Big Ten Update: Week 4
December 1, 2025The Big Ten enters Week 4 with teams showing diverse trending patterns. This analysis examines each team’s performance trends using MACD (Moving Average Convergence Divergence) indicators to identify not just where teams stand, but where they’re headed.

Figure 1: Efficiency margin trends for Big Ten teams throughout the season. Teams trending upward show improving performance, while downward trends indicate struggles.
Conference Snapshot
- Week Dates: November 24 – November 30, 2025
- Trending Up (Efficiency): Indiana, Iowa, Michigan, Michigan State, Minnesota
- Trending Down (Efficiency): Illinois, Maryland, Rutgers, Wisconsin, Oregon
Team-by-Team Analysis
Illinois
Record: 6-2 | Elo: 1640.4 (ranked 33 of 365) | Efficiency Margin: +21.54 (ranked 36 of 365)
Offensive Trends:
- Adj Off Eff (Adjusted Offensive Efficiency): Currently ranked 20 of 365 in D1. Trending up strongly 🟢.
- Fouls Drawn Per Poss (Fouls Drawn Per Possession): Currently ranked 43 of 365 in D1. Trending up strongly 🔴.
Defensive Trends:
- Opp 2Pt Rate (Opp 2 Point Attempts/FGA (%)): Currently ranked 180 of 365 in D1. Trending down strongly 🟢.
- Opp 2PM Per Poss (Opp 2 Point Makes Per Possession (%)): Currently ranked 161 of 365 in D1. Trending down strongly 🟢.
Indiana
Record: 7-0 | Elo: 1620.8 (ranked 49 of 365) | Efficiency Margin: +29.07 (ranked 15 of 365)
Offensive Trends:
- Shooting (Shooting): Currently ranked 26 of 365 in D1. Trending up strongly 🟢.
- Turnovers (Turnovers): Currently ranked 26 of 365 in D1. Trending down strongly 🟢.
Defensive Trends:
- Opp Shooting (Opp Shooting): Currently ranked 5 of 365 in D1. Trending down strongly 🟢.
- Opp Turnovers (Opp Turnovers): Currently ranked 128 of 365 in D1. Trending up strongly 🔴.
Iowa
Record: 7-0 | Elo: 1597.2 (ranked 68 of 365) | Efficiency Margin: +27.19 (ranked 23 of 365)
Offensive Trends:
- Off Reb Pct (Offensive Rebounding): Currently ranked 209 of 365 in D1. Trending up strongly 🟢.
- FT Rate (FTA/FGA (%)): Currently ranked 4 of 365 in D1. Trending up strongly 🟢.
Defensive Trends:
- Opp Shooting (Opp Shooting): Currently ranked 147 of 365 in D1. Trending down strongly 🟢.
- Opp Turnovers (Opp Turnovers): Currently ranked 5 of 365 in D1. Trending up strongly 🔴.
Maryland
Record: 5-3 | Elo: 1632.4 (ranked 41 of 365) | Efficiency Margin: -1.30 (ranked 174 of 365)
Offensive Trends:
- Shooting (Shooting): Currently ranked 302 of 365 in D1. Trending down strongly 🔴.
- Turnovers (Turnovers): Currently ranked 283 of 365 in D1. Trending up strongly 🔴.
Defensive Trends:
- Opp Shooting (Opp Shooting): Currently ranked 272 of 365 in D1. Trending up strongly 🔴.
- Def Reb Pct (Defensive Rebounding): Currently ranked 240 of 365 in D1. Trending down strongly 🔴.
Michigan
Record: 7-0 | Elo: 1685.8 (ranked 14 of 365) | Efficiency Margin: +43.63 (ranked 2 of 365)
Offensive Trends:
- Shooting (Shooting): Currently ranked 24 of 365 in D1. Trending up strongly 🟢.
- FGM Per Poss (Field Goal Makes Per Possession (%)): Currently ranked 31 of 365 in D1. Trending up strongly 🟢.
