Conference USA Update: Week 5
December 8, 2025The Conference USA enters Week 5 with teams showing diverse trending patterns. This analysis examines each team’s performance trends using MACD (Moving Average Convergence Divergence) indicators to identify not just where teams stand, but where they’re headed.

Figure 1: Efficiency margin trends for Conference USA teams throughout the season. Teams trending upward show improving performance, while downward trends indicate struggles.
Conference Snapshot
- Week Dates: December 01 – December 07, 2025
- Trending Up (Efficiency): FIU, LA Tech, Liberty, Sam Houston, Kennesaw State
- Trending Down (Efficiency): Mid Tennessee, UTEP, W Kentucky, Jacksonville St, New Mexico St
Team-by-Team Analysis
Delaware
Record: 2-5 | Elo: 1459.3 (ranked 245 of 365) | Efficiency Margin: -9.09 (ranked 236 of 365)
Offensive Trends:
- FT Rate (FTA/FGA (%)): Currently ranked 363 of 365 in D1. Trending down strongly 🔴.
- 2PM Per Poss (2 Point Makes Per Possession (%)): Currently ranked 292 of 365 in D1. Trending down strongly 🔴.
Defensive Trends:
- Def Reb Pct (Defensive Rebounding): Currently ranked 179 of 365 in D1. Trending up strongly 🟢.
- Opp FGM Per Poss (Opp FG Makes Per Possession (%)): Currently ranked 253 of 365 in D1. Trending down strongly 🟢.
FIU
Record: 5-3 | Elo: 1418.3 (ranked 298 of 365) | Efficiency Margin: -4.54 (ranked 207 of 365)
Offensive Trends:
- Shooting (Shooting): Currently ranked 187 of 365 in D1. Trending up strongly 🟢.
- Turnovers (Turnovers): Currently ranked 124 of 365 in D1. Trending down strongly 🟢.
Defensive Trends:
- Opp Shooting (Opp Shooting): Currently ranked 144 of 365 in D1. Trending down strongly 🟢.
- Def Reb Pct (Defensive Rebounding): Currently ranked 353 of 365 in D1. Trending down strongly 🔴.
Jacksonville St
Record: 4-4 | Elo: 1503.4 (ranked 182 of 365) | Efficiency Margin: -14.13 (ranked 282 of 365)
Offensive Trends:
- Turnovers (Turnovers): Currently ranked 182 of 365 in D1. Trending up strongly 🔴.
- Off Reb Pct (Offensive Rebounding): Currently ranked 197 of 365 in D1. Trending up strongly 🟢.
Defensive Trends:
- Opp Assists per FGM (Opp Assists/FGM (%)): Currently ranked 196 of 365 in D1. Trending up strongly 🔴.
- Opp FT Rate (Opp FTA/FGA (%)): Currently ranked 176 of 365 in D1. Trending up moderately 🔴.
Kennesaw State
Record: 7-2 | Elo: 1530.0 (ranked 143 of 365) | Efficiency Margin: -1.82 (ranked 181 of 365)
Offensive Trends:
- Off Reb Pct (Offensive Rebounding): Currently ranked 68 of 365 in D1. Trending up strongly 🟢.
- FT Rate (FTA/FGA (%)): Currently ranked 7 of 365 in D1. Trending up strongly 🟢.
Defensive Trends:
- Opp FT Rate (Opp FTA/FGA (%)): Currently ranked 362 of 365 in D1. Trending up strongly 🔴.
- Opp FGM Per Poss (Opp FG Makes Per Possession (%)): Currently ranked 13 of 365 in D1. Trending down strongly 🟢.
LA Tech
Record: 5-3 | Elo: 1541.7 (ranked 124 of 365) | Efficiency Margin: -5.90 (ranked 217 of 365)
Offensive Trends:
- Shooting (Shooting): Currently ranked 314 of 365 in D1. Trending up strongly 🟢.
