Conference USA Update: Week 6
December 15, 2025The Conference USA enters Week 6 with teams showing diverse trending patterns. This analysis examines each team’s performance trends using MACD (Moving Average Convergence Divergence) indicators to identify not just where teams stand, but where they’re headed.

Figure 1: Efficiency margin trends for Conference USA teams throughout the season. Teams trending upward show improving performance, while downward trends indicate struggles.
Conference Snapshot
- Week Dates: December 08 – December 14, 2025
- Trending Up (Efficiency): FIU, LA Tech, Sam Houston, Kennesaw State
- Trending Down (Efficiency): Mid Tennessee, UTEP, W Kentucky, Jacksonville St, Liberty
Team-by-Team Analysis
Delaware
Record: 3-6 | Elo: 1462.8 (ranked 239 of 365) | Efficiency Margin: -8.84 (ranked 235 of 365)
Offensive Trends:
- Turnovers (Turnovers): Currently ranked 278 of 365 in D1. Trending up strongly 🔴.
- FGM Per Poss (Field Goal Makes Per Possession (%)): Currently ranked 216 of 365 in D1. Trending down strongly 🔴.
Defensive Trends:
- Opp FGM Per Poss (Opp FG Makes Per Possession (%)): Currently ranked 230 of 365 in D1. Trending down strongly 🟢.
- Opp FG Pct (%) (Opp FGM/FGA (%)): Currently ranked 147 of 365 in D1. Trending down strongly 🟢.
FIU
Record: 5-3 | Elo: 1418.3 (ranked 293 of 365) | Efficiency Margin: -4.66 (ranked 204 of 365)
Offensive Trends:
- Shooting (Shooting): Currently ranked 189 of 365 in D1. Trending up strongly 🟢.
- Turnovers (Turnovers): Currently ranked 125 of 365 in D1. Trending down strongly 🟢.
Defensive Trends:
- Opp Shooting (Opp Shooting): Currently ranked 141 of 365 in D1. Trending down strongly 🟢.
- Def Reb Pct (Defensive Rebounding): Currently ranked 355 of 365 in D1. Trending down strongly 🔴.
Jacksonville St
Record: 4-5 | Elo: 1493.1 (ranked 197 of 365) | Efficiency Margin: -17.44 (ranked 301 of 365)
Offensive Trends:
- Off Reb Pct (Offensive Rebounding): Currently ranked 177 of 365 in D1. Trending up strongly 🟢.
- Adj Off Eff (Adjusted Offensive Efficiency): Currently ranked 331 of 365 in D1. Trending down strongly 🔴.
Defensive Trends:
- Opp FT Rate (Opp FTA/FGA (%)): Currently ranked 257 of 365 in D1. Trending up strongly 🔴.
- Opp FTM Per Poss (Opp Free Throw Makes Per Possession (%)): Currently ranked 328 of 365 in D1. Trending up strongly 🔴.
Kennesaw State
Record: 8-2 | Elo: 1530.0 (ranked 142 of 365) | Efficiency Margin: -1.87 (ranked 184 of 365)
Offensive Trends:
- Shooting (Shooting): Currently ranked 111 of 365 in D1. Trending up strongly 🟢.
- Off Reb Pct (Offensive Rebounding): Currently ranked 67 of 365 in D1. Trending up strongly 🟢.
Defensive Trends:
- Opp FT Rate (Opp FTA/FGA (%)): Currently ranked 361 of 365 in D1. Trending up strongly 🔴.
- Opp FGM Per Poss (Opp FG Makes Per Possession (%)): Currently ranked 8 of 365 in D1. Trending down strongly 🟢.
LA Tech
Record: 6-3 | Elo: 1545.8 (ranked 121 of 365) | Efficiency Margin: -1.04 (ranked 179 of 365)
Offensive Trends:
- Shooting (Shooting): Currently ranked 303 of 365 in D1. Trending up strongly 🟢.
