America East Update: Week 3
November 25, 2025The America East enters Week 3 with teams showing diverse trending patterns. This analysis examines each team’s performance trends using MACD (Moving Average Convergence Divergence) indicators to identify not just where teams stand, but where they’re headed.

Figure 1: Efficiency margin trends for America East teams throughout the season. Teams trending upward show improving performance, while downward trends indicate struggles.
Conference Snapshot
- Week Dates: November 17 – November 23, 2025
- Trending Up (Efficiency): Albany, Vermont
- Trending Down (Efficiency): Binghamton, Maine, UNH, UMass Lowell, UMBC
Team-by-Team Analysis
Albany
Record: 2-4 | Elo: 1439.0 (ranked 268 of 365) | Efficiency Margin: -7.42 (ranked 305 of 365)
Offensive Trends:
- Shooting (Shooting): Currently ranked 139 of 365 in D1. Trending up strongly.
- Turnovers (Turnovers): Currently ranked 326 of 365 in D1. Trending up strongly.
Defensive Trends:
- Opp Shooting (Opp Shooting): Currently ranked 21 of 365 in D1. Trending down strongly.
- Opp Turnovers (Opp Turnovers): Currently ranked 331 of 365 in D1. Trending down strongly.
Binghamton
Record: 1-6 | Elo: 1405.6 (ranked 309 of 365) | Efficiency Margin: -17.67 (ranked 348 of 365)
Offensive Trends:
- Shooting (Shooting): Currently ranked 352 of 365 in D1. Trending down strongly.
- Off Reb Pct (Offensive Rebounding): Currently ranked 165 of 365 in D1. Trending up strongly.
Defensive Trends:
- Def Reb Pct (Defensive Rebounding): Currently ranked 251 of 365 in D1. Trending down strongly.
- Opp FG Pct (%) (Opp FGM/FGA (%)): Currently ranked 242 of 365 in D1. Trending up strongly.
Bryant
Record: 1-5 | Elo: 1532.3 (ranked 138 of 365) | Efficiency Margin: -11.32 (ranked 329 of 365)
Offensive Trends:
- Shooting (Shooting): Currently ranked 362 of 365 in D1. Trending down strongly.
- Turnovers (Turnovers): Currently ranked 351 of 365 in D1. Trending up strongly.
Defensive Trends:
- Def Reb Pct (Defensive Rebounding): Currently ranked 332 of 365 in D1. Trending down strongly.
- Opp FGM Per Poss (Opp FG Makes Per Possession (%)): Currently ranked 342 of 365 in D1. Trending up strongly.
Maine
Record: 0-6 | Elo: 1456.8 (ranked 252 of 365) | Efficiency Margin: -5.84 (ranked 294 of 365)
Offensive Trends:
- Shooting (Shooting): Currently ranked 317 of 365 in D1. Trending down strongly.
- Turnovers (Turnovers): Currently ranked 355 of 365 in D1. Trending up strongly.
Defensive Trends:
- Def Reb Pct (Defensive Rebounding): Currently ranked 348 of 365 in D1. Trending down strongly.
- Opp FT Rate (Opp FTA/FGA (%)): Currently ranked 333 of 365 in D1. Trending up strongly.
NJIT
Record: 3-4 | Elo: 1363.3 (ranked 347 of 365) | Efficiency Margin: -7.86 (ranked 308 of 365)
Offensive Trends:
- Turnovers (Turnovers): Currently ranked 314 of 365 in D1. Trending up strongly.
- FT Rate (FTA/FGA (%)): Currently ranked 138 of 365 in D1. Trending up strongly.
Defensive Trends:
- Opp 3PM Per Poss (Opp 3 Point Makes Per Possession (%)): Currently ranked 238 of 365 in D1. Trending up strongly.
- Opp 3PA Per Poss (Opp 3 Point Attempts Per Possession (%)): Currently ranked 300 of 365 in D1. Trending up strongly.
UMBC
Record: 4-2 | Elo: 1428.8 (ranked 280 of 365) | Efficiency Margin: -4.97 (ranked 289 of 365)
Offensive Trends:
- Turnovers (Turnovers): Currently ranked 331 of 365 in D1. Trending up strongly.
- Off Reb Pct (Offensive Rebounding): Currently ranked 43 of 365 in D1. Trending up strongly.
Defensive Trends:
- Opp Shooting (Opp Shooting): Currently ranked 40 of 365 in D1. Trending down strongly.
- Opp Turnovers (Opp Turnovers): Currently ranked 335 of 365 in D1. Trending down strongly.
UMass Lowell
Record: 1-6 | Elo: 1456.0 (ranked 253 of 365) | Efficiency Margin: -18.35 (ranked 350 of 365)
Offensive Trends:
- Turnovers (Turnovers): Currently ranked 350 of 365 in D1. Trending up strongly.
- FT Rate (FTA/FGA (%)): Currently ranked 60 of 365 in D1. Trending up strongly.
Defensive Trends:
- Opp Shooting (Opp Shooting): Currently ranked 287 of 365 in D1. Trending up strongly.
- Def Reb Pct (Defensive Rebounding): Currently ranked 335 of 365 in D1. Trending down strongly.
UNH
Record: 2-4 | Elo: 1395.9 (ranked 319 of 365) | Efficiency Margin: -17.28 (ranked 347 of 365)
Offensive Trends:
- Off Reb Pct (Offensive Rebounding): Currently ranked 60 of 365 in D1. Trending up strongly.
- Adj Off Eff (Adjusted Offensive Efficiency): Currently ranked 357 of 365 in D1. Trending down strongly.
Defensive Trends:
- Opp Shooting (Opp Shooting): Currently ranked 46 of 365 in D1. Trending down strongly.
- Opp Turnovers (Opp Turnovers): Currently ranked 357 of 365 in D1. Trending down strongly.
Vermont
Record: 4-2 | Elo: 1584.7 (ranked 74 of 365) | Efficiency Margin: +11.92 (ranked 144 of 365)
Offensive Trends:
- Shooting (Shooting): Currently ranked 40 of 365 in D1. Trending up strongly.
- Off Reb Pct (Offensive Rebounding): Currently ranked 51 of 365 in D1. Trending up strongly.
Defensive Trends:
- Opp Turnovers (Opp Turnovers): Currently ranked 344 of 365 in D1. Trending down strongly.
- Def Reb Pct (Defensive Rebounding): Currently ranked 4 of 365 in D1. Trending up strongly.