- Off Reb Pct (Offensive Rebounding): Currently ranked 81 of 365 in D1. Trending up strongly 🟢.
Defensive Trends:
- Opp 2Pt Rate (Opp 2 Point Attempts/FGA (%)): Currently ranked 35 of 365 in D1. Trending down strongly 🟢.
- Opp 2PA Per Poss (Opp 2 Point Attempts Per Possession (%)): Currently ranked 49 of 365 in D1. Trending down strongly 🟢.
Liberty
Record: 6-2 | Elo: 1618.5 (ranked 53 of 365) | Efficiency Margin: +14.03 (ranked 64 of 365)
Offensive Trends:
- Shooting (Shooting): Currently ranked 4 of 365 in D1. Trending up strongly 🟢.
- Adj Off Eff (Adjusted Offensive Efficiency): Currently ranked 30 of 365 in D1. Trending up strongly 🟢.
Defensive Trends:
- Opp 3Pt Pct (Opp 3 Point FGM/FGA (%)): Currently ranked 155 of 365 in D1. Trending up strongly 🔴.
- Opp Assists per FGM (Opp Assists/FGM (%)): Currently ranked 116 of 365 in D1. Trending up strongly 🔴.
Mid Tennessee
Record: 5-4 | Elo: 1543.3 (ranked 122 of 365) | Efficiency Margin: -4.97 (ranked 210 of 365)
Offensive Trends:
- FT Rate (FTA/FGA (%)): Currently ranked 336 of 365 in D1. Trending down strongly 🔴.
- FGA Per Poss (Field Goal Attempts Per Possession (%)): Currently ranked 5 of 365 in D1. Trending up strongly 🟢.
Defensive Trends:
- Opp Turnovers (Opp Turnovers): Currently ranked 342 of 365 in D1. Trending down strongly 🟢.
- Opp FGM Per Poss (Opp FG Makes Per Possession (%)): Currently ranked 287 of 365 in D1. Trending up strongly 🔴.
Missouri State
Record: 3-4 | Elo: 1402.2 (ranked 314 of 365) | Efficiency Margin: -22.31 (ranked 328 of 365)
Offensive Trends:
- Turnovers (Turnovers): Currently ranked 183 of 365 in D1. Trending down strongly 🟢.
- FT Rate (FTA/FGA (%)): Currently ranked 21 of 365 in D1. Trending up strongly 🟢.
Defensive Trends:
- Def Reb Pct (Defensive Rebounding): Currently ranked 327 of 365 in D1. Trending down strongly 🔴.
- Opp FGM Per Poss (Opp FG Makes Per Possession (%)): Currently ranked 294 of 365 in D1. Trending up strongly 🔴.
New Mexico St
Record: 6-2 | Elo: 1522.8 (ranked 153 of 365) | Efficiency Margin: +4.90 (ranked 124 of 365)
Offensive Trends:
- Off Reb Pct (Offensive Rebounding): Currently ranked 29 of 365 in D1. Trending up strongly 🟢.
- FTM Per Poss (Free Throw Makes Per Possession (%)): Currently ranked 79 of 365 in D1. Trending up strongly 🟢.
Defensive Trends:
- Opp FT Rate (Opp FTA/FGA (%)): Currently ranked 329 of 365 in D1. Trending up strongly 🔴.
- Opp FGA Per Poss (Opp FG Attempts Per Possession (%)): Currently ranked 80 of 365 in D1. Trending down strongly 🟢.
Sam Houston
Record: 6-3 | Elo: 1525.0 (ranked 150 of 365) | Efficiency Margin: +5.66 (ranked 120 of 365)
Offensive Trends:
- Off Reb Pct (Offensive Rebounding): Currently ranked 33 of 365 in D1. Trending up strongly 🟢.
- Adj Off Eff (Adjusted Offensive Efficiency): Currently ranked 84 of 365 in D1. Trending up strongly 🟢.
