West Coast Update: Week 5
December 8, 2025The West Coast enters Week 5 with teams showing diverse trending patterns. This analysis examines each team’s performance trends using MACD (Moving Average Convergence Divergence) indicators to identify not just where teams stand, but where they’re headed.

Figure 1: Efficiency margin trends for West Coast teams throughout the season. Teams trending upward show improving performance, while downward trends indicate struggles.
Conference Snapshot
- Week Dates: December 01 – December 07, 2025
- Trending Up (Efficiency): Gonzaga, Pacific, Portland, Saint Mary’s, San Diego
- Trending Down (Efficiency): Loyola Mary, Pepperdine, San Francisco, Santa Clara, Washington St
Team-by-Team Analysis
Gonzaga
Record: 9-1 | Elo: 1719.8 (ranked 6 of 365) | Efficiency Margin: +45.52 (ranked 2 of 365)
Offensive Trends:
- Shooting (Shooting): Currently ranked 22 of 365 in D1. Trending up strongly 🟢.
- Off Reb Pct (Offensive Rebounding): Currently ranked 15 of 365 in D1. Trending up strongly 🟢.
Defensive Trends:
- Opp Turnovers (Opp Turnovers): Currently ranked 30 of 365 in D1. Trending up strongly 🔴.
- Def Reb Pct (Defensive Rebounding): Currently ranked 5 of 365 in D1. Trending up strongly 🟢.
Loyola Mary
Record: 7-3 | Elo: 1506.0 (ranked 178 of 365) | Efficiency Margin: +1.37 (ranked 154 of 365)
Offensive Trends:
- Turnovers (Turnovers): Currently ranked 192 of 365 in D1. Trending up strongly 🔴.
- Balls Stolen Per Poss (Balls Stolen Per Possession): Currently ranked 228 of 365 in D1. Trending up strongly 🟢.
Defensive Trends:
- Opp Turnovers (Opp Turnovers): Currently ranked 103 of 365 in D1. Trending up strongly 🔴.
- Opp FGA Per Poss (Opp FG Attempts Per Possession (%)): Currently ranked 213 of 365 in D1. Trending down strongly 🟢.
Oregon State
Record: 5-5 | Elo: 1493.4 (ranked 195 of 365) | Efficiency Margin: +0.43 (ranked 165 of 365)
Offensive Trends:
- Off Reb Pct (Offensive Rebounding): Currently ranked 252 of 365 in D1. Trending down strongly 🔴.
- Adj Off Eff (Adjusted Offensive Efficiency): Currently ranked 154 of 365 in D1. Trending down strongly 🔴.
Defensive Trends:
- Opp Shooting (Opp Shooting): Currently ranked 91 of 365 in D1. Trending down strongly 🟢.
- Opp 2PA Per Poss (Opp 2 Point Attempts Per Possession (%)): Currently ranked 255 of 365 in D1. Trending up strongly 🔴.
Pacific
Record: 7-3 | Elo: 1406.4 (ranked 310 of 365) | Efficiency Margin: +7.77 (ranked 110 of 365)
Offensive Trends:
- Off Reb Pct (Offensive Rebounding): Currently ranked 170 of 365 in D1. Trending up strongly 🟢.
- Adj Off Eff (Adjusted Offensive Efficiency): Currently ranked 153 of 365 in D1. Trending up strongly 🟢.
Defensive Trends:
- Opp Shooting (Opp Shooting): Currently ranked 51 of 365 in D1. Trending down strongly 🟢.
- Def Reb Pct (Defensive Rebounding): Currently ranked 22 of 365 in D1. Trending up strongly 🟢.
Pepperdine
Record: 3-7 | Elo: 1376.0 (ranked 336 of 365) | Efficiency Margin: -15.16 (ranked 287 of 365)
Offensive Trends:
- Shooting (Shooting): Currently ranked 348 of 365 in D1. Trending down strongly 🔴.
- Turnovers (Turnovers): Currently ranked 156 of 365 in D1. Trending up strongly 🔴.
Defensive Trends:
- Opp 2Pt Rate (Opp 2 Point Attempts/FGA (%)): Currently ranked 41 of 365 in D1. Trending down strongly 🟢.
- Opp 2PM Per Poss (Opp 2 Point Makes Per Possession (%)): Currently ranked 217 of 365 in D1. Trending down strongly 🟢.
Portland
Record: 6-4 | Elo: 1425.8 (ranked 287 of 365) | Efficiency Margin: -11.29 (ranked 256 of 365)
Offensive Trends:
- Shooting (Shooting): Currently ranked 70 of 365 in D1. Trending up strongly 🟢.
- Off Reb Pct (Offensive Rebounding): Currently ranked 285 of 365 in D1. Trending up strongly 🟢.
Defensive Trends:
- Opp FGA Per Poss (Opp FG Attempts Per Possession (%)): Currently ranked 262 of 365 in D1. Trending down strongly 🟢.
- Opp 2Pt Rate (Opp 2 Point Attempts/FGA (%)): Currently ranked 16 of 365 in D1. Trending down strongly 🟢.
Saint Mary’s
Record: 9-1 | Elo: 1712.1 (ranked 11 of 365) | Efficiency Margin: +28.11 (ranked 17 of 365)
Offensive Trends:
- Turnovers (Turnovers): Currently ranked 213 of 365 in D1. Trending up strongly 🔴.
- FGA Per Poss (Field Goal Attempts Per Possession (%)): Currently ranked 164 of 365 in D1. Trending down strongly 🔴.
Defensive Trends:
- Def Reb Pct (Defensive Rebounding): Currently ranked 29 of 365 in D1. Trending down strongly 🔴.
- Opp FGA Per Poss (Opp FG Attempts Per Possession (%)): Currently ranked 320 of 365 in D1. Trending up strongly 🔴.
San Diego
Record: 3-5 | Elo: 1354.4 (ranked 352 of 365) | Efficiency Margin: -23.18 (ranked 334 of 365)
Offensive Trends:
- 2Pt Rate (2 Point Attempts/FGA (%)): Currently ranked 261 of 365 in D1. Trending down strongly 🔴.
- 2PA Per Poss (2 Point Attempts Per Possession (%)): Currently ranked 229 of 365 in D1. Trending down strongly 🔴.
Defensive Trends:
- Opp Turnovers (Opp Turnovers): Currently ranked 81 of 365 in D1. Trending up strongly 🔴.
- Def Reb Pct (Defensive Rebounding): Currently ranked 363 of 365 in D1. Trending down strongly 🔴.
San Francisco
Record: 6-4 | Elo: 1594.7 (ranked 71 of 365) | Efficiency Margin: +8.92 (ranked 103 of 365)
Offensive Trends:
- 3PA Per Poss (3 Point Attempts Per Possession (%)): Currently ranked 66 of 365 in D1. Trending up strongly 🟢.
- FT Pct (FTM/FTA (%)): Currently ranked 221 of 365 in D1. Trending down strongly 🔴.
Defensive Trends:
- Opp Turnovers (Opp Turnovers): Currently ranked 343 of 365 in D1. Trending down strongly 🟢.
- Opp FT Rate (Opp FTA/FGA (%)): Currently ranked 109 of 365 in D1. Trending down strongly 🟢.
Santa Clara
Record: 8-2 | Elo: 1596.2 (ranked 70 of 365) | Efficiency Margin: +10.96 (ranked 87 of 365)
Offensive Trends:
- Shooting (Shooting): Currently ranked 130 of 365 in D1. Trending down strongly 🔴.
- Off Reb Pct (Offensive Rebounding): Currently ranked 10 of 365 in D1. Trending up strongly 🟢.
Defensive Trends:
- Opp Shooting (Opp Shooting): Currently ranked 90 of 365 in D1. Trending up strongly 🔴.
- Opp Turnovers (Opp Turnovers): Currently ranked 53 of 365 in D1. Trending up strongly 🔴.
Seattle
Record: 7-2 | Elo: 1528.3 (ranked 147 of 365) | Efficiency Margin: +9.99 (ranked 98 of 365)
Offensive Trends:
- Shooting (Shooting): Currently ranked 10 of 365 in D1. Trending up strongly 🟢.
- Off Reb Pct (Offensive Rebounding): Currently ranked 309 of 365 in D1. Trending up strongly 🟢.
Defensive Trends:
- Def Reb Pct (Defensive Rebounding): Currently ranked 231 of 365 in D1. Trending down strongly 🔴.
- Opp Assists per FGM (Opp Assists/FGM (%)): Currently ranked 54 of 365 in D1. Trending down strongly 🟢.
Washington St
Record: 2-7 | Elo: 1488.7 (ranked 207 of 365) | Efficiency Margin: -5.43 (ranked 215 of 365)
Offensive Trends:
- FGM Per Poss (Field Goal Makes Per Possession (%)): Currently ranked 214 of 365 in D1. Trending down strongly 🔴.
- FG Pct (Field Goal Percentage (FGM/FGA)): Currently ranked 157 of 365 in D1. Trending down strongly 🔴.
Defensive Trends:
- Opp 3Pt Pct (Opp 3 Point FGM/FGA (%)): Currently ranked 353 of 365 in D1. Trending up strongly 🔴.
- Opp Assists per FGM (Opp Assists/FGM (%)): Currently ranked 71 of 365 in D1. Trending down strongly 🟢.

