Southland Update: Week 3

Southland Update: Week 3

November 25, 2025 0 By Neill White

The Southland enters Week 3 with teams showing diverse trending patterns. This analysis examines each team’s performance trends using MACD (Moving Average Convergence Divergence) indicators to identify not just where teams stand, but where they’re headed.


Figure 1: Efficiency margin trends for Southland teams throughout the season. Teams trending upward show improving performance, while downward trends indicate struggles.

Conference Snapshot


Team-by-Team Analysis

Houston Baptist

Record: 3-1 | Elo: 1373.6 (ranked 336 of 365) | Efficiency Margin: -1.86 (ranked 260 of 365)

Offensive Trends:

  • Off Reb Pct (Offensive Rebounding): Currently ranked 2 of 365 in D1. Trending up strongly.
  • 2Pt Pct (2 Point FGM/FGA (%)): Currently ranked 92 of 365 in D1. Trending up strongly.

Defensive Trends:

  • Opp Shooting (Opp Shooting): Currently ranked 2 of 365 in D1. Trending down strongly.
  • Opp Turnovers (Opp Turnovers): Currently ranked 353 of 365 in D1. Trending down strongly.

Incarnate Word

Record: 3-3 | Elo: 1420.4 (ranked 289 of 365) | Efficiency Margin: -8.29 (ranked 312 of 365)

Offensive Trends:

  • Turnovers (Turnovers): Currently ranked 20 of 365 in D1. Trending down strongly.
  • Off Reb Pct (Offensive Rebounding): Currently ranked 27 of 365 in D1. Trending up strongly.

Defensive Trends:

  • Opp Shooting (Opp Shooting): Currently ranked 73 of 365 in D1. Trending down strongly.
  • Opp Turnovers (Opp Turnovers): Currently ranked 358 of 365 in D1. Trending down strongly.

Lamar

Record: 3-2 | Elo: 1506.3 (ranked 172 of 365) | Efficiency Margin: +5.46 (ranked 200 of 365)

Offensive Trends:

  • Off Reb Pct (Offensive Rebounding): Currently ranked 35 of 365 in D1. Trending up strongly.
  • FGA Per Poss (Field Goal Attempts Per Possession (%)): Currently ranked 19 of 365 in D1. Trending up strongly.

Defensive Trends:

  • Def Reb Pct (Defensive Rebounding): Currently ranked 103 of 365 in D1. Trending up strongly.
  • Opp FT Rate (Opp FTA/FGA (%)): Currently ranked 320 of 365 in D1. Trending up strongly.

McNeese

Record: 5-1 | Elo: 1628.2 (ranked 44 of 365) | Efficiency Margin: +21.21 (ranked 83 of 365)

Offensive Trends:

  • 2PM Per Poss (2 Point Makes Per Possession (%)): Currently ranked 2 of 365 in D1. Trending up strongly.
  • 3PM Per Poss (3 Point Makes Per Possession (%)): Currently ranked 291 of 365 in D1. Trending down strongly.

Defensive Trends:

  • Opp Shooting (Opp Shooting): Currently ranked 7 of 365 in D1. Trending down strongly.
  • Def Reb Pct (Defensive Rebounding): Currently ranked 262 of 365 in D1. Trending down strongly.

New Orleans

Record: 2-4 | Elo: 1330.5 (ranked 357 of 365) | Efficiency Margin: +7.76 (ranked 176 of 365)

Offensive Trends:

  • Adj Off Eff (Adjusted Offensive Efficiency): Currently ranked 191 of 365 in D1. Trending up strongly.
  • 2Pt Rate (2 Point Attempts/FGA (%)): Currently ranked 213 of 365 in D1. Trending down strongly.

Defensive Trends:

  • Opp Turnovers (Opp Turnovers): Currently ranked 305 of 365 in D1. Trending down strongly.
  • Def Reb Pct (Defensive Rebounding): Currently ranked 222 of 365 in D1. Trending up strongly.

Nicholls

Record: 0-5 | Elo: 1482.8 (ranked 208 of 365) | Efficiency Margin: -1.51 (ranked 253 of 365)

Offensive Trends:

  • Shooting (Shooting): Currently ranked 350 of 365 in D1. Trending down strongly.
  • Turnovers (Turnovers): Currently ranked 272 of 365 in D1. Trending up strongly.

Defensive Trends:

  • Opp Shooting (Opp Shooting): Currently ranked 341 of 365 in D1. Trending up strongly.
  • Opp Turnovers (Opp Turnovers): Currently ranked 40 of 365 in D1. Trending up strongly.

Northwestern St

Record: 1-5 | Elo: 1434.2 (ranked 272 of 365) | Efficiency Margin: -4.71 (ranked 286 of 365)

Offensive Trends:

  • Turnovers (Turnovers): Currently ranked 181 of 365 in D1. Trending down strongly.
  • FT Rate (FTA/FGA (%)): Currently ranked 33 of 365 in D1. Trending up strongly.

Defensive Trends:

  • Def Reb Pct (Defensive Rebounding): Currently ranked 350 of 365 in D1. Trending down strongly.
  • Opp FT Rate (Opp FTA/FGA (%)): Currently ranked 349 of 365 in D1. Trending up strongly.