Defensive Trends:
- Opp Shooting (Opp Shooting): Currently ranked 4 of 365 in D1. Trending down strongly 🟢.
- Opp FGM Per Poss (Opp FG Makes Per Possession (%)): Currently ranked 16 of 365 in D1. Trending down strongly 🟢.
Michigan State
Record: 7-0 | Elo: 1721.2 (ranked 6 of 365) | Efficiency Margin: +30.44 (ranked 13 of 365)
Offensive Trends:
- Shooting (Shooting): Currently ranked 162 of 365 in D1. Trending up strongly 🟢.
- FT Rate (FTA/FGA (%)): Currently ranked 229 of 365 in D1. Trending down strongly 🔴.
Defensive Trends:
- Opp Shooting (Opp Shooting): Currently ranked 26 of 365 in D1. Trending down strongly 🟢.
- Opp Turnovers (Opp Turnovers): Currently ranked 106 of 365 in D1. Trending up strongly 🔴.
Minnesota
Record: 4-4 | Elo: 1497.5 (ranked 185 of 365) | Efficiency Margin: +4.26 (ranked 135 of 365)
Offensive Trends:
- Turnovers (Turnovers): Currently ranked 229 of 365 in D1. Trending up strongly 🔴.
- FT Rate (FTA/FGA (%)): Currently ranked 7 of 365 in D1. Trending up strongly 🟢.
Defensive Trends:
- Opp 2Pt Rate (Opp 2 Point Attempts/FGA (%)): Currently ranked 243 of 365 in D1. Trending down strongly 🟢.
- Opp 2PM Per Poss (Opp 2 Point Makes Per Possession (%)): Currently ranked 93 of 365 in D1. Trending down strongly 🟢.
Nebraska
Record: 8-0 | Elo: 1626.1 (ranked 45 of 365) | Efficiency Margin: +18.01 (ranked 49 of 365)
Offensive Trends:
- 2Pt Rate (2 Point Attempts/FGA (%)): Currently ranked 355 of 365 in D1. Trending down strongly 🔴.
- 2PA Per Poss (2 Point Attempts Per Possession (%)): Currently ranked 346 of 365 in D1. Trending down strongly 🔴.
Defensive Trends:
- Opp FT Rate (Opp FTA/FGA (%)): Currently ranked 4 of 365 in D1. Trending down strongly 🟢.
- Opp FG Pct (%) (Opp FGM/FGA (%)): Currently ranked 29 of 365 in D1. Trending down strongly 🟢.
Northwestern
Record: 5-2 | Elo: 1563.8 (ranked 98 of 365) | Efficiency Margin: +24.56 (ranked 28 of 365)
Offensive Trends:
- Shooting (Shooting): Currently ranked 44 of 365 in D1. Trending up strongly 🟢.
- FT Rate (FTA/FGA (%)): Currently ranked 80 of 365 in D1. Trending up strongly 🟢.
Defensive Trends:
- Opp Turnovers (Opp Turnovers): Currently ranked 196 of 365 in D1. Trending down strongly 🟢.
- Def Reb Pct (Defensive Rebounding): Currently ranked 299 of 365 in D1. Trending down strongly 🔴.
Ohio State
Record: 6-1 | Elo: 1580.2 (ranked 81 of 365) | Efficiency Margin: +28.72 (ranked 18 of 365)
Offensive Trends:
- Shooting (Shooting): Currently ranked 11 of 365 in D1. Trending up strongly 🟢.
- FG Pct (Field Goal Percentage (FGM/FGA)): Currently ranked 18 of 365 in D1. Trending up strongly 🟢.
Defensive Trends:
- Opp Shooting (Opp Shooting): Currently ranked 44 of 365 in D1. Trending down strongly 🟢.
- Def Reb Pct (Defensive Rebounding): Currently ranked 18 of 365 in D1. Trending up strongly 🟢.
