WAC Update: Week 4
December 1, 2025The WAC enters Week 4 with teams showing diverse trending patterns. This analysis examines each team’s performance trends using MACD (Moving Average Convergence Divergence) indicators to identify not just where teams stand, but where they’re headed.

Figure 1: Efficiency margin trends for WAC teams throughout the season. Teams trending upward show improving performance, while downward trends indicate struggles.
Conference Snapshot
- Week Dates: November 24 – November 30, 2025
- Trending Up (Efficiency): Utah Valley, California Baptist, Utah Tech, Tarleton, Southern Utah
- Trending Down (Efficiency): Abil Christian
Team-by-Team Analysis
Abil Christian
Record: 5-3 | Elo: 1484.2 (ranked 207 of 365) | Efficiency Margin: -15.99 (ranked 288 of 365)
Offensive Trends:
- Off Reb Pct (Offensive Rebounding): Currently ranked 1 of 365 in D1. Trending up strongly 🟢.
- Adj Off Eff (Adjusted Offensive Efficiency): Currently ranked 352 of 365 in D1. Trending down strongly 🔴.
Defensive Trends:
- Def Reb Pct (Defensive Rebounding): Currently ranked 8 of 365 in D1. Trending up strongly 🟢.
- Opp FGA Per Poss (Opp FG Attempts Per Possession (%)): Currently ranked 1 of 365 in D1. Trending down strongly 🟢.
California Baptist
Record: 7-0 | Elo: 1556.3 (ranked 108 of 365) | Efficiency Margin: +9.79 (ranked 96 of 365)
Offensive Trends:
- FG Pct (Field Goal Percentage (FGM/FGA)): Currently ranked 174 of 365 in D1. Trending up strongly 🟢.
- Balls Blocked Per FGA (Balls Blocked Per Shot Attempt): Currently ranked 350 of 365 in D1. Trending up strongly 🟢.
Defensive Trends:
- Def Reb Pct (Defensive Rebounding): Currently ranked 1 of 365 in D1. Trending up strongly 🟢.
- Opp FGM Per Poss (Opp FG Makes Per Possession (%)): Currently ranked 30 of 365 in D1. Trending down strongly 🟢.
Southern Utah
Record: 3-6 | Elo: 1398.9 (ranked 314 of 365) | Efficiency Margin: -28.54 (ranked 353 of 365)
Offensive Trends:
- Adj Off Eff (Adjusted Offensive Efficiency): Currently ranked 336 of 365 in D1. Trending down strongly 🔴.
- 2Pt Pct (2 Point FGM/FGA (%)): Currently ranked 170 of 365 in D1. Trending up strongly 🟢.
Defensive Trends:
- Opp Shooting (Opp Shooting): Currently ranked 343 of 365 in D1. Trending up strongly 🔴.
- Opp FT Rate (Opp FTA/FGA (%)): Currently ranked 16 of 365 in D1. Trending down strongly 🟢.
Tarleton
Record: 5-3 | Elo: 1492.1 (ranked 197 of 365) | Efficiency Margin: -2.48 (ranked 185 of 365)
Offensive Trends:
- Off Reb Pct (Offensive Rebounding): Currently ranked 14 of 365 in D1. Trending up strongly 🟢.
- Adj Off Eff (Adjusted Offensive Efficiency): Currently ranked 107 of 365 in D1. Trending up strongly 🟢.
Defensive Trends:
- Opp 3PA Per Poss (Opp 3 Point Attempts Per Possession (%)): Currently ranked 172 of 365 in D1. Trending up strongly 🔴.
- Opp FT Pct (Opp FTM/FTA (%)): Currently ranked 179 of 365 in D1. Trending down strongly 🟢.
UT Arlington
Record: 6-2 | Elo: 1502.8 (ranked 182 of 365) | Efficiency Margin: +4.92 (ranked 127 of 365)
Offensive Trends:
- Adj Off Eff (Adjusted Offensive Efficiency): Currently ranked 231 of 365 in D1. Trending down strongly 🔴.
- 2Pt Rate (2 Point Attempts/FGA (%)): Currently ranked 26 of 365 in D1. Trending up strongly 🟢.
Defensive Trends:
- Opp 2Pt Rate (Opp 2 Point Attempts/FGA (%)): Currently ranked 342 of 365 in D1. Trending up strongly 🔴.
- Opp 2PM Per Poss (Opp 2 Point Makes Per Possession (%)): Currently ranked 229 of 365 in D1. Trending up strongly 🔴.
Utah Tech
Record: 5-5 | Elo: 1380.6 (ranked 327 of 365) | Efficiency Margin: -12.26 (ranked 262 of 365)
Offensive Trends:
- Turnovers (Turnovers): Currently ranked 130 of 365 in D1. Trending down strongly 🟢.
- Off Reb Pct (Offensive Rebounding): Currently ranked 96 of 365 in D1. Trending up strongly 🟢.
Defensive Trends:
- Opp Turnovers (Opp Turnovers): Currently ranked 153 of 365 in D1. Trending up strongly 🔴.
- Opp 2Pt Pct (Opp 2 Point FGM/FGA (%)): Currently ranked 262 of 365 in D1. Trending up strongly 🔴.
Utah Valley
Record: 5-2 | Elo: 1610.7 (ranked 56 of 365) | Efficiency Margin: +14.06 (ranked 66 of 365)
Offensive Trends:
- Shooting (Shooting): Currently ranked 29 of 365 in D1. Trending up strongly 🟢.
- Turnovers (Turnovers): Currently ranked 315 of 365 in D1. Trending up strongly 🔴.
Defensive Trends:
- Opp Turnovers (Opp Turnovers): Currently ranked 35 of 365 in D1. Trending up strongly 🔴.
- Opp FGM Per Poss (Opp FG Makes Per Possession (%)): Currently ranked 44 of 365 in D1. Trending down strongly 🟢.

