Big West Update: Week 6
December 15, 2025The Big West enters Week 6 with teams showing diverse trending patterns. This analysis examines each team’s performance trends using MACD (Moving Average Convergence Divergence) indicators to identify not just where teams stand, but where they’re headed.

Figure 1: Efficiency margin trends for Big West teams throughout the season. Teams trending upward show improving performance, while downward trends indicate struggles.
Conference Snapshot
- Week Dates: December 08 – December 14, 2025
- Trending Up (Efficiency): Cal Poly, CSU Fullerton, CSU Northridge, Hawai’i, Long Beach St
- Trending Down (Efficiency): UC Irvine, UC Riverside, UCSB, CSU Bakersfield
Team-by-Team Analysis
CSU Bakersfield
Record: 4-8 | Elo: 1406.5 (ranked 305 of 365) | Efficiency Margin: -17.18 (ranked 298 of 365)
Offensive Trends:
- Shooting (Shooting): Currently ranked 339 of 365 in D1. Trending down strongly 🔴.
- Turnovers (Turnovers): Currently ranked 343 of 365 in D1. Trending up strongly 🔴.
Defensive Trends:
- Def Reb Pct (Defensive Rebounding): Currently ranked 329 of 365 in D1. Trending down strongly 🔴.
- Opp FGA Per Poss (Opp FG Attempts Per Possession (%)): Currently ranked 136 of 365 in D1. Trending up strongly 🔴.
CSU Fullerton
Record: 5-7 | Elo: 1367.9 (ranked 345 of 365) | Efficiency Margin: -11.19 (ranked 256 of 365)
Offensive Trends:
- Shooting (Shooting): Currently ranked 208 of 365 in D1. Trending up strongly 🟢.
- Turnovers (Turnovers): Currently ranked 23 of 365 in D1. Trending down strongly 🟢.
Defensive Trends:
- Opp FGM Per Poss (Opp FG Makes Per Possession (%)): Currently ranked 157 of 365 in D1. Trending down strongly 🟢.
- Opp FGA Per Poss (Opp FG Attempts Per Possession (%)): Currently ranked 53 of 365 in D1. Trending down strongly 🟢.
CSU Northridge
Record: 6-5 | Elo: 1529.3 (ranked 143 of 365) | Efficiency Margin: -14.29 (ranked 283 of 365)
Offensive Trends:
- Turnovers (Turnovers): Currently ranked 251 of 365 in D1. Trending down strongly 🟢.
- Off Reb Pct (Offensive Rebounding): Currently ranked 130 of 365 in D1. Trending down strongly 🔴.
Defensive Trends:
- Def Reb Pct (Defensive Rebounding): Currently ranked 96 of 365 in D1. Trending down strongly 🔴.
- Opp FT Rate (Opp FTA/FGA (%)): Currently ranked 151 of 365 in D1. Trending down strongly 🟢.
Cal Poly
Record: 5-6 | Elo: 1438.2 (ranked 269 of 365) | Efficiency Margin: -13.20 (ranked 274 of 365)
Offensive Trends:
- Off Reb Pct (Offensive Rebounding): Currently ranked 225 of 365 in D1. Trending up strongly 🟢.
- FT Rate (FTA/FGA (%)): Currently ranked 124 of 365 in D1. Trending up strongly 🟢.
Defensive Trends:
- Opp Turnovers (Opp Turnovers): Currently ranked 238 of 365 in D1. Trending down strongly 🟢.
- Def Reb Pct (Defensive Rebounding): Currently ranked 114 of 365 in D1. Trending up strongly 🟢.
Hawai’i
Record: 10-2 | Elo: 1504.3 (ranked 183 of 365) | Efficiency Margin: +8.10 (ranked 103 of 365)
Offensive Trends:
- Turnovers (Turnovers): Currently ranked 301 of 365 in D1. Trending down strongly 🟢.
- Off Reb Pct (Offensive Rebounding): Currently ranked 190 of 365 in D1. Trending up strongly 🟢.
Defensive Trends:
- Opp Shooting (Opp Shooting): Currently ranked 4 of 365 in D1. Trending down strongly 🟢.
- Opp FGM Per Poss (Opp FG Makes Per Possession (%)): Currently ranked 10 of 365 in D1. Trending down strongly 🟢.
Long Beach St
Record: 2-9 | Elo: 1353.7 (ranked 353 of 365) | Efficiency Margin: -17.78 (ranked 304 of 365)
Offensive Trends:
- Turnovers (Turnovers): Currently ranked 202 of 365 in D1. Trending down strongly 🟢.
- Off Reb Pct (Offensive Rebounding): Currently ranked 188 of 365 in D1. Trending up strongly 🟢.
Defensive Trends:
- Opp Shooting (Opp Shooting): Currently ranked 340 of 365 in D1. Trending up strongly 🔴.
- Def Reb Pct (Defensive Rebounding): Currently ranked 127 of 365 in D1. Trending up strongly 🟢.
UC Davis
Record: 5-4 | Elo: 1488.2 (ranked 207 of 365) | Efficiency Margin: -2.80 (ranked 190 of 365)
Offensive Trends:
- Off Reb Pct (Offensive Rebounding): Currently ranked 326 of 365 in D1. Trending down strongly 🔴.
- Adj Off Eff (Adjusted Offensive Efficiency): Currently ranked 211 of 365 in D1. Trending up strongly 🟢.
Defensive Trends:
- Opp Shooting (Opp Shooting): Currently ranked 231 of 365 in D1. Trending up strongly 🔴.
- Opp FGM Per Poss (Opp FG Makes Per Possession (%)): Currently ranked 179 of 365 in D1. Trending up strongly 🔴.
UC Irvine
Record: 7-4 | Elo: 1628.2 (ranked 43 of 365) | Efficiency Margin: +0.47 (ranked 161 of 365)
Offensive Trends:
- Adj Off Eff (Adjusted Offensive Efficiency): Currently ranked 323 of 365 in D1. Trending down strongly 🔴.
- 2Pt Rate (2 Point Attempts/FGA (%)): Currently ranked 10 of 365 in D1. Trending up strongly 🟢.
Defensive Trends:
- Opp Shooting (Opp Shooting): Currently ranked 2 of 365 in D1. Trending down strongly 🟢.
- Opp FT Rate (Opp FTA/FGA (%)): Currently ranked 82 of 365 in D1. Trending up strongly 🔴.
UC Riverside
Record: 5-6 | Elo: 1526.1 (ranked 150 of 365) | Efficiency Margin: -17.00 (ranked 296 of 365)
Offensive Trends:
- Off Reb Pct (Offensive Rebounding): Currently ranked 311 of 365 in D1. Trending down strongly 🔴.
- FGA Per Poss (Field Goal Attempts Per Possession (%)): Currently ranked 305 of 365 in D1. Trending down strongly 🔴.
Defensive Trends:
- Opp Shooting (Opp Shooting): Currently ranked 254 of 365 in D1. Trending up strongly 🔴.
- Opp FT Rate (Opp FTA/FGA (%)): Currently ranked 217 of 365 in D1. Trending up strongly 🔴.
UC San Diego
Record: 9-1 | Elo: 1666.0 (ranked 22 of 365) | Efficiency Margin: +13.92 (ranked 65 of 365)
Offensive Trends:
- 2Pt Rate (2 Point Attempts/FGA (%)): Currently ranked 270 of 365 in D1. Trending up strongly 🟢.
- 2PM Per Poss (2 Point Makes Per Possession (%)): Currently ranked 151 of 365 in D1. Trending up strongly 🟢.
Defensive Trends:
- Opp Turnovers (Opp Turnovers): Currently ranked 236 of 365 in D1. Trending down strongly 🟢.
- Opp FGM Per Poss (Opp FG Makes Per Possession (%)): Currently ranked 146 of 365 in D1. Trending up strongly 🔴.
UCSB
Record: 8-3 | Elo: 1538.3 (ranked 129 of 365) | Efficiency Margin: -5.93 (ranked 213 of 365)
Offensive Trends:
- Shooting (Shooting): Currently ranked 152 of 365 in D1. Trending down strongly 🔴.
- Turnovers (Turnovers): Currently ranked 218 of 365 in D1. Trending up strongly 🔴.
Defensive Trends:
- Opp FT Rate (Opp FTA/FGA (%)): Currently ranked 337 of 365 in D1. Trending up strongly 🔴.
- Opp FGA Per Poss (Opp FG Attempts Per Possession (%)): Currently ranked 27 of 365 in D1. Trending down strongly 🟢.

