Big Ten Update: Week 6
December 15, 2025The Big Ten enters Week 6 with teams showing diverse trending patterns. This analysis examines each team’s performance trends using MACD (Moving Average Convergence Divergence) indicators to identify not just where teams stand, but where they’re headed.

Figure 1: Efficiency margin trends for Big Ten teams throughout the season. Teams trending upward show improving performance, while downward trends indicate struggles.
Conference Snapshot
- Week Dates: December 08 – December 14, 2025
- Trending Up (Efficiency): Illinois, Indiana, Iowa, Michigan, Michigan State
- Trending Down (Efficiency): Maryland, Rutgers, Wisconsin, USC
Team-by-Team Analysis
Illinois
Record: 8-3 | Elo: 1650.2 (ranked 29 of 365) | Efficiency Margin: +24.83 (ranked 28 of 365)
Offensive Trends:
- Adj Off Eff (Adjusted Offensive Efficiency): Currently ranked 10 of 365 in D1. Trending up strongly 🟢.
- Fouls Drawn Per Poss (Fouls Drawn Per Possession): Currently ranked 11 of 365 in D1. Trending up strongly 🔴.
Defensive Trends:
- Def Reb Pct (Defensive Rebounding): Currently ranked 62 of 365 in D1. Trending down strongly 🔴.
- Opp 2Pt Rate (Opp 2 Point Attempts/FGA (%)): Currently ranked 178 of 365 in D1. Trending down strongly 🟢.
Indiana
Record: 8-3 | Elo: 1600.1 (ranked 66 of 365) | Efficiency Margin: +26.71 (ranked 21 of 365)
Offensive Trends:
- FT Rate (FTA/FGA (%)): Currently ranked 107 of 365 in D1. Trending up strongly 🟢.
- Adj Off Eff (Adjusted Offensive Efficiency): Currently ranked 30 of 365 in D1. Trending up strongly 🟢.
Defensive Trends:
- Opp FT Rate (Opp FTA/FGA (%)): Currently ranked 250 of 365 in D1. Trending up strongly 🔴.
- Opp FGM Per Poss (Opp FG Makes Per Possession (%)): Currently ranked 17 of 365 in D1. Trending down strongly 🟢.
Iowa
Record: 9-2 | Elo: 1600.6 (ranked 64 of 365) | Efficiency Margin: +28.90 (ranked 16 of 365)
Offensive Trends:
- Turnovers (Turnovers): Currently ranked 88 of 365 in D1. Trending up strongly 🔴.
- FT Pct (FTM/FTA (%)): Currently ranked 230 of 365 in D1. Trending down strongly 🔴.
Defensive Trends:
- Opp Shooting (Opp Shooting): Currently ranked 77 of 365 in D1. Trending down strongly 🟢.
- Opp Turnovers (Opp Turnovers): Currently ranked 11 of 365 in D1. Trending up strongly 🔴.
Maryland
Record: 6-5 | Elo: 1616.0 (ranked 52 of 365) | Efficiency Margin: +0.63 (ranked 156 of 365)
Offensive Trends:
- Turnovers (Turnovers): Currently ranked 287 of 365 in D1. Trending up strongly 🔴.
- FT Rate (FTA/FGA (%)): Currently ranked 9 of 365 in D1. Trending up strongly 🟢.
Defensive Trends:
- Opp Shooting (Opp Shooting): Currently ranked 296 of 365 in D1. Trending up strongly 🔴.
- Opp FGM Per Poss (Opp FG Makes Per Possession (%)): Currently ranked 250 of 365 in D1. Trending up strongly 🔴.
Michigan
Record: 10-0 | Elo: 1705.5 (ranked 12 of 365) | Efficiency Margin: +48.50 (ranked 1 of 365)
Offensive Trends:
- Shooting (Shooting): Currently ranked 4 of 365 in D1. Trending up strongly 🟢.
- Turnovers (Turnovers): Currently ranked 175 of 365 in D1. Trending down strongly 🟢.
