Mid-American Update: Week 3
November 25, 2025The Mid-American enters Week 3 with teams showing diverse trending patterns. This analysis examines each team’s performance trends using MACD (Moving Average Convergence Divergence) indicators to identify not just where teams stand, but where they’re headed.

Figure 1: Efficiency margin trends for Mid-American teams throughout the season. Teams trending upward show improving performance, while downward trends indicate struggles.
Conference Snapshot
- Week Dates: November 17 – November 23, 2025
- Trending Up (Efficiency): Akron, Bowling Green, Buffalo, Kent State, Miami (OH)
- Trending Down (Efficiency): Ball State, Cent Michigan, E Michigan, Ohio
Team-by-Team Analysis
Akron
Record: 5-2 | Elo: 1637.9 (ranked 36 of 365) | Efficiency Margin: +28.80 (ranked 46 of 365)
Offensive Trends:
- Shooting (Shooting): Currently ranked 18 of 365 in D1. Trending up strongly.
- Off Reb Pct (Offensive Rebounding): Currently ranked 92 of 365 in D1. Trending up strongly.
Defensive Trends:
- Def Reb Pct (Defensive Rebounding): Currently ranked 256 of 365 in D1. Trending down strongly.
- Opp FGA Per Poss (Opp FG Attempts Per Possession (%)): Currently ranked 133 of 365 in D1. Trending down strongly.
Ball State
Record: 2-3 | Elo: 1433.8 (ranked 273 of 365) | Efficiency Margin: -3.01 (ranked 272 of 365)
Offensive Trends:
- Shooting (Shooting): Currently ranked 271 of 365 in D1. Trending down strongly.
- FT Rate (FTA/FGA (%)): Currently ranked 159 of 365 in D1. Trending down strongly.
Defensive Trends:
- Opp Turnovers (Opp Turnovers): Currently ranked 52 of 365 in D1. Trending up strongly.
- Def Reb Pct (Defensive Rebounding): Currently ranked 279 of 365 in D1. Trending down strongly.
Bowling Green
Record: 4-2 | Elo: 1458.1 (ranked 249 of 365) | Efficiency Margin: +15.54 (ranked 117 of 365)
Offensive Trends:
- Turnovers (Turnovers): Currently ranked 223 of 365 in D1. Trending up strongly.
- FT Rate (FTA/FGA (%)): Currently ranked 91 of 365 in D1. Trending up strongly.
Defensive Trends:
- Opp Turnovers (Opp Turnovers): Currently ranked 19 of 365 in D1. Trending up strongly.
- Opp FT Rate (Opp FTA/FGA (%)): Currently ranked 209 of 365 in D1. Trending up strongly.
Buffalo
Record: 6-0 | Elo: 1422.1 (ranked 287 of 365) | Efficiency Margin: +14.32 (ranked 125 of 365)
Offensive Trends:
- Shooting (Shooting): Currently ranked 99 of 365 in D1. Trending up strongly.
- Turnovers (Turnovers): Currently ranked 76 of 365 in D1. Trending down strongly.
Defensive Trends:
- Opp Shooting (Opp Shooting): Currently ranked 189 of 365 in D1. Trending down strongly.
- Def Reb Pct (Defensive Rebounding): Currently ranked 90 of 365 in D1. Trending up strongly.
Cent Michigan
Record: 2-4 | Elo: 1442.6 (ranked 266 of 365) | Efficiency Margin: +2.15 (ranked 222 of 365)
Offensive Trends:
- FT Rate (FTA/FGA (%)): Currently ranked 348 of 365 in D1. Trending down strongly.
- FGA Per Poss (Field Goal Attempts Per Possession (%)): Currently ranked 36 of 365 in D1. Trending up strongly.
Defensive Trends:
- Def Reb Pct (Defensive Rebounding): Currently ranked 313 of 365 in D1. Trending down strongly.
- Opp FT Rate (Opp FTA/FGA (%)): Currently ranked 319 of 365 in D1. Trending up strongly.
E Michigan
Record: 3-3 | Elo: 1463.4 (ranked 235 of 365) | Efficiency Margin: +7.75 (ranked 177 of 365)
Offensive Trends:
- 2Pt Rate (2 Point Attempts/FGA (%)): Currently ranked 14 of 365 in D1. Trending up strongly.
- 2PA Per Poss (2 Point Attempts Per Possession (%)): Currently ranked 7 of 365 in D1. Trending up strongly.
Defensive Trends:
- Opp FGA Per Poss (Opp FG Attempts Per Possession (%)): Currently ranked 339 of 365 in D1. Trending up strongly.
- Opp Turnovers (Opp Turnovers): Currently ranked 119 of 365 in D1. Trending down moderately.
Kent State
Record: 6-1 | Elo: 1605.1 (ranked 62 of 365) | Efficiency Margin: +12.87 (ranked 134 of 365)
Offensive Trends:
- Shooting (Shooting): Currently ranked 53 of 365 in D1. Trending up strongly.
- Turnovers (Turnovers): Currently ranked 238 of 365 in D1. Trending up strongly.
Defensive Trends:
- Opp 2Pt Rate (Opp 2 Point Attempts/FGA (%)): Currently ranked 36 of 365 in D1. Trending down strongly.
- Opp 2PA Per Poss (Opp 2 Point Attempts Per Possession (%)): Currently ranked 166 of 365 in D1. Trending down strongly.
Miami (OH)
Record: 5-0 | Elo: 1566.2 (ranked 92 of 365) | Efficiency Margin: +15.98 (ranked 111 of 365)
Offensive Trends:
- Shooting (Shooting): Currently ranked 5 of 365 in D1. Trending up strongly.
- Off Reb Pct (Offensive Rebounding): Currently ranked 127 of 365 in D1. Trending up strongly.
Defensive Trends:
- Opp Shooting (Opp Shooting): Currently ranked 91 of 365 in D1. Trending down strongly.
- Opp Turnovers (Opp Turnovers): Currently ranked 177 of 365 in D1. Trending down strongly.
N Illinois
Record: 3-3 | Elo: 1364.2 (ranked 346 of 365) | Efficiency Margin: +6.50 (ranked 187 of 365)
Offensive Trends:
- Shooting (Shooting): Currently ranked 88 of 365 in D1. Trending up strongly.
- Off Reb Pct (Offensive Rebounding): Currently ranked 95 of 365 in D1. Trending up strongly.
Defensive Trends:
- Opp FT Rate (Opp FTA/FGA (%)): Currently ranked 196 of 365 in D1. Trending down strongly.
- Opp FGM Per Poss (Opp FG Makes Per Possession (%)): Currently ranked 215 of 365 in D1. Trending down strongly.
Ohio
Record: 1-5 | Elo: 1476.5 (ranked 214 of 365) | Efficiency Margin: -8.32 (ranked 313 of 365)
Offensive Trends:
- Shooting (Shooting): Currently ranked 274 of 365 in D1. Trending down strongly.
- Off Reb Pct (Offensive Rebounding): Currently ranked 330 of 365 in D1. Trending up strongly.
Defensive Trends:
- Opp Shooting (Opp Shooting): Currently ranked 357 of 365 in D1. Trending up strongly.
- Opp Turnovers (Opp Turnovers): Currently ranked 207 of 365 in D1. Trending down strongly.
Toledo
Record: 4-2 | Elo: 1546.2 (ranked 113 of 365) | Efficiency Margin: +12.17 (ranked 139 of 365)
Offensive Trends:
- Shooting (Shooting): Currently ranked 68 of 365 in D1. Trending up strongly.
- Turnovers (Turnovers): Currently ranked 225 of 365 in D1. Trending up strongly.
Defensive Trends:
- Opp Turnovers (Opp Turnovers): Currently ranked 24 of 365 in D1. Trending up strongly.
- Def Reb Pct (Defensive Rebounding): Currently ranked 338 of 365 in D1. Trending down strongly.
UMass
Record: 4-3 | Elo: 1503.2 (ranked 179 of 365) | Efficiency Margin: +5.78 (ranked 195 of 365)
Offensive Trends:
- Shooting (Shooting): Currently ranked 196 of 365 in D1. Trending up strongly.
- Adj Off Eff (Adjusted Offensive Efficiency): Currently ranked 267 of 365 in D1. Trending down strongly.
Defensive Trends:
- Def Reb Pct (Defensive Rebounding): Currently ranked 60 of 365 in D1. Trending up strongly.
- Opp FT Rate (Opp FTA/FGA (%)): Currently ranked 356 of 365 in D1. Trending up strongly.
W Michigan
Record: 3-4 | Elo: 1434.3 (ranked 271 of 365) | Efficiency Margin: +5.53 (ranked 198 of 365)
Offensive Trends:
- FTA Per Poss (Free Throw Attempts Per Possession (%)): Currently ranked 245 of 365 in D1. Trending down strongly.
- FT Pct (FTM/FTA (%)): Currently ranked 48 of 365 in D1. Trending up strongly.
Defensive Trends:
- Opp Shooting (Opp Shooting): Currently ranked 141 of 365 in D1. Trending down strongly.
- Opp FGM Per Poss (Opp FG Makes Per Possession (%)): Currently ranked 120 of 365 in D1. Trending down strongly.