SE Louisiana

Record: 1-4 | Elo: 1451.9 (ranked 258 of 365) | Efficiency Margin: -3.64 (ranked 275 of 365)

Offensive Trends:

  • Shooting (Shooting): Currently ranked 359 of 365 in D1. Trending down strongly.
  • Turnovers (Turnovers): Currently ranked 339 of 365 in D1. Trending up strongly.

Defensive Trends:

  • Opp Shooting (Opp Shooting): Currently ranked 147 of 365 in D1. Trending down strongly.
  • Def Reb Pct (Defensive Rebounding): Currently ranked 58 of 365 in D1. Trending up strongly.

SF Austin

Record: 5-1 | Elo: 1490.7 (ranked 199 of 365) | Efficiency Margin: +17.92 (ranked 95 of 365)

Offensive Trends:

  • Turnovers (Turnovers): Currently ranked 40 of 365 in D1. Trending down strongly.
  • FT Rate (FTA/FGA (%)): Currently ranked 339 of 365 in D1. Trending down strongly.

Defensive Trends:

  • Def Reb Pct (Defensive Rebounding): Currently ranked 53 of 365 in D1. Trending up strongly.
  • Opp 2Pt Rate (Opp 2 Point Attempts/FGA (%)): Currently ranked 354 of 365 in D1. Trending up strongly.

Texas A&M-CC

Record: 2-4 | Elo: 1476.1 (ranked 215 of 365) | Efficiency Margin: +0.53 (ranked 231 of 365)

Offensive Trends:

  • Off Reb Pct (Offensive Rebounding): Currently ranked 50 of 365 in D1. Trending up strongly.
  • Adj Off Eff (Adjusted Offensive Efficiency): Currently ranked 320 of 365 in D1. Trending down strongly.

Defensive Trends:

  • Opp Shooting (Opp Shooting): Currently ranked 35 of 365 in D1. Trending down strongly.
  • Def Reb Pct (Defensive Rebounding): Currently ranked 50 of 365 in D1. Trending up strongly.

Texas A&M-Commerce

Record: 3-3 | Elo: 1352.6 (ranked 351 of 365) | Efficiency Margin: -10.18 (ranked 324 of 365)

Offensive Trends:

  • Off Reb Pct (Offensive Rebounding): Currently ranked 53 of 365 in D1. Trending up strongly.
  • Adj Off Eff (Adjusted Offensive Efficiency): Currently ranked 339 of 365 in D1. Trending down strongly.

Defensive Trends:

  • Opp Shooting (Opp Shooting): Currently ranked 55 of 365 in D1. Trending down strongly.
  • Def Reb Pct (Defensive Rebounding): Currently ranked 142 of 365 in D1. Trending up strongly.

UT Rio Grande

Record: 2-4 | Elo: 1406.4 (ranked 308 of 365) | Efficiency Margin: +12.01 (ranked 142 of 365)

Offensive Trends:

  • Turnovers (Turnovers): Currently ranked 81 of 365 in D1. Trending down strongly.
  • FGM Per Poss (Field Goal Makes Per Possession (%)): Currently ranked 53 of 365 in D1. Trending up strongly.

Defensive Trends:

  • Opp FGA Per Poss (Opp FG Attempts Per Possession (%)): Currently ranked 117 of 365 in D1. Trending down strongly.
  • Opp 2Pt Rate (Opp 2 Point Attempts/FGA (%)): Currently ranked 41 of 365 in D1. Trending down strongly.


Figure 2: Offensive Four Factors comparison across Southland teams. The radar chart shows each team’s shooting efficiency (eFG%), ball security (TOV%), offensive rebounding (OREB%), and free throw generation (FT Rate).


Figure 3: Defensive Four Factors comparison across Southland teams. The radar chart shows each team’s opponent shooting defense (Opp eFG%), ball disruption (forcing TOV%), defensive rebounding (DREB%), and opponent free throw prevention (Opp FT Rate).


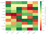
Figure 4: MACD trends heatmap showing which metrics are improving (green) or declining (red) for each team. Stronger colors indicate more pronounced trends.


Looking Ahead

As Southland teams continue their season, the MACD trending indicators will help identify which teams are genuinely improving versus those riding unsustainable momentum. Check back next week for updated analysis.


Metrics Glossary

Four Factors (Dean Oliver’s framework for basketball success):

  • eFG% (Effective Field Goal %): Field goal percentage adjusted for 3-pointers being worth more (FGM + 0.5×3PM) / FGA. Higher is better offensively, lower is better defensively.
  • TOV% (Turnover Rate): Turnovers per 100 possessions. Lower is better offensively (taking care of the ball), higher is better defensively (forcing turnovers).
  • OREB% / DREB% (Offensive/Defensive Rebound Rate): Percentage of available rebounds grabbed. Offensive rebounds create second-chance points; defensive rebounds end opponent possessions.
  • FTR (Free Throw Rate): Free throws made per field goal attempt (FTM/FGA). Measures ability to get to the line AND convert. Higher is better offensively, lower is better defensively.

Other Metrics:

  • Elo Rating: Chess-style rating system that updates based on game results and opponent strength. Higher Elo indicates stronger team.
  • Efficiency Margin: Point differential per 100 possessions (Offensive Efficiency – Defensive Efficiency). Accounts for pace of play.
  • MACD (Moving Average Convergence Divergence): Trend indicator comparing 12-game and 26-game exponential moving averages. Positive MACD = improving trend, Negative MACD = declining trend.

Analysis powered by HoopSci’s advanced metrics and MACD trending indicators.