Defensive Trends:
- Opp Turnovers (Opp Turnovers): Currently ranked 204 of 365 in D1. Trending up strongly 🔴.
- Opp FT Rate (Opp FTA/FGA (%)): Currently ranked 13 of 365 in D1. Trending down strongly 🟢.
Michigan State
Record: 9-1 | Elo: 1722.7 (ranked 8 of 365) | Efficiency Margin: +30.23 (ranked 13 of 365)
Offensive Trends:
- 2Pt Pct (2 Point FGM/FGA (%)): Currently ranked 248 of 365 in D1. Trending down strongly 🔴.
- 3PM Per Poss (3 Point Makes Per Possession (%)): Currently ranked 235 of 365 in D1. Trending up strongly 🟢.
Defensive Trends:
- Opp 2Pt Rate (Opp 2 Point Attempts/FGA (%)): Currently ranked 43 of 365 in D1. Trending down strongly 🟢.
- Opp 2PM Per Poss (Opp 2 Point Makes Per Possession (%)): Currently ranked 22 of 365 in D1. Trending down strongly 🟢.
Minnesota
Record: 6-5 | Elo: 1510.5 (ranked 170 of 365) | Efficiency Margin: +6.42 (ranked 119 of 365)
Offensive Trends:
- FT Rate (FTA/FGA (%)): Currently ranked 11 of 365 in D1. Trending up strongly 🟢.
- FGA Per Poss (Field Goal Attempts Per Possession (%)): Currently ranked 327 of 365 in D1. Trending down strongly 🔴.
Defensive Trends:
- Opp 2Pt Rate (Opp 2 Point Attempts/FGA (%)): Currently ranked 227 of 365 in D1. Trending down strongly 🟢.
- Opp 2PA Per Poss (Opp 2 Point Attempts Per Possession (%)): Currently ranked 225 of 365 in D1. Trending down strongly 🟢.
Nebraska
Record: 11-0 | Elo: 1655.2 (ranked 26 of 365) | Efficiency Margin: +27.53 (ranked 20 of 365)
Offensive Trends:
- Shooting (Shooting): Currently ranked 28 of 365 in D1. Trending up strongly 🟢.
- Turnovers (Turnovers): Currently ranked 29 of 365 in D1. Trending down strongly 🟢.
Defensive Trends:
- Opp FG Pct (%) (Opp FGM/FGA (%)): Currently ranked 16 of 365 in D1. Trending down strongly 🟢.
- Opp 2Pt Rate (Opp 2 Point Attempts/FGA (%)): Currently ranked 4 of 365 in D1. Trending down strongly 🟢.
Northwestern
Record: 6-4 | Elo: 1552.8 (ranked 112 of 365) | Efficiency Margin: +23.25 (ranked 31 of 365)
Offensive Trends:
- Shooting (Shooting): Currently ranked 57 of 365 in D1. Trending up strongly 🟢.
- FT Rate (FTA/FGA (%)): Currently ranked 52 of 365 in D1. Trending up strongly 🟢.
Defensive Trends:
- Opp Turnovers (Opp Turnovers): Currently ranked 226 of 365 in D1. Trending down strongly 🟢.
- Opp 3Pt Pct (Opp 3 Point FGM/FGA (%)): Currently ranked 17 of 365 in D1. Trending down strongly 🟢.
Ohio State
Record: 8-2 | Elo: 1590.8 (ranked 76 of 365) | Efficiency Margin: +25.14 (ranked 26 of 365)
Offensive Trends:
- 2PM Per Poss (2 Point Makes Per Possession (%)): Currently ranked 76 of 365 in D1. Trending up strongly 🟢.
- 2Pt Pct (2 Point FGM/FGA (%)): Currently ranked 8 of 365 in D1. Trending up strongly 🟢.
Defensive Trends:
- Opp 2Pt Rate (Opp 2 Point Attempts/FGA (%)): Currently ranked 165 of 365 in D1. Trending down strongly 🟢.
