Coastal Update: Week 6
December 15, 2025The Colonial enters Week 6 with teams showing diverse trending patterns. This analysis examines each team’s performance trends using MACD (Moving Average Convergence Divergence) indicators to identify not just where teams stand, but where they’re headed.

Figure 1: Efficiency margin trends for Colonial teams throughout the season. Teams trending upward show improving performance, while downward trends indicate struggles.
Conference Snapshot
- Week Dates: December 08 – December 14, 2025
- Trending Up (Efficiency): Elon, Hofstra, Northeastern, Towson, William & Mary
- Trending Down (Efficiency): Charleston, Drexel, UNC Wilmington, Hampton, Monmouth
Team-by-Team Analysis
Campbell
Record: 4-5 | Elo: 1461.1 (ranked 241 of 365) | Efficiency Margin: -9.36 (ranked 239 of 365)
Offensive Trends:
- Shooting (Shooting): Currently ranked 322 of 365 in D1. Trending down strongly 🔴.
- Turnovers (Turnovers): Currently ranked 292 of 365 in D1. Trending up strongly 🔴.
Defensive Trends:
- Opp 2Pt Rate (Opp 2 Point Attempts/FGA (%)): Currently ranked 351 of 365 in D1. Trending up strongly 🔴.
- Opp 2PM Per Poss (Opp 2 Point Makes Per Possession (%)): Currently ranked 346 of 365 in D1. Trending up strongly 🔴.
Charleston
Record: 5-6 | Elo: 1578.0 (ranked 89 of 365) | Efficiency Margin: -5.04 (ranked 206 of 365)
Offensive Trends:
- Shooting (Shooting): Currently ranked 266 of 365 in D1. Trending down strongly 🔴.
- FGM Per Poss (Field Goal Makes Per Possession (%)): Currently ranked 282 of 365 in D1. Trending down strongly 🔴.
Defensive Trends:
- Opp 2Pt Rate (Opp 2 Point Attempts/FGA (%)): Currently ranked 101 of 365 in D1. Trending down strongly 🟢.
- Opp 3Pt Rate (Opp 3 Point Attempts/FGA (%)): Currently ranked 265 of 365 in D1. Trending up strongly 🔴.
Drexel
Record: 4-6 | Elo: 1488.8 (ranked 206 of 365) | Efficiency Margin: -7.26 (ranked 221 of 365)
Offensive Trends:
- Shooting (Shooting): Currently ranked 292 of 365 in D1. Trending down strongly 🔴.
- FG Pct (Field Goal Percentage (FGM/FGA)): Currently ranked 318 of 365 in D1. Trending down strongly 🔴.
Defensive Trends:
- Opp FT Rate (Opp FTA/FGA (%)): Currently ranked 293 of 365 in D1. Trending up strongly 🔴.
- Opp FTM Per Poss (Opp Free Throw Makes Per Possession (%)): Currently ranked 311 of 365 in D1. Trending up strongly 🔴.
Elon
Record: 6-4 | Elo: 1470.4 (ranked 228 of 365) | Efficiency Margin: +4.10 (ranked 130 of 365)
Offensive Trends:
- Turnovers (Turnovers): Currently ranked 71 of 365 in D1. Trending down strongly 🟢.
- Adj Off Eff (Adjusted Offensive Efficiency): Currently ranked 42 of 365 in D1. Trending up strongly 🟢.
Defensive Trends:
- Opp FT Rate (Opp FTA/FGA (%)): Currently ranked 221 of 365 in D1. Trending up strongly 🔴.
- Opp FGM Per Poss (Opp FG Makes Per Possession (%)): Currently ranked 232 of 365 in D1. Trending down strongly 🟢.
Hampton
Record: 5-6 | Elo: 1437.9 (ranked 271 of 365) | Efficiency Margin: -9.91 (ranked 246 of 365)
Offensive Trends:
- Off Reb Pct (Offensive Rebounding): Currently ranked 103 of 365 in D1. Trending up strongly 🟢.
- FT Rate (FTA/FGA (%)): Currently ranked 19 of 365 in D1. Trending up strongly 🟢.
