  • Opp Turnovers (Opp Turnovers): Currently ranked 178 of 365 in D1. Trending up strongly 🟢.
  • Opp Shooting (Opp Shooting): Currently ranked 217 of 365 in D1. Trending down moderately 🟢.

Princeton

Record: 9-19 | Elo: 1472.0 (ranked 222 of 365) | Efficiency Margin: -4.65 (ranked 202 of 365)

Offensive Trends:

  • Shooting (Shooting): Currently ranked 235 of 365 in D1. Trending up strongly 🟢.
  • Turnovers (Turnovers): Currently ranked 189 of 365 in D1. Trending up moderately 🔴.

Defensive Trends:

  • Def Reb Pct (Defensive Rebounding): Currently ranked 65 of 365 in D1. Trending down strongly 🔴.
  • Opp Turnovers (Opp Turnovers): Currently ranked 330 of 365 in D1. Trending down moderately 🔴.

Yale

Record: 22-5 | Elo: 1690.9 (ranked 25 of 365) | Efficiency Margin: +10.59 (ranked 80 of 365)

Offensive Trends:

  • Turnovers (Turnovers): Currently ranked 34 of 365 in D1. Trending up strongly 🔴.
  • Off Reb Pct (Offensive Rebounding): Currently ranked 107 of 365 in D1. Trending down strongly 🔴.

Defensive Trends:

  • Opp Turnovers (Opp Turnovers): Currently ranked 207 of 365 in D1. Trending up moderately 🟢.
  • Opp Shooting (Opp Shooting): Currently ranked 220 of 365 in D1. Trending down weakly 🟢.


Figure 2: Offensive Four Factors comparison across Ivy teams. The radar chart shows each team’s shooting efficiency (eFG%), ball security (TOV%), offensive rebounding (OREB%), and free throw generation (FT Rate).


Figure 3: Defensive Four Factors comparison across Ivy teams. The radar chart shows each team’s opponent shooting defense (Opp eFG%), ball disruption (forcing TOV%), defensive rebounding (DREB%), and opponent free throw prevention (Opp FT Rate).


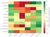
Figure 4: MACD trends heatmap showing which metrics are improving (green) or declining (red) for each team. Stronger colors indicate more pronounced trends.


Looking Ahead

Ivy League Teams Face Mixed Fortunes as Season Winds Down

As the Ivy League season nears its conclusion, several key trends have emerged that will shape the conference’s final standings. By examining team performances and corresponding metrics, we can identify which teams are genuinely improving versus those struggling with unsustainable momentum.

Dartmouth Grapples with Declining Shooting Percentage

Dartmouth has been facing difficulties in converting shots into points, with a trend of declining shooting percentage that worsens as the season progresses. Their current average is 0.52, indicating a significant problem in scoring efficiency. Furthermore, Dartmouth struggles to secure offensive rebounds, exacerbating their scoring issues.

Brown’s Defense Gains Momentum

In contrast, Brown has been improving its defensive prowess. A notable trend is an increase in opposition turnover rates, which suggests that the team is forcing more turnovers on opponents. This uptick in defensive pressure coincides with a decline in opposing teams’ shooting percentages against them, indicating a marked improvement in scoring efficiency.

Columbia’s Defensive Stride

Another Ivy League team making strides defensively is Columbia, which has seen its opposition turnover rate increase steadily throughout the season. While specific numbers are not provided for this trend, it appears to be a positive shift in favor of the team’s defensive capabilities.


Metrics Glossary

Four Factors (Dean Oliver’s framework for basketball success):

  • eFG% (Effective Field Goal %): Field goal percentage adjusted for 3-pointers being worth more (FGM + 0.5×3PM) / FGA. Higher is better offensively, lower is better defensively.
  • TOV% (Turnover Rate): Turnovers per 100 possessions. Lower is better offensively (taking care of the ball), higher is better defensively (forcing turnovers).
  • OREB% / DREB% (Offensive/Defensive Rebound Rate): Percentage of available rebounds grabbed. Offensive rebounds create second-chance points; defensive rebounds end opponent possessions.
  • FTR (Free Throw Rate): Free throws made per field goal attempt (FTM/FGA). Measures ability to get to the line AND convert. Higher is better offensively, lower is better defensively.

Other Metrics:

  • Elo Rating: Chess-style rating system that updates based on game results and opponent strength. Higher Elo indicates stronger team.
  • Efficiency Margin: Point differential per 100 possessions (Offensive Efficiency – Defensive Efficiency). Accounts for pace of play.
  • MACD (Moving Average Convergence Divergence): Trend indicator comparing 12-game and 26-game exponential moving averages. Positive MACD = improving trend, Negative MACD = declining trend.

Analysis powered by HoopSci’s advanced metrics and MACD trending indicators.