Defensive Trends:
- Opp FT Rate (Opp FTA/FGA (%)): Currently ranked 345 of 365 in D1. Trending up strongly 🔴.
- Opp FGA Per Poss (Opp FG Attempts Per Possession (%)): Currently ranked 61 of 365 in D1. Trending down strongly 🟢.
UTEP
Record: 3-5 | Elo: 1458.7 (ranked 247 of 365) | Efficiency Margin: -20.19 (ranked 316 of 365)
Offensive Trends:
- Turnovers (Turnovers): Currently ranked 279 of 365 in D1. Trending up strongly 🔴.
- Off Reb Pct (Offensive Rebounding): Currently ranked 333 of 365 in D1. Trending up strongly 🟢.
Defensive Trends:
- Opp Turnovers (Opp Turnovers): Currently ranked 39 of 365 in D1. Trending down strongly 🟢.
- Def Reb Pct (Defensive Rebounding): Currently ranked 333 of 365 in D1. Trending down strongly 🔴.
W Kentucky
Record: 6-2 | Elo: 1530.7 (ranked 139 of 365) | Efficiency Margin: +5.63 (ranked 121 of 365)
Offensive Trends:
- Off Reb Pct (Offensive Rebounding): Currently ranked 195 of 365 in D1. Trending up strongly 🟢.
- FT Rate (FTA/FGA (%)): Currently ranked 50 of 365 in D1. Trending up strongly 🟢.
Defensive Trends:
- Opp 2PM Per Poss (Opp 2 Point Makes Per Possession (%)): Currently ranked 16 of 365 in D1. Trending down strongly 🟢.
- Opp 3PM Per Poss (Opp 3 Point Makes Per Possession (%)): Currently ranked 279 of 365 in D1. Trending up strongly 🔴.

Figure 2: Offensive Four Factors comparison across Conference USA teams. The radar chart shows each team’s shooting efficiency (eFG%), ball security (TOV%), offensive rebounding (OREB%), and free throw generation (FT Rate).

Figure 3: Defensive Four Factors comparison across Conference USA teams. The radar chart shows each team’s opponent shooting defense (Opp eFG%), ball disruption (forcing TOV%), defensive rebounding (DREB%), and opponent free throw prevention (Opp FT Rate).

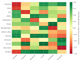
Figure 4: MACD trends heatmap showing which metrics are improving (green) or declining (red) for each team. Stronger colors indicate more pronounced trends.
Looking Ahead
As Conference USA teams continue their season, the MACD trending indicators will help identify which teams are genuinely improving versus those riding unsustainable momentum. Check back next week for updated analysis.
Metrics Glossary
Four Factors (Dean Oliver’s framework for basketball success):
- eFG% (Effective Field Goal %): Field goal percentage adjusted for 3-pointers being worth more (FGM + 0.5×3PM) / FGA. Higher is better offensively, lower is better defensively.
- TOV% (Turnover Rate): Turnovers per 100 possessions. Lower is better offensively (taking care of the ball), higher is better defensively (forcing turnovers).
- OREB% / DREB% (Offensive/Defensive Rebound Rate): Percentage of available rebounds grabbed. Offensive rebounds create second-chance points; defensive rebounds end opponent possessions.
- FTR (Free Throw Rate): Free throws made per field goal attempt (FTM/FGA). Measures ability to get to the line AND convert. Higher is better offensively, lower is better defensively.
Other Metrics:
- Elo Rating: Chess-style rating system that updates based on game results and opponent strength. Higher Elo indicates stronger team.
- Efficiency Margin: Point differential per 100 possessions (Offensive Efficiency – Defensive Efficiency). Accounts for pace of play.
- MACD (Moving Average Convergence Divergence): Trend indicator comparing 12-game and 26-game exponential moving averages. Positive MACD = improving trend, Negative MACD = declining trend.
Analysis powered by HoopSci’s advanced metrics and MACD trending indicators.