Defensive Trends:
- Opp Shooting (Opp Shooting): Currently ranked 160 of 365 in D1. Trending down strongly 🟢.
- Opp FT Rate (Opp FTA/FGA (%)): Currently ranked 325 of 365 in D1. Trending up strongly 🔴.
Hofstra
Record: 8-4 | Elo: 1534.5 (ranked 135 of 365) | Efficiency Margin: +15.87 (ranked 55 of 365)
Offensive Trends:
- Shooting (Shooting): Currently ranked 104 of 365 in D1. Trending up strongly 🟢.
- Off Reb Pct (Offensive Rebounding): Currently ranked 109 of 365 in D1. Trending up strongly 🟢.
Defensive Trends:
- Def Reb Pct (Defensive Rebounding): Currently ranked 205 of 365 in D1. Trending down strongly 🔴.
- Opp FGM Per Poss (Opp FG Makes Per Possession (%)): Currently ranked 92 of 365 in D1. Trending up strongly 🔴.
Monmouth
Record: 5-6 | Elo: 1480.7 (ranked 217 of 365) | Efficiency Margin: +0.47 (ranked 160 of 365)
Offensive Trends:
- FT Rate (FTA/FGA (%)): Currently ranked 113 of 365 in D1. Trending down strongly 🔴.
- FGM Per Poss (Field Goal Makes Per Possession (%)): Currently ranked 243 of 365 in D1. Trending up strongly 🟢.
Defensive Trends:
- Opp FT Rate (Opp FTA/FGA (%)): Currently ranked 158 of 365 in D1. Trending down strongly 🟢.
- Opp 2Pt Rate (Opp 2 Point Attempts/FGA (%)): Currently ranked 276 of 365 in D1. Trending up strongly 🔴.
NC A&T
Record: 4-4 | Elo: 1379.2 (ranked 332 of 365) | Efficiency Margin: -8.66 (ranked 231 of 365)
Offensive Trends:
- Turnovers (Turnovers): Currently ranked 293 of 365 in D1. Trending up strongly 🔴.
- Off Reb Pct (Offensive Rebounding): Currently ranked 186 of 365 in D1. Trending up strongly 🟢.
Defensive Trends:
- Opp FT Rate (Opp FTA/FGA (%)): Currently ranked 296 of 365 in D1. Trending up strongly 🔴.
- Opp FGM Per Poss (Opp FG Makes Per Possession (%)): Currently ranked 150 of 365 in D1. Trending down strongly 🟢.
Northeastern
Record: 4-5 | Elo: 1490.1 (ranked 203 of 365) | Efficiency Margin: -1.68 (ranked 183 of 365)
Offensive Trends:
- Turnovers (Turnovers): Currently ranked 272 of 365 in D1. Trending up strongly 🔴.
- Off Reb Pct (Offensive Rebounding): Currently ranked 249 of 365 in D1. Trending down strongly 🔴.
Defensive Trends:
- Def Reb Pct (Defensive Rebounding): Currently ranked 78 of 365 in D1. Trending up strongly 🟢.
- Opp FGA Per Poss (Opp FG Attempts Per Possession (%)): Currently ranked 50 of 365 in D1. Trending down strongly 🟢.
Stony Brook
Record: 8-3 | Elo: 1456.6 (ranked 249 of 365) | Efficiency Margin: -5.65 (ranked 210 of 365)
Offensive Trends:
- Shooting (Shooting): Currently ranked 163 of 365 in D1. Trending up strongly 🟢.
- Adj Off Eff (Adjusted Offensive Efficiency): Currently ranked 207 of 365 in D1. Trending up strongly 🟢.
Defensive Trends:
- Opp Shooting (Opp Shooting): Currently ranked 126 of 365 in D1. Trending down strongly 🟢.
- Opp FGM Per Poss (Opp FG Makes Per Possession (%)): Currently ranked 111 of 365 in D1. Trending down strongly 🟢.
Towson
Record: 6-4 | Elo: 1591.3 (ranked 75 of 365) | Efficiency Margin: -3.10 (ranked 192 of 365)
Offensive Trends:
- 2PM Per Poss (2 Point Makes Per Possession (%)): Currently ranked 55 of 365 in D1. Trending up strongly 🟢.