- Opp 2PM Per Poss (Opp 2 Point Makes Per Possession (%)): Currently ranked 119 of 365 in D1. Trending down strongly 🟢.
Oregon
Record: 5-5 | Elo: 1611.5 (ranked 55 of 365) | Efficiency Margin: +5.29 (ranked 125 of 365)
Offensive Trends:
- Off Reb Pct (Offensive Rebounding): Currently ranked 9 of 365 in D1. Trending up strongly 🟢.
- FT Rate (FTA/FGA (%)): Currently ranked 48 of 365 in D1. Trending up strongly 🟢.
Defensive Trends:
- Def Reb Pct (Defensive Rebounding): Currently ranked 256 of 365 in D1. Trending down strongly 🔴.
- Opp FTM Per Poss (Opp Free Throw Makes Per Possession (%)): Currently ranked 201 of 365 in D1. Trending up strongly 🔴.
Penn State
Record: 8-3 | Elo: 1553.2 (ranked 111 of 365) | Efficiency Margin: +6.72 (ranked 115 of 365)
Offensive Trends:
- Turnovers (Turnovers): Currently ranked 8 of 365 in D1. Trending down strongly 🟢.
- 2PM Per Poss (2 Point Makes Per Possession (%)): Currently ranked 17 of 365 in D1. Trending up strongly 🟢.
Defensive Trends:
- Opp Shooting (Opp Shooting): Currently ranked 304 of 365 in D1. Trending up strongly 🔴.
- Opp FG Pct (%) (Opp FGM/FGA (%)): Currently ranked 292 of 365 in D1. Trending up strongly 🔴.
Purdue
Record: 10-1 | Elo: 1720.1 (ranked 9 of 365) | Efficiency Margin: +35.31 (ranked 7 of 365)
Offensive Trends:
- Turnovers (Turnovers): Currently ranked 101 of 365 in D1. Trending up strongly 🔴.
- Off Reb Pct (Offensive Rebounding): Currently ranked 3 of 365 in D1. Trending up strongly 🟢.
Defensive Trends:
- Opp Shooting (Opp Shooting): Currently ranked 59 of 365 in D1. Trending down strongly 🟢.
- Opp FT Rate (Opp FTA/FGA (%)): Currently ranked 3 of 365 in D1. Trending down strongly 🟢.
Rutgers
Record: 5-6 | Elo: 1511.6 (ranked 165 of 365) | Efficiency Margin: -0.27 (ranked 171 of 365)
Offensive Trends:
- Shooting (Shooting): Currently ranked 290 of 365 in D1. Trending down strongly 🔴.
- Turnovers (Turnovers): Currently ranked 235 of 365 in D1. Trending up strongly 🔴.
Defensive Trends:
- Opp Shooting (Opp Shooting): Currently ranked 213 of 365 in D1. Trending up strongly 🔴.
- Def Reb Pct (Defensive Rebounding): Currently ranked 275 of 365 in D1. Trending down strongly 🔴.
UCLA
Record: 7-3 | Elo: 1619.0 (ranked 50 of 365) | Efficiency Margin: +16.04 (ranked 53 of 365)
Offensive Trends:
- 3PA Per Poss (3 Point Attempts Per Possession (%)): Currently ranked 299 of 365 in D1. Trending down strongly 🔴.
- 3Pt Pct (3 Point FGM/FGA (%)): Currently ranked 21 of 365 in D1. Trending up strongly 🟢.
Defensive Trends:
- Opp Turnovers (Opp Turnovers): Currently ranked 77 of 365 in D1. Trending down strongly 🟢.
- Def Reb Pct (Defensive Rebounding): Currently ranked 228 of 365 in D1. Trending down strongly 🔴.
USC
Record: 10-1 | Elo: 1599.1 (ranked 67 of 365) | Efficiency Margin: +18.05 (ranked 45 of 365)
Offensive Trends:
- FT Rate (FTA/FGA (%)): Currently ranked 1 of 365 in D1. Trending up strongly 🟢.
- Adj Off Eff (Adjusted Offensive Efficiency): Currently ranked 39 of 365 in D1. Trending up strongly 🟢.
