Mountain West Update: Week 3
November 25, 2025The Mountain West enters Week 3 with teams showing diverse trending patterns. This analysis examines each team’s performance trends using MACD (Moving Average Convergence Divergence) indicators to identify not just where teams stand, but where they’re headed.

Figure 1: Efficiency margin trends for Mountain West teams throughout the season. Teams trending upward show improving performance, while downward trends indicate struggles.
Conference Snapshot
- Week Dates: November 17 – November 23, 2025
- Trending Up (Efficiency): Air Force, Colorado State, Fresno State, San Jose State, Utah State
- Trending Down (Efficiency): Boise State, Nevada, New Mexico, San Diego State, UNLV
Team-by-Team Analysis
Air Force
Record: 3-4 | Elo: 1354.8 (ranked 350 of 365) | Efficiency Margin: -2.26 (ranked 263 of 365)
Offensive Trends:
- Shooting (Shooting): Currently ranked 137 of 365 in D1. Trending up strongly.
- Off Reb Pct (Offensive Rebounding): Currently ranked 301 of 365 in D1. Trending up strongly.
Defensive Trends:
- Opp Shooting (Opp Shooting): Currently ranked 299 of 365 in D1. Trending down strongly.
- Opp FGM Per Poss (Opp FG Makes Per Possession (%)): Currently ranked 285 of 365 in D1. Trending down strongly.
Boise State
Record: 4-2 | Elo: 1638.2 (ranked 34 of 365) | Efficiency Margin: +22.84 (ranked 76 of 365)
Offensive Trends:
- Shooting (Shooting): Currently ranked 249 of 365 in D1. Trending down strongly.
- Adj Off Eff (Adjusted Offensive Efficiency): Currently ranked 122 of 365 in D1. Trending down strongly.
Defensive Trends:
- Opp FGM Per Poss (Opp FG Makes Per Possession (%)): Currently ranked 78 of 365 in D1. Trending down strongly.
- Opp FGA Per Poss (Opp FG Attempts Per Possession (%)): Currently ranked 93 of 365 in D1. Trending down strongly.
Colorado State
Record: 4-1 | Elo: 1651.9 (ranked 23 of 365) | Efficiency Margin: +29.46 (ranked 43 of 365)
Offensive Trends:
- Shooting (Shooting): Currently ranked 4 of 365 in D1. Trending up strongly.
- Off Reb Pct (Offensive Rebounding): Currently ranked 164 of 365 in D1. Trending up strongly.
Defensive Trends:
- Opp Shooting (Opp Shooting): Currently ranked 337 of 365 in D1. Trending up strongly.
- Opp 2Pt Rate (Opp 2 Point Attempts/FGA (%)): Currently ranked 9 of 365 in D1. Trending down strongly.
Fresno State
Record: 5-2 | Elo: 1408.7 (ranked 305 of 365) | Efficiency Margin: +10.35 (ranked 154 of 365)
Offensive Trends:
- Shooting (Shooting): Currently ranked 55 of 365 in D1. Trending up strongly.
- FT Rate (FTA/FGA (%)): Currently ranked 69 of 365 in D1. Trending up strongly.
Defensive Trends:
- Opp Shooting (Opp Shooting): Currently ranked 175 of 365 in D1. Trending down strongly.
- Opp Turnovers (Opp Turnovers): Currently ranked 49 of 365 in D1. Trending up strongly.
Grand Canyon
Record: 3-2 | Elo: 1622.9 (ranked 48 of 365) | Efficiency Margin: +15.83 (ranked 113 of 365)
Offensive Trends:
- Off Reb Pct (Offensive Rebounding): Currently ranked 131 of 365 in D1. Trending up strongly.
- FT Pct (FTM/FTA (%)): Currently ranked 13 of 365 in D1. Trending up strongly.
Defensive Trends:
- Opp Shooting (Opp Shooting): Currently ranked 311 of 365 in D1. Trending up strongly.
- Def Reb Pct (Defensive Rebounding): Currently ranked 56 of 365 in D1. Trending up strongly.
Nevada
Record: 4-2 | Elo: 1554.0 (ranked 107 of 365) | Efficiency Margin: +9.14 (ranked 167 of 365)
Offensive Trends:
- Shooting (Shooting): Currently ranked 300 of 365 in D1. Trending down strongly.
- FT Rate (FTA/FGA (%)): Currently ranked 11 of 365 in D1. Trending up strongly.
Defensive Trends:
- Opp 2Pt Pct (Opp 2 Point FGM/FGA (%)): Currently ranked 237 of 365 in D1. Trending up strongly.
- Opp Off Tempo (Opp Offensive Possessions Per Game): Currently ranked 266 of 365 in D1. Trending up strongly.
New Mexico
Record: 4-2 | Elo: 1643.3 (ranked 31 of 365) | Efficiency Margin: +16.21 (ranked 107 of 365)
Offensive Trends:
- Adj Off Eff (Adjusted Offensive Efficiency): Currently ranked 201 of 365 in D1. Trending down strongly.
- 2Pt Rate (2 Point Attempts/FGA (%)): Currently ranked 267 of 365 in D1. Trending down strongly.
Defensive Trends:
- Opp 2Pt Rate (Opp 2 Point Attempts/FGA (%)): Currently ranked 5 of 365 in D1. Trending down strongly.
- Opp 2PA Per Poss (Opp 2 Point Attempts Per Possession (%)): Currently ranked 80 of 365 in D1. Trending down strongly.
San Diego State
Record: 2-2 | Elo: 1615.5 (ranked 53 of 365) | Efficiency Margin: +10.85 (ranked 150 of 365)
Offensive Trends:
- Turnovers (Turnovers): Currently ranked 318 of 365 in D1. Trending up strongly.
- Adj Off Eff (Adjusted Offensive Efficiency): Currently ranked 228 of 365 in D1. Trending down strongly.
Defensive Trends:
- Opp Shooting (Opp Shooting): Currently ranked 289 of 365 in D1. Trending up strongly.
- Def Reb Pct (Defensive Rebounding): Currently ranked 321 of 365 in D1. Trending down strongly.
San Jose State
Record: 2-3 | Elo: 1453.8 (ranked 256 of 365) | Efficiency Margin: +5.79 (ranked 194 of 365)
Offensive Trends:
- Shooting (Shooting): Currently ranked 71 of 365 in D1. Trending up strongly.
- Off Reb Pct (Offensive Rebounding): Currently ranked 66 of 365 in D1. Trending up strongly.
Defensive Trends:
- Opp Shooting (Opp Shooting): Currently ranked 168 of 365 in D1. Trending down strongly.
- Def Reb Pct (Defensive Rebounding): Currently ranked 199 of 365 in D1. Trending up strongly.
UNLV
Record: 3-3 | Elo: 1556.9 (ranked 103 of 365) | Efficiency Margin: +17.30 (ranked 99 of 365)
Offensive Trends:
- Off Reb Pct (Offensive Rebounding): Currently ranked 231 of 365 in D1. Trending up strongly.
- FT Rate (FTA/FGA (%)): Currently ranked 12 of 365 in D1. Trending up strongly.
Defensive Trends:
- Opp Turnovers (Opp Turnovers): Currently ranked 48 of 365 in D1. Trending up strongly.
- Opp FT Rate (Opp FTA/FGA (%)): Currently ranked 355 of 365 in D1. Trending up strongly.
Utah State
Record: 6-0 | Elo: 1680.3 (ranked 14 of 365) | Efficiency Margin: +36.64 (ranked 21 of 365)
Offensive Trends:
- Shooting (Shooting): Currently ranked 8 of 365 in D1. Trending up strongly.
- Off Reb Pct (Offensive Rebounding): Currently ranked 87 of 365 in D1. Trending up strongly.
Defensive Trends:
- Opp Shooting (Opp Shooting): Currently ranked 85 of 365 in D1. Trending down strongly.
- Opp Turnovers (Opp Turnovers): Currently ranked 76 of 365 in D1. Trending up strongly.
Wyoming
Record: 5-1 | Elo: 1470.5 (ranked 227 of 365) | Efficiency Margin: +14.70 (ranked 122 of 365)
Offensive Trends:
- Off Reb Pct (Offensive Rebounding): Currently ranked 67 of 365 in D1. Trending up strongly.
- FT Rate (FTA/FGA (%)): Currently ranked 102 of 365 in D1. Trending up strongly.
Defensive Trends:
- Opp Shooting (Opp Shooting): Currently ranked 42 of 365 in D1. Trending down strongly.
- Opp Turnovers (Opp Turnovers): Currently ranked 120 of 365 in D1. Trending up strongly.