- 2Pt Pct (2 Point FGM/FGA (%)): Currently ranked 204 of 365 in D1. Trending up strongly 🟢.
Defensive Trends:
- Opp Shooting (Opp Shooting): Currently ranked 250 of 365 in D1. Trending up strongly 🔴.
- Opp Turnovers (Opp Turnovers): Currently ranked 301 of 365 in D1. Trending down strongly 🟢.
UNC Wilmington
Record: 10-1 | Elo: 1652.5 (ranked 27 of 365) | Efficiency Margin: +13.22 (ranked 75 of 365)
Offensive Trends:
- FT Rate (FTA/FGA (%)): Currently ranked 41 of 365 in D1. Trending up strongly 🟢.
- FG Pct (Field Goal Percentage (FGM/FGA)): Currently ranked 152 of 365 in D1. Trending down strongly 🔴.
Defensive Trends:
- Opp Shooting (Opp Shooting): Currently ranked 42 of 365 in D1. Trending down strongly 🟢.
- Opp Turnovers (Opp Turnovers): Currently ranked 277 of 365 in D1. Trending down strongly 🟢.
William & Mary
Record: 8-3 | Elo: 1512.3 (ranked 163 of 365) | Efficiency Margin: +8.30 (ranked 102 of 365)
Offensive Trends:
- Shooting (Shooting): Currently ranked 50 of 365 in D1. Trending up strongly 🟢.
- FGA Per Poss (Field Goal Attempts Per Possession (%)): Currently ranked 359 of 365 in D1. Trending down strongly 🔴.
Defensive Trends:
- Opp Turnovers (Opp Turnovers): Currently ranked 43 of 365 in D1. Trending up strongly 🔴.
- Opp 2Pt Pct (Opp 2 Point FGM/FGA (%)): Currently ranked 286 of 365 in D1. Trending up strongly 🔴.

Figure 2: Offensive Four Factors comparison across Colonial teams. The radar chart shows each team’s shooting efficiency (eFG%), ball security (TOV%), offensive rebounding (OREB%), and free throw generation (FT Rate).

Figure 3: Defensive Four Factors comparison across Colonial teams. The radar chart shows each team’s opponent shooting defense (Opp eFG%), ball disruption (forcing TOV%), defensive rebounding (DREB%), and opponent free throw prevention (Opp FT Rate).

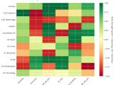
Figure 4: MACD trends heatmap showing which metrics are improving (green) or declining (red) for each team. Stronger colors indicate more pronounced trends.
Looking Ahead
As Colonial teams continue their season, the MACD trending indicators will help identify which teams are genuinely improving versus those riding unsustainable momentum. Check back next week for updated analysis.
Metrics Glossary
Four Factors (Dean Oliver’s framework for basketball success):
- eFG% (Effective Field Goal %): Field goal percentage adjusted for 3-pointers being worth more (FGM + 0.5×3PM) / FGA. Higher is better offensively, lower is better defensively.
- TOV% (Turnover Rate): Turnovers per 100 possessions. Lower is better offensively (taking care of the ball), higher is better defensively (forcing turnovers).
- OREB% / DREB% (Offensive/Defensive Rebound Rate): Percentage of available rebounds grabbed. Offensive rebounds create second-chance points; defensive rebounds end opponent possessions.
- FTR (Free Throw Rate): Free throws made per field goal attempt (FTM/FGA). Measures ability to get to the line AND convert. Higher is better offensively, lower is better defensively.
Other Metrics:
- Elo Rating: Chess-style rating system that updates based on game results and opponent strength. Higher Elo indicates stronger team.
- Efficiency Margin: Point differential per 100 possessions (Offensive Efficiency – Defensive Efficiency). Accounts for pace of play.
- MACD (Moving Average Convergence Divergence): Trend indicator comparing 12-game and 26-game exponential moving averages. Positive MACD = improving trend, Negative MACD = declining trend.
Analysis powered by HoopSci’s advanced metrics and MACD trending indicators.