Defensive Trends:
- Def Reb Pct (Defensive Rebounding): Currently ranked 173 of 365 in D1. Trending up strongly 🟢.
- Opp FGM Per Poss (Opp FG Makes Per Possession (%)): Currently ranked 89 of 365 in D1. Trending down strongly 🟢.
Washington
Record: 7-3 | Elo: 1530.0 (ranked 141 of 365) | Efficiency Margin: +14.61 (ranked 61 of 365)
Offensive Trends:
- Turnovers (Turnovers): Currently ranked 41 of 365 in D1. Trending down strongly 🟢.
- Off Reb Pct (Offensive Rebounding): Currently ranked 24 of 365 in D1. Trending up strongly 🟢.
Defensive Trends:
- Opp 2Pt Pct (Opp 2 Point FGM/FGA (%)): Currently ranked 46 of 365 in D1. Trending down strongly 🟢.
- Opp FT Pct (Opp FTM/FTA (%)): Currently ranked 117 of 365 in D1. Trending down strongly 🟢.
Wisconsin
Record: 7-3 | Elo: 1645.7 (ranked 32 of 365) | Efficiency Margin: +14.44 (ranked 63 of 365)
Offensive Trends:
- Shooting (Shooting): Currently ranked 135 of 365 in D1. Trending down strongly 🔴.
- FGM Per Poss (Field Goal Makes Per Possession (%)): Currently ranked 154 of 365 in D1. Trending down strongly 🔴.
Defensive Trends:
- Opp Shooting (Opp Shooting): Currently ranked 202 of 365 in D1. Trending up strongly 🔴.
- Opp FG Pct (%) (Opp FGM/FGA (%)): Currently ranked 184 of 365 in D1. Trending up strongly 🔴.

Figure 2: Offensive Four Factors comparison across Big Ten teams. The radar chart shows each team’s shooting efficiency (eFG%), ball security (TOV%), offensive rebounding (OREB%), and free throw generation (FT Rate).

Figure 3: Defensive Four Factors comparison across Big Ten teams. The radar chart shows each team’s opponent shooting defense (Opp eFG%), ball disruption (forcing TOV%), defensive rebounding (DREB%), and opponent free throw prevention (Opp FT Rate).

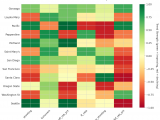
Figure 4: MACD trends heatmap showing which metrics are improving (green) or declining (red) for each team. Stronger colors indicate more pronounced trends.
Looking Ahead
As Big Ten teams continue their season, the MACD trending indicators will help identify which teams are genuinely improving versus those riding unsustainable momentum. Check back next week for updated analysis.
Metrics Glossary
Four Factors (Dean Oliver’s framework for basketball success):
- eFG% (Effective Field Goal %): Field goal percentage adjusted for 3-pointers being worth more (FGM + 0.5×3PM) / FGA. Higher is better offensively, lower is better defensively.
- TOV% (Turnover Rate): Turnovers per 100 possessions. Lower is better offensively (taking care of the ball), higher is better defensively (forcing turnovers).
- OREB% / DREB% (Offensive/Defensive Rebound Rate): Percentage of available rebounds grabbed. Offensive rebounds create second-chance points; defensive rebounds end opponent possessions.
- FTR (Free Throw Rate): Free throws made per field goal attempt (FTM/FGA). Measures ability to get to the line AND convert. Higher is better offensively, lower is better defensively.
Other Metrics:
- Elo Rating: Chess-style rating system that updates based on game results and opponent strength. Higher Elo indicates stronger team.
- Efficiency Margin: Point differential per 100 possessions (Offensive Efficiency – Defensive Efficiency). Accounts for pace of play.
- MACD (Moving Average Convergence Divergence): Trend indicator comparing 12-game and 26-game exponential moving averages. Positive MACD = improving trend, Negative MACD = declining trend.
Analysis powered by HoopSci’s advanced metrics and MACD trending indicators.

