Northeast Update: Week 7

Northeast Update: Week 7

December 23, 2025 0 By Neill White

The Northeast enters Week 7 with teams showing diverse trending patterns. This analysis examines each team’s performance trends using MACD (Moving Average Convergence Divergence) indicators to identify not just where teams stand, but where they’re headed.


Figure 1: Efficiency margin trends for Northeast teams throughout the season. Teams trending upward show improving performance, while downward trends indicate struggles.

Conference Snapshot


Team-by-Team Analysis

Brooklyn

Record: 6-6 | Elo: 1454.6 (ranked 248 of 365) | Efficiency Margin: -0.64 (ranked 173 of 365)

Offensive Trends:

  • Shooting (Shooting): Currently ranked 105 of 365 in D1. Trending up strongly 🟢.
  • Adj Off Eff (Adjusted Offensive Efficiency): Currently ranked 148 of 365 in D1. Trending up strongly 🟢.

Defensive Trends:

  • Opp Shooting (Opp Shooting): Currently ranked 251 of 365 in D1. Trending up strongly 🔴.
  • Def Reb Pct (Defensive Rebounding): Currently ranked 332 of 365 in D1. Trending down strongly 🔴.

Cent Conn St

Record: 6-5 | Elo: 1540.9 (ranked 126 of 365) | Efficiency Margin: -3.84 (ranked 195 of 365)

Offensive Trends:

  • Adj Def Eff (Adjusted Defensive Efficiency): Currently ranked 174 of 365 in D1. Trending up strongly 🟢.
  • Turnovers (Turnovers): Currently ranked 83 of 365 in D1. Trending down moderately 🟢.

Defensive Trends:

  • Opp Shooting (Opp Shooting): Currently ranked 175 of 365 in D1. Trending up strongly 🔴.
  • Opp FT Rate (Opp FTA/FGA (%)): Currently ranked 17 of 365 in D1. Trending up strongly 🔴.

Chicago State

Record: 2-11 | Elo: 1324.0 (ranked 360 of 365) | Efficiency Margin: -25.08 (ranked 342 of 365)

Offensive Trends:

  • Shooting (Shooting): Currently ranked 356 of 365 in D1. Trending down strongly 🔴.
  • Off Reb Pct (Offensive Rebounding): Currently ranked 295 of 365 in D1. Trending up strongly 🟢.

Defensive Trends:

  • Opp FGA Per Poss (Opp FG Attempts Per Possession (%)): Currently ranked 186 of 365 in D1. Trending up strongly 🔴.
  • Opp 2Pt Rate (Opp 2 Point Attempts/FGA (%)): Currently ranked 2 of 365 in D1. Trending down strongly 🟢.

Fair Dickinson

Record: 3-8 | Elo: 1369.6 (ranked 341 of 365) | Efficiency Margin: -29.37 (ranked 355 of 365)

Offensive Trends:

  • Off Reb Pct (Offensive Rebounding): Currently ranked 203 of 365 in D1. Trending up strongly 🟢.
  • FT Rate (FTA/FGA (%)): Currently ranked 323 of 365 in D1. Trending down strongly 🔴.

Defensive Trends:

  • Opp Shooting (Opp Shooting): Currently ranked 364 of 365 in D1. Trending up strongly 🔴.
  • Opp FGM Per Poss (Opp FG Makes Per Possession (%)): Currently ranked 348 of 365 in D1. Trending up strongly 🔴.

Le Moyne

Record: 5-7 | Elo: 1396.3 (ranked 315 of 365) | Efficiency Margin: -8.04 (ranked 225 of 365)

Offensive Trends:

  • Adj Off Eff (Adjusted Offensive Efficiency): Currently ranked 123 of 365 in D1. Trending up strongly 🟢.
  • 2PA Per Poss (2 Point Attempts Per Possession (%)): Currently ranked 275 of 365 in D1. Trending up strongly 🟢.

Defensive Trends:

  • Def Reb Pct (Defensive Rebounding): Currently ranked 319 of 365 in D1. Trending down strongly 🔴.
  • Opp FT Rate (Opp FTA/FGA (%)): Currently ranked 167 of 365 in D1. Trending up strongly 🔴.

Mercyhurst

Record: 5-8 | Elo: 1445.2 (ranked 259 of 365) | Efficiency Margin: -8.80 (ranked 233 of 365)

Offensive Trends:

  • FT Rate (FTA/FGA (%)): Currently ranked 354 of 365 in D1. Trending down strongly 🔴.
  • FGM Per Poss (Field Goal Makes Per Possession (%)): Currently ranked 117 of 365 in D1. Trending up strongly 🟢.

Defensive Trends:

  • Opp 2Pt Rate (Opp 2 Point Attempts/FGA (%)): Currently ranked 296 of 365 in D1. Trending up strongly 🔴.
  • Opp 2PA Per Poss (Opp 2 Point Attempts Per Possession (%)): Currently ranked 168 of 365 in D1. Trending up strongly 🔴.