Figure 2: Offensive Four Factors comparison across Big West teams. The radar chart shows each team’s shooting efficiency (eFG%), ball security (TOV%), offensive rebounding (OREB%), and free throw generation (FT Rate).

Figure 3: Defensive Four Factors comparison across Big West teams. The radar chart shows each team’s opponent shooting defense (Opp eFG%), ball disruption (forcing TOV%), defensive rebounding (DREB%), and opponent free throw prevention (Opp FT Rate).

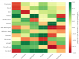
Figure 4: MACD trends heatmap showing which metrics are improving (green) or declining (red) for each team. Stronger colors indicate more pronounced trends.
Looking Ahead
As Big West teams continue their season, the MACD trending indicators will help identify which teams are genuinely improving versus those riding unsustainable momentum. Check back next week for updated analysis.
Metrics Glossary
Four Factors (Dean Oliver’s framework for basketball success):
- eFG% (Effective Field Goal %): Field goal percentage adjusted for 3-pointers being worth more (FGM + 0.5×3PM) / FGA. Higher is better offensively, lower is better defensively.
- TOV% (Turnover Rate): Turnovers per 100 possessions. Lower is better offensively (taking care of the ball), higher is better defensively (forcing turnovers).
- OREB% / DREB% (Offensive/Defensive Rebound Rate): Percentage of available rebounds grabbed. Offensive rebounds create second-chance points; defensive rebounds end opponent possessions.
- FTR (Free Throw Rate): Free throws made per field goal attempt (FTM/FGA). Measures ability to get to the line AND convert. Higher is better offensively, lower is better defensively.
Other Metrics:
- Elo Rating: Chess-style rating system that updates based on game results and opponent strength. Higher Elo indicates stronger team.
- Efficiency Margin: Point differential per 100 possessions (Offensive Efficiency – Defensive Efficiency). Accounts for pace of play.
- MACD (Moving Average Convergence Divergence): Trend indicator comparing 12-game and 26-game exponential moving averages. Positive MACD = improving trend, Negative MACD = declining trend.
Analysis powered by HoopSci’s advanced metrics and MACD trending indicators.