- Off Reb Pct (Offensive Rebounding): Currently ranked 59 of 365 in D1. Trending up strongly 🟢.
Defensive Trends:
- Opp Turnovers (Opp Turnovers): Currently ranked 161 of 365 in D1. Trending up strongly 🔴.
- Opp 2Pt Rate (Opp 2 Point Attempts/FGA (%)): Currently ranked 29 of 365 in D1. Trending down strongly 🟢.
Liberty
Record: 6-3 | Elo: 1609.1 (ranked 58 of 365) | Efficiency Margin: +6.56 (ranked 117 of 365)
Offensive Trends:
- FT Rate (FTA/FGA (%)): Currently ranked 348 of 365 in D1. Trending down strongly 🔴.
- Adj Off Eff (Adjusted Offensive Efficiency): Currently ranked 80 of 365 in D1. Trending up strongly 🟢.
Defensive Trends:
- Opp Shooting (Opp Shooting): Currently ranked 205 of 365 in D1. Trending up strongly 🔴.
- Opp 3PM Per Poss (Opp 3 Point Makes Per Possession (%)): Currently ranked 149 of 365 in D1. Trending up strongly 🔴.
Mid Tennessee
Record: 5-4 | Elo: 1543.3 (ranked 123 of 365) | Efficiency Margin: -5.09 (ranked 207 of 365)
Offensive Trends:
- FT Rate (FTA/FGA (%)): Currently ranked 339 of 365 in D1. Trending down strongly 🔴.
- FGA Per Poss (Field Goal Attempts Per Possession (%)): Currently ranked 4 of 365 in D1. Trending up strongly 🟢.
Defensive Trends:
- Opp Turnovers (Opp Turnovers): Currently ranked 345 of 365 in D1. Trending down strongly 🟢.
- Opp FGM Per Poss (Opp FG Makes Per Possession (%)): Currently ranked 283 of 365 in D1. Trending up strongly 🔴.
Missouri State
Record: 3-5 | Elo: 1399.1 (ranked 316 of 365) | Efficiency Margin: -21.98 (ranked 325 of 365)
Offensive Trends:
- Adj Off Eff (Adjusted Offensive Efficiency): Currently ranked 311 of 365 in D1. Trending down strongly 🔴.
- FGM Per Poss (Field Goal Makes Per Possession (%)): Currently ranked 297 of 365 in D1. Trending down strongly 🔴.
Defensive Trends:
- Def Reb Pct (Defensive Rebounding): Currently ranked 327 of 365 in D1. Trending down strongly 🔴.
- Opp FGM Per Poss (Opp FG Makes Per Possession (%)): Currently ranked 305 of 365 in D1. Trending up strongly 🔴.
New Mexico St
Record: 6-3 | Elo: 1512.0 (ranked 164 of 365) | Efficiency Margin: +2.08 (ranked 143 of 365)
Offensive Trends:
- FT Rate (FTA/FGA (%)): Currently ranked 84 of 365 in D1. Trending up strongly 🟢.
- Adj Off Eff (Adjusted Offensive Efficiency): Currently ranked 162 of 365 in D1. Trending up strongly 🟢.
Defensive Trends:
- Opp FT Rate (Opp FTA/FGA (%)): Currently ranked 350 of 365 in D1. Trending up strongly 🔴.
- Opp FGM Per Poss (Opp FG Makes Per Possession (%)): Currently ranked 14 of 365 in D1. Trending down strongly 🟢.
Sam Houston
Record: 6-3 | Elo: 1525.0 (ranked 151 of 365) | Efficiency Margin: +5.80 (ranked 122 of 365)
Offensive Trends:
- Off Reb Pct (Offensive Rebounding): Currently ranked 34 of 365 in D1. Trending up strongly 🟢.
- Adj Off Eff (Adjusted Offensive Efficiency): Currently ranked 81 of 365 in D1. Trending up strongly 🟢.
