Atlantic 10 Update: Week 5
December 8, 2025The Atlantic 10 enters Week 5 with teams showing diverse trending patterns. This analysis examines each team’s performance trends using MACD (Moving Average Convergence Divergence) indicators to identify not just where teams stand, but where they’re headed.

Figure 1: Efficiency margin trends for Atlantic 10 teams throughout the season. Teams trending upward show improving performance, while downward trends indicate struggles.
Conference Snapshot
- Week Dates: December 01 – December 07, 2025
- Trending Up (Efficiency): Davidson, Dayton, Duquesne, Fordham, George Mason
- Trending Down (Efficiency): Saint Joe’s, Loyola-Chicago
Team-by-Team Analysis
Davidson
Record: 7-2 | Elo: 1520.7 (ranked 157 of 365) | Efficiency Margin: +5.18 (ranked 123 of 365)
Offensive Trends:
- FT Rate (FTA/FGA (%)): Currently ranked 77 of 365 in D1. Trending up strongly 🟢.
- FTA Per Poss (Free Throw Attempts Per Possession (%)): Currently ranked 77 of 365 in D1. Trending up strongly 🟢.
Defensive Trends:
- Opp Turnovers (Opp Turnovers): Currently ranked 138 of 365 in D1. Trending up strongly 🔴.
- Def Reb Pct (Defensive Rebounding): Currently ranked 138 of 365 in D1. Trending down strongly 🔴.
Dayton
Record: 7-3 | Elo: 1627.3 (ranked 41 of 365) | Efficiency Margin: +14.20 (ranked 63 of 365)
Offensive Trends:
- Adj Off Eff (Adjusted Offensive Efficiency): Currently ranked 93 of 365 in D1. Trending down strongly 🔴.
- FGA Per Poss (Field Goal Attempts Per Possession (%)): Currently ranked 93 of 365 in D1. Trending down strongly 🔴.
Defensive Trends:
- Opp Shooting (Opp Shooting): Currently ranked 262 of 365 in D1. Trending up strongly 🔴.
- Opp Turnovers (Opp Turnovers): Currently ranked 4 of 365 in D1. Trending up strongly 🔴.
Duquesne
Record: 6-3 | Elo: 1506.7 (ranked 177 of 365) | Efficiency Margin: +1.66 (ranked 153 of 365)
Offensive Trends:
- Shooting (Shooting): Currently ranked 32 of 365 in D1. Trending up strongly 🟢.
- Turnovers (Turnovers): Currently ranked 341 of 365 in D1. Trending up strongly 🔴.
Defensive Trends:
- Opp 2Pt Rate (Opp 2 Point Attempts/FGA (%)): Currently ranked 180 of 365 in D1. Trending down strongly 🟢.
- Opp 2PA Per Poss (Opp 2 Point Attempts Per Possession (%)): Currently ranked 180 of 365 in D1. Trending down strongly 🟢.
Fordham
Record: 5-4 | Elo: 1427.0 (ranked 285 of 365) | Efficiency Margin: -4.50 (ranked 205 of 365)
Offensive Trends:
- Shooting (Shooting): Currently ranked 219 of 365 in D1. Trending up strongly 🟢.
- FGM Per Poss (Field Goal Makes Per Possession (%)): Currently ranked 220 of 365 in D1. Trending up strongly 🟢.
Defensive Trends:
- Opp FT Rate (Opp FTA/FGA (%)): Currently ranked 37 of 365 in D1. Trending down strongly 🟢.
- Opp FGA Per Poss (Opp FG Attempts Per Possession (%)): Currently ranked 183 of 365 in D1. Trending up strongly 🔴.
G Washington
Record: 8-2 | Elo: 1555.4 (ranked 105 of 365) | Efficiency Margin: +13.95 (ranked 65 of 365)
Offensive Trends:
- Shooting (Shooting): Currently ranked 14 of 365 in D1. Trending up strongly 🟢.
- Turnovers (Turnovers): Currently ranked 200 of 365 in D1. Trending down strongly 🟢.
Defensive Trends:
- Opp Shooting (Opp Shooting): Currently ranked 149 of 365 in D1. Trending up strongly 🔴.
- Def Reb Pct (Defensive Rebounding): Currently ranked 155 of 365 in D1. Trending up strongly 🟢.