Figure 2: Offensive Four Factors comparison across America East teams. The radar chart shows each team’s shooting efficiency (eFG%), ball security (TOV%), offensive rebounding (OREB%), and free throw generation (FT Rate).

Figure 3: Defensive Four Factors comparison across America East teams. The radar chart shows each team’s opponent shooting defense (Opp eFG%), ball disruption (forcing TOV%), defensive rebounding (DREB%), and opponent free throw prevention (Opp FT Rate).

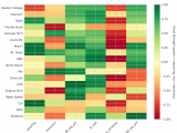
Figure 4: MACD trends heatmap showing which metrics are improving (green) or declining (red) for each team. Stronger colors indicate more pronounced trends.
Looking Ahead
As America East teams continue their season, the MACD trending indicators will help identify which teams are genuinely improving versus those riding unsustainable momentum. Check back next week for updated analysis.
Metrics Glossary
Four Factors (Dean Oliver’s framework for basketball success):
- eFG% (Effective Field Goal %): Field goal percentage adjusted for 3-pointers being worth more (FGM + 0.5×3PM) / FGA. Higher is better offensively, lower is better defensively.
- TOV% (Turnover Rate): Turnovers per 100 possessions. Lower is better offensively (taking care of the ball), higher is better defensively (forcing turnovers).
- OREB% / DREB% (Offensive/Defensive Rebound Rate): Percentage of available rebounds grabbed. Offensive rebounds create second-chance points; defensive rebounds end opponent possessions.
- FTR (Free Throw Rate): Free throws made per field goal attempt (FTM/FGA). Measures ability to get to the line AND convert. Higher is better offensively, lower is better defensively.
Other Metrics:
- Elo Rating: Chess-style rating system that updates based on game results and opponent strength. Higher Elo indicates stronger team.
- Efficiency Margin: Point differential per 100 possessions (Offensive Efficiency – Defensive Efficiency). Accounts for pace of play.
- MACD (Moving Average Convergence Divergence): Trend indicator comparing 12-game and 26-game exponential moving averages. Positive MACD = improving trend, Negative MACD = declining trend.
Analysis powered by HoopSci’s advanced metrics and MACD trending indicators.

