Big East Update: Week 7

Big East Update: Week 7

December 23, 2025 0 By Neill White

The Big East enters Week 7 with teams showing diverse trending patterns. This analysis examines each team’s performance trends using MACD (Moving Average Convergence Divergence) indicators to identify not just where teams stand, but where they’re headed.


Figure 1: Efficiency margin trends for Big East teams throughout the season. Teams trending upward show improving performance, while downward trends indicate struggles.

Conference Snapshot


Team-by-Team Analysis

Butler

Record: 9-3 | Elo: 1549.4 (ranked 116 of 365) | Efficiency Margin: +17.27 (ranked 48 of 365)

Offensive Trends:

  • Shooting (Shooting): Currently ranked 109 of 365 in D1. Trending down strongly 🔴.
  • Off Reb Pct (Offensive Rebounding): Currently ranked 28 of 365 in D1. Trending up strongly 🟢.

Defensive Trends:

  • Opp 2Pt Rate (Opp 2 Point Attempts/FGA (%)): Currently ranked 356 of 365 in D1. Trending up strongly 🔴.
  • Opp 3Pt Rate (Opp 3 Point Attempts/FGA (%)): Currently ranked 10 of 365 in D1. Trending down strongly 🟢.

Creighton

Record: 7-5 | Elo: 1643.4 (ranked 33 of 365) | Efficiency Margin: +16.99 (ranked 50 of 365)

Offensive Trends:

  • 3PM Per Poss (3 Point Makes Per Possession (%)): Currently ranked 28 of 365 in D1. Trending up strongly 🟢.
  • Adj Def Eff (Adjusted Defensive Efficiency): Currently ranked 48 of 365 in D1. Trending up strongly 🟢.

Defensive Trends:

  • Opp Turnovers (Opp Turnovers): Currently ranked 300 of 365 in D1. Trending up strongly 🔴.
  • Opp FT Rate (Opp FTA/FGA (%)): Currently ranked 1 of 365 in D1. Trending up strongly 🔴.

DePaul

Record: 8-5 | Elo: 1455.2 (ranked 246 of 365) | Efficiency Margin: +6.74 (ranked 116 of 365)

Offensive Trends:

  • 2Pt Rate (2 Point Attempts/FGA (%)): Currently ranked 174 of 365 in D1. Trending up strongly 🟢.
  • 2PA Per Poss (2 Point Attempts Per Possession (%)): Currently ranked 216 of 365 in D1. Trending up strongly 🟢.

Defensive Trends:

  • Opp Turnovers (Opp Turnovers): Currently ranked 55 of 365 in D1. Trending up strongly 🔴.
  • Def Reb Pct (Defensive Rebounding): Currently ranked 172 of 365 in D1. Trending down strongly 🔴.

Georgetown

Record: 8-4 | Elo: 1515.0 (ranked 165 of 365) | Efficiency Margin: +12.31 (ranked 73 of 365)

Offensive Trends:

  • FT Rate (FTA/FGA (%)): Currently ranked 33 of 365 in D1. Trending up strongly 🟢.
  • Adj Off Eff (Adjusted Offensive Efficiency): Currently ranked 67 of 365 in D1. Trending up strongly 🟢.

Defensive Trends:

  • Opp FGA Per Poss (Opp FG Attempts Per Possession (%)): Currently ranked 152 of 365 in D1. Trending up strongly 🔴.
  • Opp Turnovers (Opp Turnovers): Currently ranked 214 of 365 in D1. Trending down moderately 🟢.

Marquette

Record: 5-8 | Elo: 1576.3 (ranked 92 of 365) | Efficiency Margin: +5.85 (ranked 122 of 365)

Offensive Trends:

  • Shooting (Shooting): Currently ranked 285 of 365 in D1. Trending down strongly 🔴.
  • Adj Off Eff (Adjusted Offensive Efficiency): Currently ranked 140 of 365 in D1. Trending down strongly 🔴.

Defensive Trends:

  • Opp Shooting (Opp Shooting): Currently ranked 219 of 365 in D1. Trending up strongly 🔴.
  • Opp Turnovers (Opp Turnovers): Currently ranked 89 of 365 in D1. Trending down strongly 🟢.

Providence

Record: 7-6 | Elo: 1493.9 (ranked 197 of 365) | Efficiency Margin: +15.62 (ranked 54 of 365)

Offensive Trends:

  • FT Rate (FTA/FGA (%)): Currently ranked 214 of 365 in D1. Trending up strongly 🟢.
  • Adj Off Eff (Adjusted Offensive Efficiency): Currently ranked 26 of 365 in D1. Trending up strongly 🟢.

Defensive Trends:

  • Opp FTA Per Poss (Opp Free Throw Attempts Per Possession (%)): Currently ranked 122 of 365 in D1. Trending up strongly 🔴.
  • Opp Off Tempo (Opp Offensive Possessions Per Game): Currently ranked 13 of 365 in D1. Trending up strongly 🔴.

Seton Hall

Record: 10-1 | Elo: 1549.2 (ranked 117 of 365) | Efficiency Margin: +25.31 (ranked 26 of 365)

Offensive Trends:

  • Shooting (Shooting): Currently ranked 141 of 365 in D1. Trending up strongly 🟢.
  • Adj Off Eff (Adjusted Offensive Efficiency): Currently ranked 62 of 365 in D1. Trending up strongly 🟢.