Defensive Trends:
- Opp FT Rate (Opp FTA/FGA (%)): Currently ranked 347 of 365 in D1. Trending up strongly 🔴.
- Opp FGA Per Poss (Opp FG Attempts Per Possession (%)): Currently ranked 54 of 365 in D1. Trending down strongly 🟢.
UTEP
Record: 3-6 | Elo: 1452.5 (ranked 254 of 365) | Efficiency Margin: -21.15 (ranked 321 of 365)
Offensive Trends:
- FT Rate (FTA/FGA (%)): Currently ranked 340 of 365 in D1. Trending down strongly 🔴.
- Adj Off Eff (Adjusted Offensive Efficiency): Currently ranked 353 of 365 in D1. Trending down strongly 🔴.
Defensive Trends:
- Opp Turnovers (Opp Turnovers): Currently ranked 71 of 365 in D1. Trending down strongly 🟢.
- Opp FTM Per Poss (Opp Free Throw Makes Per Possession (%)): Currently ranked 310 of 365 in D1. Trending up strongly 🔴.
W Kentucky
Record: 6-3 | Elo: 1523.3 (ranked 153 of 365) | Efficiency Margin: +2.76 (ranked 138 of 365)
Offensive Trends:
- Shooting (Shooting): Currently ranked 285 of 365 in D1. Trending down strongly 🔴.
- Off Reb Pct (Offensive Rebounding): Currently ranked 167 of 365 in D1. Trending up strongly 🟢.
Defensive Trends:
- Opp 3Pt Pct (Opp 3 Point FGM/FGA (%)): Currently ranked 274 of 365 in D1. Trending up strongly 🔴.
- Opp Off Tempo (Opp Offensive Possessions Per Game): Currently ranked 11 of 365 in D1. Trending up strongly 🔴.

Figure 2: Offensive Four Factors comparison across Conference USA teams. The radar chart shows each team’s shooting efficiency (eFG%), ball security (TOV%), offensive rebounding (OREB%), and free throw generation (FT Rate).

Figure 3: Defensive Four Factors comparison across Conference USA teams. The radar chart shows each team’s opponent shooting defense (Opp eFG%), ball disruption (forcing TOV%), defensive rebounding (DREB%), and opponent free throw prevention (Opp FT Rate).

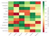
Figure 4: MACD trends heatmap showing which metrics are improving (green) or declining (red) for each team. Stronger colors indicate more pronounced trends.
Looking Ahead
As Conference USA teams continue their season, the MACD trending indicators will help identify which teams are genuinely improving versus those riding unsustainable momentum. Check back next week for updated analysis.
Metrics Glossary
Four Factors (Dean Oliver’s framework for basketball success):
- eFG% (Effective Field Goal %): Field goal percentage adjusted for 3-pointers being worth more (FGM + 0.5×3PM) / FGA. Higher is better offensively, lower is better defensively.
- TOV% (Turnover Rate): Turnovers per 100 possessions. Lower is better offensively (taking care of the ball), higher is better defensively (forcing turnovers).
- OREB% / DREB% (Offensive/Defensive Rebound Rate): Percentage of available rebounds grabbed. Offensive rebounds create second-chance points; defensive rebounds end opponent possessions.
- FTR (Free Throw Rate): Free throws made per field goal attempt (FTM/FGA). Measures ability to get to the line AND convert. Higher is better offensively, lower is better defensively.
Other Metrics:
- Elo Rating: Chess-style rating system that updates based on game results and opponent strength. Higher Elo indicates stronger team.
- Efficiency Margin: Point differential per 100 possessions (Offensive Efficiency – Defensive Efficiency). Accounts for pace of play.
- MACD (Moving Average Convergence Divergence): Trend indicator comparing 12-game and 26-game exponential moving averages. Positive MACD = improving trend, Negative MACD = declining trend.
Analysis powered by HoopSci’s advanced metrics and MACD trending indicators.