Oregon
Record: 4-3 | Elo: 1627.8 (ranked 44 of 365) | Efficiency Margin: +1.11 (ranked 160 of 365)
Offensive Trends:
- Shooting (Shooting): Currently ranked 324 of 365 in D1. Trending down strongly 🔴.
- Off Reb Pct (Offensive Rebounding): Currently ranked 144 of 365 in D1. Trending up strongly 🟢.
Defensive Trends:
- Opp Turnovers (Opp Turnovers): Currently ranked 252 of 365 in D1. Trending down strongly 🟢.
- Opp FGM Per Poss (Opp FG Makes Per Possession (%)): Currently ranked 235 of 365 in D1. Trending up strongly 🔴.
Penn State
Record: 7-1 | Elo: 1564.9 (ranked 95 of 365) | Efficiency Margin: +11.01 (ranked 88 of 365)
Offensive Trends:
- Shooting (Shooting): Currently ranked 42 of 365 in D1. Trending up strongly 🟢.
- Turnovers (Turnovers): Currently ranked 7 of 365 in D1. Trending down strongly 🟢.
Defensive Trends:
- Opp FT Rate (Opp FTA/FGA (%)): Currently ranked 7 of 365 in D1. Trending down strongly 🟢.
- Opp 2Pt Rate (Opp 2 Point Attempts/FGA (%)): Currently ranked 68 of 365 in D1. Trending down strongly 🟢.
Purdue
Record: 7-0 | Elo: 1718.6 (ranked 8 of 365) | Efficiency Margin: +37.10 (ranked 5 of 365)
Offensive Trends:
- Shooting (Shooting): Currently ranked 19 of 365 in D1. Trending up strongly 🟢.
- Off Reb Pct (Offensive Rebounding): Currently ranked 74 of 365 in D1. Trending up strongly 🟢.
Defensive Trends:
- Opp Shooting (Opp Shooting): Currently ranked 67 of 365 in D1. Trending down strongly 🟢.
- Opp FT Rate (Opp FTA/FGA (%)): Currently ranked 5 of 365 in D1. Trending down strongly 🟢.
Rutgers
Record: 5-3 | Elo: 1529.5 (ranked 137 of 365) | Efficiency Margin: +6.64 (ranked 116 of 365)
Offensive Trends:
- FT Rate (FTA/FGA (%)): Currently ranked 38 of 365 in D1. Trending up strongly 🟢.
- Adj Off Eff (Adjusted Offensive Efficiency): Currently ranked 169 of 365 in D1. Trending down strongly 🔴.
Defensive Trends:
- Opp FT Rate (Opp FTA/FGA (%)): Currently ranked 17 of 365 in D1. Trending down strongly 🟢.
- Opp 2Pt Pct (Opp 2 Point FGM/FGA (%)): Currently ranked 27 of 365 in D1. Trending down strongly 🟢.
UCLA
Record: 5-2 | Elo: 1608.8 (ranked 58 of 365) | Efficiency Margin: +9.40 (ranked 99 of 365)
Offensive Trends:
- Adj Off Eff (Adjusted Offensive Efficiency): Currently ranked 198 of 365 in D1. Trending down strongly 🔴.
- FGA Per Poss (Field Goal Attempts Per Possession (%)): Currently ranked 201 of 365 in D1. Trending down strongly 🔴.
Defensive Trends:
- Opp Shooting (Opp Shooting): Currently ranked 60 of 365 in D1. Trending down strongly 🟢.
- Opp FGM Per Poss (Opp FG Makes Per Possession (%)): Currently ranked 43 of 365 in D1. Trending down strongly 🟢.
USC
Record: 7-0 | Elo: 1589.3 (ranked 76 of 365) | Efficiency Margin: +19.45 (ranked 43 of 365)
Offensive Trends:
- Off Reb Pct (Offensive Rebounding): Currently ranked 172 of 365 in D1. Trending up strongly 🟢.
- FT Rate (FTA/FGA (%)): Currently ranked 8 of 365 in D1. Trending up strongly 🟢.