New Haven

Record: 5-6 | Elo: 1477.8 (ranked 216 of 365) | Efficiency Margin: -17.00 (ranked 295 of 365)

Offensive Trends:

  • FT Rate (FTA/FGA (%)): Currently ranked 319 of 365 in D1. Trending up strongly 🟢.
  • FGM Per Poss (Field Goal Makes Per Possession (%)): Currently ranked 167 of 365 in D1. Trending up strongly 🟢.

Defensive Trends:

  • Opp Shooting (Opp Shooting): Currently ranked 166 of 365 in D1. Trending down strongly 🟢.
  • Def Reb Pct (Defensive Rebounding): Currently ranked 1 of 365 in D1. Trending up strongly 🟢.

St Francis (PA)

Record: 2-11 | Elo: 1372.3 (ranked 339 of 365) | Efficiency Margin: -29.97 (ranked 356 of 365)

Offensive Trends:

  • Turnovers (Turnovers): Currently ranked 293 of 365 in D1. Trending down strongly 🟢.
  • Off Reb Pct (Offensive Rebounding): Currently ranked 336 of 365 in D1. Trending up strongly 🟢.

Defensive Trends:

  • Opp Shooting (Opp Shooting): Currently ranked 365 of 365 in D1. Trending up strongly 🔴.
  • Opp FT Rate (Opp FTA/FGA (%)): Currently ranked 145 of 365 in D1. Trending up strongly 🔴.

Stonehill

Record: 2-9 | Elo: 1361.1 (ranked 348 of 365) | Efficiency Margin: -17.77 (ranked 307 of 365)

Offensive Trends:

  • Off Reb Pct (Offensive Rebounding): Currently ranked 266 of 365 in D1. Trending up strongly 🟢.
  • 2Pt Rate (2 Point Attempts/FGA (%)): Currently ranked 197 of 365 in D1. Trending up strongly 🟢.

Defensive Trends:

  • Opp Turnovers (Opp Turnovers): Currently ranked 362 of 365 in D1. Trending down strongly 🟢.
  • Opp FT Pct (Opp FTM/FTA (%)): Currently ranked 33 of 365 in D1. Trending down strongly 🟢.

Wagner

Record: 2-5 | Elo: 1426.0 (ranked 281 of 365) | Efficiency Margin: -7.60 (ranked 222 of 365)

Offensive Trends:

  • Shooting (Shooting): Currently ranked 208 of 365 in D1. Trending up strongly 🟢.
  • Adj Off Eff (Adjusted Offensive Efficiency): Currently ranked 174 of 365 in D1. Trending up strongly 🟢.

Defensive Trends:

  • Def Reb Pct (Defensive Rebounding): Currently ranked 250 of 365 in D1. Trending down strongly 🔴.
  • Opp 2Pt Rate (Opp 2 Point Attempts/FGA (%)): Currently ranked 272 of 365 in D1. Trending up strongly 🔴.


Figure 2: Offensive Four Factors comparison across Northeast teams. The radar chart shows each team’s shooting efficiency (eFG%), ball security (TOV%), offensive rebounding (OREB%), and free throw generation (FT Rate).


Figure 3: Defensive Four Factors comparison across Northeast teams. The radar chart shows each team’s opponent shooting defense (Opp eFG%), ball disruption (forcing TOV%), defensive rebounding (DREB%), and opponent free throw prevention (Opp FT Rate).


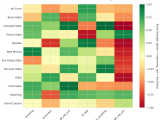
Figure 4: MACD trends heatmap showing which metrics are improving (green) or declining (red) for each team. Stronger colors indicate more pronounced trends.


Looking Ahead

As Northeast teams continue their season, the MACD trending indicators will help identify which teams are genuinely improving versus those riding unsustainable momentum. Check back next week for updated analysis.


Metrics Glossary

Four Factors (Dean Oliver’s framework for basketball success):

  • eFG% (Effective Field Goal %): Field goal percentage adjusted for 3-pointers being worth more (FGM + 0.5×3PM) / FGA. Higher is better offensively, lower is better defensively.
  • TOV% (Turnover Rate): Turnovers per 100 possessions. Lower is better offensively (taking care of the ball), higher is better defensively (forcing turnovers).
  • OREB% / DREB% (Offensive/Defensive Rebound Rate): Percentage of available rebounds grabbed. Offensive rebounds create second-chance points; defensive rebounds end opponent possessions.
  • FTR (Free Throw Rate): Free throws made per field goal attempt (FTM/FGA). Measures ability to get to the line AND convert. Higher is better offensively, lower is better defensively.

Other Metrics:

  • Elo Rating: Chess-style rating system that updates based on game results and opponent strength. Higher Elo indicates stronger team.
  • Efficiency Margin: Point differential per 100 possessions (Offensive Efficiency – Defensive Efficiency). Accounts for pace of play.
  • MACD (Moving Average Convergence Divergence): Trend indicator comparing 12-game and 26-game exponential moving averages. Positive MACD = improving trend, Negative MACD = declining trend.

Analysis powered by HoopSci’s advanced metrics and MACD trending indicators.