Figure 2: Offensive Four Factors comparison across Mountain West teams. The radar chart shows each team’s shooting efficiency (eFG%), ball security (TOV%), offensive rebounding (OREB%), and free throw generation (FT Rate).

Figure 3: Defensive Four Factors comparison across Mountain West teams. The radar chart shows each team’s opponent shooting defense (Opp eFG%), ball disruption (forcing TOV%), defensive rebounding (DREB%), and opponent free throw prevention (Opp FT Rate).

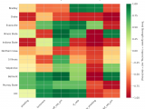
Figure 4: MACD trends heatmap showing which metrics are improving (green) or declining (red) for each team. Stronger colors indicate more pronounced trends.
Looking Ahead
As Mountain West teams continue their season, the MACD trending indicators will help identify which teams are genuinely improving versus those riding unsustainable momentum. Check back next week for updated analysis.
Metrics Glossary
Four Factors (Dean Oliver’s framework for basketball success):
- eFG% (Effective Field Goal %): Field goal percentage adjusted for 3-pointers being worth more (FGM + 0.5×3PM) / FGA. Higher is better offensively, lower is better defensively.
- TOV% (Turnover Rate): Turnovers per 100 possessions. Lower is better offensively (taking care of the ball), higher is better defensively (forcing turnovers).
- OREB% / DREB% (Offensive/Defensive Rebound Rate): Percentage of available rebounds grabbed. Offensive rebounds create second-chance points; defensive rebounds end opponent possessions.
- FTR (Free Throw Rate): Free throws made per field goal attempt (FTM/FGA). Measures ability to get to the line AND convert. Higher is better offensively, lower is better defensively.
Other Metrics:
- Elo Rating: Chess-style rating system that updates based on game results and opponent strength. Higher Elo indicates stronger team.
- Efficiency Margin: Point differential per 100 possessions (Offensive Efficiency – Defensive Efficiency). Accounts for pace of play.
- MACD (Moving Average Convergence Divergence): Trend indicator comparing 12-game and 26-game exponential moving averages. Positive MACD = improving trend, Negative MACD = declining trend.
Analysis powered by HoopSci’s advanced metrics and MACD trending indicators.