Figure 2: Offensive Four Factors comparison across Mid-American teams. The radar chart shows each team’s shooting efficiency (eFG%), ball security (TOV%), offensive rebounding (OREB%), and free throw generation (FT Rate).

Figure 3: Defensive Four Factors comparison across Mid-American teams. The radar chart shows each team’s opponent shooting defense (Opp eFG%), ball disruption (forcing TOV%), defensive rebounding (DREB%), and opponent free throw prevention (Opp FT Rate).

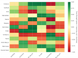
Figure 4: MACD trends heatmap showing which metrics are improving (green) or declining (red) for each team. Stronger colors indicate more pronounced trends.
Looking Ahead
As Mid-American teams continue their season, the MACD trending indicators will help identify which teams are genuinely improving versus those riding unsustainable momentum. Check back next week for updated analysis.
Metrics Glossary
Four Factors (Dean Oliver’s framework for basketball success):
- eFG% (Effective Field Goal %): Field goal percentage adjusted for 3-pointers being worth more (FGM + 0.5×3PM) / FGA. Higher is better offensively, lower is better defensively.
- TOV% (Turnover Rate): Turnovers per 100 possessions. Lower is better offensively (taking care of the ball), higher is better defensively (forcing turnovers).
- OREB% / DREB% (Offensive/Defensive Rebound Rate): Percentage of available rebounds grabbed. Offensive rebounds create second-chance points; defensive rebounds end opponent possessions.
- FTR (Free Throw Rate): Free throws made per field goal attempt (FTM/FGA). Measures ability to get to the line AND convert. Higher is better offensively, lower is better defensively.
Other Metrics:
- Elo Rating: Chess-style rating system that updates based on game results and opponent strength. Higher Elo indicates stronger team.
- Efficiency Margin: Point differential per 100 possessions (Offensive Efficiency – Defensive Efficiency). Accounts for pace of play.
- MACD (Moving Average Convergence Divergence): Trend indicator comparing 12-game and 26-game exponential moving averages. Positive MACD = improving trend, Negative MACD = declining trend.
Analysis powered by HoopSci’s advanced metrics and MACD trending indicators.

