Ivy Update: Week 5
December 8, 2025The Ivy enters Week 5 with teams showing diverse trending patterns. This analysis examines each team’s performance trends using MACD (Moving Average Convergence Divergence) indicators to identify not just where teams stand, but where they’re headed.

Figure 1: Efficiency margin trends for Ivy teams throughout the season. Teams trending upward show improving performance, while downward trends indicate struggles.
Conference Snapshot
- Week Dates: December 01 – December 07, 2025
- Trending Up (Efficiency): Brown, Columbia, Cornell, Dartmouth, Yale
- Trending Down (Efficiency): Harvard, Penn, Princeton
Team-by-Team Analysis
Brown
Record: 5-6 | Elo: 1480.7 (ranked 216 of 365) | Efficiency Margin: -4.97 (ranked 211 of 365)
Offensive Trends:
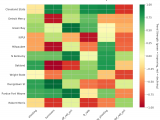
- Off Reb Pct (Offensive Rebounding): Currently ranked 203 of 365 in D1. Trending up strongly 🟢.
- Adj Off Eff (Adjusted Offensive Efficiency): Currently ranked 287 of 365 in D1. Trending down strongly 🔴.
Defensive Trends:
- Opp Shooting (Opp Shooting): Currently ranked 71 of 365 in D1. Trending down strongly 🟢.
- Opp Turnovers (Opp Turnovers): Currently ranked 110 of 365 in D1. Trending up strongly 🔴.
Columbia
Record: 9-1 | Elo: 1489.5 (ranked 203 of 365) | Efficiency Margin: +14.72 (ranked 62 of 365)
Offensive Trends:
- Shooting (Shooting): Currently ranked 34 of 365 in D1. Trending up strongly 🟢.
- Off Reb Pct (Offensive Rebounding): Currently ranked 13 of 365 in D1. Trending up strongly 🟢.
Defensive Trends:
- Opp Shooting (Opp Shooting): Currently ranked 62 of 365 in D1. Trending down strongly 🟢.
- Opp FT Rate (Opp FTA/FGA (%)): Currently ranked 129 of 365 in D1. Trending up strongly 🔴.
Cornell
Record: 5-5 | Elo: 1555.9 (ranked 103 of 365) | Efficiency Margin: +2.57 (ranked 141 of 365)
Offensive Trends:
- Off Reb Pct (Offensive Rebounding): Currently ranked 260 of 365 in D1. Trending up strongly 🟢.
- Off Tempo (Offensive Possessions Per Game): Currently ranked 25 of 365 in D1. Trending up strongly 🟢.
Defensive Trends:
- Opp Shooting (Opp Shooting): Currently ranked 299 of 365 in D1. Trending up strongly 🔴.
- Opp FT Rate (Opp FTA/FGA (%)): Currently ranked 260 of 365 in D1. Trending up strongly 🔴.
Dartmouth
Record: 3-4 | Elo: 1444.3 (ranked 264 of 365) | Efficiency Margin: -9.04 (ranked 235 of 365)
Offensive Trends:
- Shooting (Shooting): Currently ranked 128 of 365 in D1. Trending up strongly 🟢.
- Turnovers (Turnovers): Currently ranked 317 of 365 in D1. Trending up strongly 🔴.
Defensive Trends:
- Opp 2PA Per Poss (Opp 2 Point Attempts Per Possession (%)): Currently ranked 329 of 365 in D1. Trending up strongly 🔴.
- Opp 3PM Per Poss (Opp 3 Point Makes Per Possession (%)): Currently ranked 67 of 365 in D1. Trending down strongly 🟢.
Harvard
Record: 5-6 | Elo: 1479.2 (ranked 219 of 365) | Efficiency Margin: -1.43 (ranked 174 of 365)
Offensive Trends:
- FT Rate (FTA/FGA (%)): Currently ranked 346 of 365 in D1. Trending down strongly 🔴.
- FGM Per Poss (Field Goal Makes Per Possession (%)): Currently ranked 147 of 365 in D1. Trending up strongly 🟢.
Defensive Trends:
- Opp Shooting (Opp Shooting): Currently ranked 287 of 365 in D1. Trending up strongly 🔴.
- Opp FGA Per Poss (Opp FG Attempts Per Possession (%)): Currently ranked 182 of 365 in D1. Trending down strongly 🟢.
Penn
Record: 5-4 | Elo: 1444.4 (ranked 263 of 365) | Efficiency Margin: +2.86 (ranked 138 of 365)
Offensive Trends:
- Off Reb Pct (Offensive Rebounding): Currently ranked 140 of 365 in D1. Trending up strongly 🟢.
- Adj Off Eff (Adjusted Offensive Efficiency): Currently ranked 109 of 365 in D1. Trending up strongly 🟢.
Defensive Trends:
- Def Reb Pct (Defensive Rebounding): Currently ranked 288 of 365 in D1. Trending down strongly 🔴.
- Opp 2Pt Pct (Opp 2 Point FGM/FGA (%)): Currently ranked 282 of 365 in D1. Trending up strongly 🔴.
Princeton
Record: 3-9 | Elo: 1516.2 (ranked 164 of 365) | Efficiency Margin: -6.25 (ranked 220 of 365)
Offensive Trends:
- Off Reb Pct (Offensive Rebounding): Currently ranked 345 of 365 in D1. Trending down strongly 🔴.
- Adj Off Eff (Adjusted Offensive Efficiency): Currently ranked 238 of 365 in D1. Trending down strongly 🔴.
Defensive Trends:
- Opp FT Rate (Opp FTA/FGA (%)): Currently ranked 303 of 365 in D1. Trending up strongly 🔴.
- Opp 2PM Per Poss (Opp 2 Point Makes Per Possession (%)): Currently ranked 250 of 365 in D1. Trending up strongly 🔴.
Yale
Record: 10-1 | Elo: 1674.9 (ranked 19 of 365) | Efficiency Margin: +17.04 (ranked 52 of 365)
Offensive Trends:
- Off Reb Pct (Offensive Rebounding): Currently ranked 89 of 365 in D1. Trending up strongly 🟢.
- Adj Off Eff (Adjusted Offensive Efficiency): Currently ranked 8 of 365 in D1. Trending up strongly 🟢.
Defensive Trends:
- Def Reb Pct (Defensive Rebounding): Currently ranked 215 of 365 in D1. Trending down strongly 🔴.
- Opp FGM Per Poss (Opp FG Makes Per Possession (%)): Currently ranked 244 of 365 in D1. Trending up strongly 🔴.