Figure 2: Offensive Four Factors comparison across West Coast teams. The radar chart shows each team’s shooting efficiency (eFG%), ball security (TOV%), offensive rebounding (OREB%), and free throw generation (FT Rate).

Figure 3: Defensive Four Factors comparison across West Coast teams. The radar chart shows each team’s opponent shooting defense (Opp eFG%), ball disruption (forcing TOV%), defensive rebounding (DREB%), and opponent free throw prevention (Opp FT Rate).

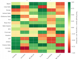
Figure 4: MACD trends heatmap showing which metrics are improving (green) or declining (red) for each team. Stronger colors indicate more pronounced trends.
Looking Ahead
As West Coast teams continue their season, the MACD trending indicators will help identify which teams are genuinely improving versus those riding unsustainable momentum. Check back next week for updated analysis.
Metrics Glossary
Four Factors (Dean Oliver’s framework for basketball success):
- eFG% (Effective Field Goal %): Field goal percentage adjusted for 3-pointers being worth more (FGM + 0.5×3PM) / FGA. Higher is better offensively, lower is better defensively.
- TOV% (Turnover Rate): Turnovers per 100 possessions. Lower is better offensively (taking care of the ball), higher is better defensively (forcing turnovers).
- OREB% / DREB% (Offensive/Defensive Rebound Rate): Percentage of available rebounds grabbed. Offensive rebounds create second-chance points; defensive rebounds end opponent possessions.
- FTR (Free Throw Rate): Free throws made per field goal attempt (FTM/FGA). Measures ability to get to the line AND convert. Higher is better offensively, lower is better defensively.
Other Metrics:
- Elo Rating: Chess-style rating system that updates based on game results and opponent strength. Higher Elo indicates stronger team.
- Efficiency Margin: Point differential per 100 possessions (Offensive Efficiency – Defensive Efficiency). Accounts for pace of play.
- MACD (Moving Average Convergence Divergence): Trend indicator comparing 12-game and 26-game exponential moving averages. Positive MACD = improving trend, Negative MACD = declining trend.
Analysis powered by HoopSci’s advanced metrics and MACD trending indicators.