George Mason
Record: 9-1 | Elo: 1646.5 (ranked 31 of 365) | Efficiency Margin: +15.37 (ranked 59 of 365)
Offensive Trends:
- 3Pt Pct (3 Point FGM/FGA (%)): Currently ranked 75 of 365 in D1. Trending up strongly 🟢.
- Balls Stolen Per Poss (Balls Stolen Per Possession): Currently ranked 355 of 365 in D1. Trending down strongly 🔴.
Defensive Trends:
- Opp Shooting (Opp Shooting): Currently ranked 48 of 365 in D1. Trending up strongly 🔴.
- Opp FGM Per Poss (Opp FG Makes Per Possession (%)): Currently ranked 60 of 365 in D1. Trending up strongly 🔴.
La Salle
Record: 4-6 | Elo: 1436.5 (ranked 272 of 365) | Efficiency Margin: -4.71 (ranked 209 of 365)
Offensive Trends:
- Turnovers (Turnovers): Currently ranked 303 of 365 in D1. Trending up strongly 🔴.
- Off Reb Pct (Offensive Rebounding): Currently ranked 30 of 365 in D1. Trending up strongly 🟢.
Defensive Trends:
- Def Reb Pct (Defensive Rebounding): Currently ranked 183 of 365 in D1. Trending down strongly 🔴.
- Opp FT Rate (Opp FTA/FGA (%)): Currently ranked 12 of 365 in D1. Trending down strongly 🟢.
Loyola-Chicago
Record: 3-7 | Elo: 1535.3 (ranked 131 of 365) | Efficiency Margin: -16.69 (ranked 301 of 365)
Offensive Trends:
- FT Rate (FTA/FGA (%)): Currently ranked 118 of 365 in D1. Trending up strongly 🟢.
- Adj Off Eff (Adjusted Offensive Efficiency): Currently ranked 233 of 365 in D1. Trending down strongly 🔴.
Defensive Trends:
- Opp Turnovers (Opp Turnovers): Currently ranked 361 of 365 in D1. Trending down strongly 🟢.
- Opp FGM Per Poss (Opp FG Makes Per Possession (%)): Currently ranked 328 of 365 in D1. Trending up strongly 🔴.
Richmond
Record: 8-1 | Elo: 1514.3 (ranked 165 of 365) | Efficiency Margin: +12.01 (ranked 80 of 365)
Offensive Trends:
- Shooting (Shooting): Currently ranked 64 of 365 in D1. Trending up strongly 🟢.
- Off Reb Pct (Offensive Rebounding): Currently ranked 214 of 365 in D1. Trending up strongly 🟢.
Defensive Trends:
- Opp 3PM Per Poss (Opp 3 Point Makes Per Possession (%)): Currently ranked 98 of 365 in D1. Trending down strongly 🟢.
- Opp 3Pt Pct (Opp 3 Point FGM/FGA (%)): Currently ranked 98 of 365 in D1. Trending down strongly 🟢.
Saint Joe’s
Record: 5-3 | Elo: 1565.2 (ranked 97 of 365) | Efficiency Margin: -1.78 (ranked 178 of 365)
Offensive Trends:
- Shooting (Shooting): Currently ranked 329 of 365 in D1. Trending down strongly 🔴.
- Turnovers (Turnovers): Currently ranked 175 of 365 in D1. Trending up strongly 🔴.
Defensive Trends:
- Def Reb Pct (Defensive Rebounding): Currently ranked 288 of 365 in D1. Trending down strongly 🔴.
- Opp FT Rate (Opp FTA/FGA (%)): Currently ranked 116 of 365 in D1. Trending up strongly 🔴.
Saint Louis
Record: 8-1 | Elo: 1578.8 (ranked 85 of 365) | Efficiency Margin: +19.65 (ranked 39 of 365)
Offensive Trends:
- Turnovers (Turnovers): Currently ranked 289 of 365 in D1. Trending down strongly 🟢.
- Off Reb Pct (Offensive Rebounding): Currently ranked 11 of 365 in D1. Trending up strongly 🟢.
Defensive Trends:
- Opp Shooting (Opp Shooting): Currently ranked 9 of 365 in D1. Trending down strongly 🟢.
- Opp Turnovers (Opp Turnovers): Currently ranked 189 of 365 in D1. Trending up strongly 🔴.