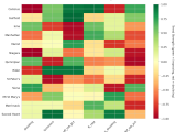
Figure 2: Offensive Four Factors comparison across Ivy teams. The radar chart shows each team’s shooting efficiency (eFG%), ball security (TOV%), offensive rebounding (OREB%), and free throw generation (FT Rate).

Figure 3: Defensive Four Factors comparison across Ivy teams. The radar chart shows each team’s opponent shooting defense (Opp eFG%), ball disruption (forcing TOV%), defensive rebounding (DREB%), and opponent free throw prevention (Opp FT Rate).

Figure 4: MACD trends heatmap showing which metrics are improving (green) or declining (red) for each team. Stronger colors indicate more pronounced trends.
Looking Ahead
As Ivy teams continue their season, the MACD trending indicators will help identify which teams are genuinely improving versus those riding unsustainable momentum. Check back next week for updated analysis.
Metrics Glossary
Four Factors (Dean Oliver’s framework for basketball success):
- eFG% (Effective Field Goal %): Field goal percentage adjusted for 3-pointers being worth more (FGM + 0.5×3PM) / FGA. Higher is better offensively, lower is better defensively.
- TOV% (Turnover Rate): Turnovers per 100 possessions. Lower is better offensively (taking care of the ball), higher is better defensively (forcing turnovers).
- OREB% / DREB% (Offensive/Defensive Rebound Rate): Percentage of available rebounds grabbed. Offensive rebounds create second-chance points; defensive rebounds end opponent possessions.
- FTR (Free Throw Rate): Free throws made per field goal attempt (FTM/FGA). Measures ability to get to the line AND convert. Higher is better offensively, lower is better defensively.
Other Metrics:
- Elo Rating: Chess-style rating system that updates based on game results and opponent strength. Higher Elo indicates stronger team.
- Efficiency Margin: Point differential per 100 possessions (Offensive Efficiency – Defensive Efficiency). Accounts for pace of play.
- MACD (Moving Average Convergence Divergence): Trend indicator comparing 12-game and 26-game exponential moving averages. Positive MACD = improving trend, Negative MACD = declining trend.
Analysis powered by HoopSci’s advanced metrics and MACD trending indicators.