Defensive Trends:

  • Opp Shooting (Opp Shooting): Currently ranked 14 of 365 in D1. Trending down strongly 🟢.
  • Opp FT Rate (Opp FTA/FGA (%)): Currently ranked 329 of 365 in D1. Trending up strongly 🔴.

St John’s

Record: 7-4 | Elo: 1672.1 (ranked 21 of 365) | Efficiency Margin: +26.95 (ranked 21 of 365)

Offensive Trends:

  • Turnovers (Turnovers): Currently ranked 207 of 365 in D1. Trending up strongly 🔴.
  • Off Reb Pct (Offensive Rebounding): Currently ranked 44 of 365 in D1. Trending down strongly 🔴.

Defensive Trends:

  • Def Reb Pct (Defensive Rebounding): Currently ranked 259 of 365 in D1. Trending down strongly 🔴.
  • Opp FGM Per Poss (Opp FG Makes Per Possession (%)): Currently ranked 91 of 365 in D1. Trending up strongly 🔴.

UConn

Record: 12-1 | Elo: 1737.9 (ranked 3 of 365) | Efficiency Margin: +32.01 (ranked 12 of 365)

Offensive Trends:

  • FT Rate (FTA/FGA (%)): Currently ranked 288 of 365 in D1. Trending down strongly 🔴.
  • Adj Off Eff (Adjusted Offensive Efficiency): Currently ranked 50 of 365 in D1. Trending down strongly 🔴.

Defensive Trends:

  • Opp Shooting (Opp Shooting): Currently ranked 1 of 365 in D1. Trending down strongly 🟢.
  • Opp FGM Per Poss (Opp FG Makes Per Possession (%)): Currently ranked 3 of 365 in D1. Trending down strongly 🟢.

Villanova

Record: 9-2 | Elo: 1614.9 (ranked 56 of 365) | Efficiency Margin: +23.43 (ranked 31 of 365)

Offensive Trends:

  • 2Pt Rate (2 Point Attempts/FGA (%)): Currently ranked 327 of 365 in D1. Trending down strongly 🔴.
  • 3Pt Rate (3 Point Attempts/FGA (%)): Currently ranked 39 of 365 in D1. Trending up strongly 🟢.

Defensive Trends:

  • Opp Turnovers (Opp Turnovers): Currently ranked 65 of 365 in D1. Trending up strongly 🔴.
  • Def Reb Pct (Defensive Rebounding): Currently ranked 136 of 365 in D1. Trending down strongly 🔴.

Xavier

Record: 9-4 | Elo: 1602.0 (ranked 69 of 365) | Efficiency Margin: +7.97 (ranked 107 of 365)

Offensive Trends:

  • Off Reb Pct (Offensive Rebounding): Currently ranked 258 of 365 in D1. Trending up strongly 🟢.
  • FT Rate (FTA/FGA (%)): Currently ranked 292 of 365 in D1. Trending down strongly 🔴.

Defensive Trends:

  • Opp Turnovers (Opp Turnovers): Currently ranked 156 of 365 in D1. Trending down strongly 🟢.
  • Opp FT Rate (Opp FTA/FGA (%)): Currently ranked 141 of 365 in D1. Trending up strongly 🔴.


Figure 2: Offensive Four Factors comparison across Big East teams. The radar chart shows each team’s shooting efficiency (eFG%), ball security (TOV%), offensive rebounding (OREB%), and free throw generation (FT Rate).


Figure 3: Defensive Four Factors comparison across Big East teams. The radar chart shows each team’s opponent shooting defense (Opp eFG%), ball disruption (forcing TOV%), defensive rebounding (DREB%), and opponent free throw prevention (Opp FT Rate).


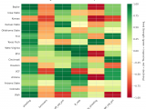
Figure 4: MACD trends heatmap showing which metrics are improving (green) or declining (red) for each team. Stronger colors indicate more pronounced trends.


Looking Ahead

As Big East teams continue their season, the MACD trending indicators will help identify which teams are genuinely improving versus those riding unsustainable momentum. Check back next week for updated analysis.


Metrics Glossary

Four Factors (Dean Oliver’s framework for basketball success):

  • eFG% (Effective Field Goal %): Field goal percentage adjusted for 3-pointers being worth more (FGM + 0.5×3PM) / FGA. Higher is better offensively, lower is better defensively.
  • TOV% (Turnover Rate): Turnovers per 100 possessions. Lower is better offensively (taking care of the ball), higher is better defensively (forcing turnovers).
  • OREB% / DREB% (Offensive/Defensive Rebound Rate): Percentage of available rebounds grabbed. Offensive rebounds create second-chance points; defensive rebounds end opponent possessions.
  • FTR (Free Throw Rate): Free throws made per field goal attempt (FTM/FGA). Measures ability to get to the line AND convert. Higher is better offensively, lower is better defensively.

Other Metrics:

  • Elo Rating: Chess-style rating system that updates based on game results and opponent strength. Higher Elo indicates stronger team.
  • Efficiency Margin: Point differential per 100 possessions (Offensive Efficiency – Defensive Efficiency). Accounts for pace of play.
  • MACD (Moving Average Convergence Divergence): Trend indicator comparing 12-game and 26-game exponential moving averages. Positive MACD = improving trend, Negative MACD = declining trend.

Analysis powered by HoopSci’s advanced metrics and MACD trending indicators.