St Bonaventure
Record: 9-1 | Elo: 1611.7 (ranked 57 of 365) | Efficiency Margin: +10.02 (ranked 97 of 365)
Offensive Trends:
- Shooting (Shooting): Currently ranked 117 of 365 in D1. Trending up strongly 🟢.
- Turnovers (Turnovers): Currently ranked 244 of 365 in D1. Trending up strongly 🔴.
Defensive Trends:
- Opp Turnovers (Opp Turnovers): Currently ranked 43 of 365 in D1. Trending up strongly 🔴.
- Opp FGA Per Poss (Opp FG Attempts Per Possession (%)): Currently ranked 83 of 365 in D1. Trending down strongly 🟢.
URI
Record: 7-3 | Elo: 1519.4 (ranked 158 of 365) | Efficiency Margin: +9.90 (ranked 99 of 365)
Offensive Trends:
- 2Pt Rate (2 Point Attempts/FGA (%)): Currently ranked 105 of 365 in D1. Trending down strongly 🔴.
- 2PA Per Poss (2 Point Attempts Per Possession (%)): Currently ranked 105 of 365 in D1. Trending down strongly 🔴.
Defensive Trends:
- Opp Turnovers (Opp Turnovers): Currently ranked 21 of 365 in D1. Trending up strongly 🔴.
- Opp FT Rate (Opp FTA/FGA (%)): Currently ranked 249 of 365 in D1. Trending up strongly 🔴.
VCU
Record: 6-3 | Elo: 1652.1 (ranked 30 of 365) | Efficiency Margin: +19.03 (ranked 43 of 365)
Offensive Trends:
- FT Rate (FTA/FGA (%)): Currently ranked 26 of 365 in D1. Trending up strongly 🟢.
- FGA Per Poss (Field Goal Attempts Per Possession (%)): Currently ranked 68 of 365 in D1. Trending down strongly 🔴.
Defensive Trends:
- Opp 3PA Per Poss (Opp 3 Point Attempts Per Possession (%)): Currently ranked 36 of 365 in D1. Trending down strongly 🟢.
- Opp FT Pct (Opp FTM/FTA (%)): Currently ranked 259 of 365 in D1. Trending down strongly 🟢.

Figure 2: Offensive Four Factors comparison across Atlantic 10 teams. The radar chart shows each team’s shooting efficiency (eFG%), ball security (TOV%), offensive rebounding (OREB%), and free throw generation (FT Rate).

Figure 3: Defensive Four Factors comparison across Atlantic 10 teams. The radar chart shows each team’s opponent shooting defense (Opp eFG%), ball disruption (forcing TOV%), defensive rebounding (DREB%), and opponent free throw prevention (Opp FT Rate).

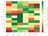
Figure 4: MACD trends heatmap showing which metrics are improving (green) or declining (red) for each team. Stronger colors indicate more pronounced trends.
Looking Ahead
As Atlantic 10 teams continue their season, the MACD trending indicators will help identify which teams are genuinely improving versus those riding unsustainable momentum. Check back next week for updated analysis.
Metrics Glossary
Four Factors (Dean Oliver’s framework for basketball success):
- eFG% (Effective Field Goal %): Field goal percentage adjusted for 3-pointers being worth more (FGM + 0.5×3PM) / FGA. Higher is better offensively, lower is better defensively.
- TOV% (Turnover Rate): Turnovers per 100 possessions. Lower is better offensively (taking care of the ball), higher is better defensively (forcing turnovers).
- OREB% / DREB% (Offensive/Defensive Rebound Rate): Percentage of available rebounds grabbed. Offensive rebounds create second-chance points; defensive rebounds end opponent possessions.
- FTR (Free Throw Rate): Free throws made per field goal attempt (FTM/FGA). Measures ability to get to the line AND convert. Higher is better offensively, lower is better defensively.
Other Metrics:
- Elo Rating: Chess-style rating system that updates based on game results and opponent strength. Higher Elo indicates stronger team.
- Efficiency Margin: Point differential per 100 possessions (Offensive Efficiency – Defensive Efficiency). Accounts for pace of play.
- MACD (Moving Average Convergence Divergence): Trend indicator comparing 12-game and 26-game exponential moving averages. Positive MACD = improving trend, Negative MACD = declining trend.
Analysis powered by HoopSci’s advanced metrics and MACD trending indicators.