Figure 2: Offensive Four Factors comparison across WAC teams. The radar chart shows each team’s shooting efficiency (eFG%), ball security (TOV%), offensive rebounding (OREB%), and free throw generation (FT Rate).

Figure 3: Defensive Four Factors comparison across WAC teams. The radar chart shows each team’s opponent shooting defense (Opp eFG%), ball disruption (forcing TOV%), defensive rebounding (DREB%), and opponent free throw prevention (Opp FT Rate).

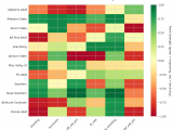
Figure 4: MACD trends heatmap showing which metrics are improving (green) or declining (red) for each team. Stronger colors indicate more pronounced trends.
Looking Ahead
As WAC teams continue their season, the MACD trending indicators will help identify which teams are genuinely improving versus those riding unsustainable momentum. Check back next week for updated analysis.
Metrics Glossary
Four Factors (Dean Oliver’s framework for basketball success):
- eFG% (Effective Field Goal %): Field goal percentage adjusted for 3-pointers being worth more (FGM + 0.5×3PM) / FGA. Higher is better offensively, lower is better defensively.
- TOV% (Turnover Rate): Turnovers per 100 possessions. Lower is better offensively (taking care of the ball), higher is better defensively (forcing turnovers).
- OREB% / DREB% (Offensive/Defensive Rebound Rate): Percentage of available rebounds grabbed. Offensive rebounds create second-chance points; defensive rebounds end opponent possessions.
- FTR (Free Throw Rate): Free throws made per field goal attempt (FTM/FGA). Measures ability to get to the line AND convert. Higher is better offensively, lower is better defensively.
Other Metrics:
- Elo Rating: Chess-style rating system that updates based on game results and opponent strength. Higher Elo indicates stronger team.
- Efficiency Margin: Point differential per 100 possessions (Offensive Efficiency – Defensive Efficiency). Accounts for pace of play.
- MACD (Moving Average Convergence Divergence): Trend indicator comparing 12-game and 26-game exponential moving averages. Positive MACD = improving trend, Negative MACD = declining trend.
Analysis powered by HoopSci’s advanced metrics and MACD trending indicators.