Defensive Trends:
- Opp Assists per FGM (Opp Assists/FGM (%)): Currently ranked 82 of 365 in D1. Trending down strongly 🟢.
- Opp Shooting (Opp Shooting): Currently ranked 55 of 365 in D1. Trending down moderately 🟢.
Washington
Record: 5-2 | Elo: 1521.2 (ranked 153 of 365) | Efficiency Margin: +12.00 (ranked 85 of 365)
Offensive Trends:
- Shooting (Shooting): Currently ranked 250 of 365 in D1. Trending down strongly 🔴.
- Turnovers (Turnovers): Currently ranked 82 of 365 in D1. Trending down strongly 🟢.
Defensive Trends:
- Opp FGM Per Poss (Opp FG Makes Per Possession (%)): Currently ranked 94 of 365 in D1. Trending down strongly 🟢.
- Opp FG Pct (%) (Opp FGM/FGA (%)): Currently ranked 65 of 365 in D1. Trending down strongly 🟢.
Wisconsin
Record: 5-2 | Elo: 1641.9 (ranked 32 of 365) | Efficiency Margin: +14.81 (ranked 61 of 365)
Offensive Trends:
- Off Tempo (Offensive Possessions Per Game): Currently ranked 109 of 365 in D1. Trending up strongly 🟢.
- Steals Per Poss (Steals Per Possession): Currently ranked 90 of 365 in D1. Trending up strongly 🟢.
Defensive Trends:
- Opp FGA Per Poss (Opp FG Attempts Per Possession (%)): Currently ranked 88 of 365 in D1. Trending down strongly 🟢.
- Opp 3Pt Pct (Opp 3 Point FGM/FGA (%)): Currently ranked 320 of 365 in D1. Trending up strongly 🔴.

Figure 2: Offensive Four Factors comparison across Big Ten teams. The radar chart shows each team’s shooting efficiency (eFG%), ball security (TOV%), offensive rebounding (OREB%), and free throw generation (FT Rate).

Figure 3: Defensive Four Factors comparison across Big Ten teams. The radar chart shows each team’s opponent shooting defense (Opp eFG%), ball disruption (forcing TOV%), defensive rebounding (DREB%), and opponent free throw prevention (Opp FT Rate).

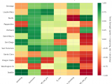
Figure 4: MACD trends heatmap showing which metrics are improving (green) or declining (red) for each team. Stronger colors indicate more pronounced trends.
Looking Ahead
As Big Ten teams continue their season, the MACD trending indicators will help identify which teams are genuinely improving versus those riding unsustainable momentum. Check back next week for updated analysis.
Metrics Glossary
Four Factors (Dean Oliver’s framework for basketball success):
- eFG% (Effective Field Goal %): Field goal percentage adjusted for 3-pointers being worth more (FGM + 0.5×3PM) / FGA. Higher is better offensively, lower is better defensively.
- TOV% (Turnover Rate): Turnovers per 100 possessions. Lower is better offensively (taking care of the ball), higher is better defensively (forcing turnovers).
- OREB% / DREB% (Offensive/Defensive Rebound Rate): Percentage of available rebounds grabbed. Offensive rebounds create second-chance points; defensive rebounds end opponent possessions.
- FTR (Free Throw Rate): Free throws made per field goal attempt (FTM/FGA). Measures ability to get to the line AND convert. Higher is better offensively, lower is better defensively.
Other Metrics:
- Elo Rating: Chess-style rating system that updates based on game results and opponent strength. Higher Elo indicates stronger team.
- Efficiency Margin: Point differential per 100 possessions (Offensive Efficiency – Defensive Efficiency). Accounts for pace of play.
- MACD (Moving Average Convergence Divergence): Trend indicator comparing 12-game and 26-game exponential moving averages. Positive MACD = improving trend, Negative MACD = declining trend.
Analysis powered by HoopSci’s advanced metrics and MACD trending indicators.

