Patriot League Update: Week 7
December 23, 2025The Patriot League enters Week 7 with teams showing diverse trending patterns. This analysis examines each team’s performance trends using MACD (Moving Average Convergence Divergence) indicators to identify not just where teams stand, but where they’re headed.

Figure 1: Efficiency margin trends for Patriot League teams throughout the season. Teams trending upward show improving performance, while downward trends indicate struggles.
Conference Snapshot
- Week Dates: December 15 – December 21, 2025
- Trending Up (Efficiency): American, Army, Boston U, Colgate, Lafayette
- Trending Down (Efficiency): Bucknell, Holy Cross
Team-by-Team Analysis
American
Record: 7-5 | Elo: 1503.2 (ranked 180 of 365) | Efficiency Margin: -8.34 (ranked 228 of 365)
Offensive Trends:
- Off Reb Pct (Offensive Rebounding): Currently ranked 322 of 365 in D1. Trending up strongly 🟢.
- 2Pt Pct (2 Point FGM/FGA (%)): Currently ranked 142 of 365 in D1. Trending down strongly 🔴.
Defensive Trends:
- Opp Shooting (Opp Shooting): Currently ranked 282 of 365 in D1. Trending up strongly 🔴.
- Def Reb Pct (Defensive Rebounding): Currently ranked 237 of 365 in D1. Trending down strongly 🔴.
Army
Record: 5-7 | Elo: 1423.0 (ranked 285 of 365) | Efficiency Margin: -20.18 (ranked 323 of 365)
Offensive Trends:
- Turnovers (Turnovers): Currently ranked 176 of 365 in D1. Trending up strongly 🔴.
- Off Reb Pct (Offensive Rebounding): Currently ranked 316 of 365 in D1. Trending up strongly 🟢.
Defensive Trends:
- Opp Turnovers (Opp Turnovers): Currently ranked 333 of 365 in D1. Trending down strongly 🟢.
- Opp FT Rate (Opp FTA/FGA (%)): Currently ranked 226 of 365 in D1. Trending up strongly 🔴.
Boston U
Record: 5-8 | Elo: 1438.4 (ranked 269 of 365) | Efficiency Margin: -9.94 (ranked 245 of 365)
Offensive Trends:
- Shooting (Shooting): Currently ranked 40 of 365 in D1. Trending up strongly 🟢.
- Off Reb Pct (Offensive Rebounding): Currently ranked 199 of 365 in D1. Trending up strongly 🟢.
Defensive Trends:
- Opp Shooting (Opp Shooting): Currently ranked 335 of 365 in D1. Trending up strongly 🔴.
- Def Reb Pct (Defensive Rebounding): Currently ranked 157 of 365 in D1. Trending down strongly 🔴.
Bucknell
Record: 3-10 | Elo: 1443.2 (ranked 262 of 365) | Efficiency Margin: -18.02 (ranked 312 of 365)
Offensive Trends:
- Shooting (Shooting): Currently ranked 304 of 365 in D1. Trending down strongly 🔴.
- Turnovers (Turnovers): Currently ranked 334 of 365 in D1. Trending up strongly 🔴.
Defensive Trends:
- Opp Shooting (Opp Shooting): Currently ranked 332 of 365 in D1. Trending up strongly 🔴.
- Opp FT Rate (Opp FTA/FGA (%)): Currently ranked 180 of 365 in D1. Trending down strongly 🟢.
Colgate
Record: 6-6 | Elo: 1502.6 (ranked 181 of 365) | Efficiency Margin: +2.28 (ranked 146 of 365)
Offensive Trends:
- Off Reb Pct (Offensive Rebounding): Currently ranked 346 of 365 in D1. Trending up strongly 🟢.
- Adj Off Eff (Adjusted Offensive Efficiency): Currently ranked 112 of 365 in D1. Trending up strongly 🟢.
Defensive Trends:
- Def Reb Pct (Defensive Rebounding): Currently ranked 344 of 365 in D1. Trending down strongly 🔴.
- Opp FGM Per Poss (Opp FG Makes Per Possession (%)): Currently ranked 285 of 365 in D1. Trending up strongly 🔴.
Holy Cross
Record: 5-8 | Elo: 1378.7 (ranked 331 of 365) | Efficiency Margin: -19.00 (ranked 317 of 365)
Offensive Trends:
- Shooting (Shooting): Currently ranked 234 of 365 in D1. Trending down strongly 🔴.
- Turnovers (Turnovers): Currently ranked 169 of 365 in D1. Trending down strongly 🟢.
Defensive Trends:
- Opp Shooting (Opp Shooting): Currently ranked 344 of 365 in D1. Trending up strongly 🔴.
- Opp Turnovers (Opp Turnovers): Currently ranked 251 of 365 in D1. Trending up strongly 🔴.
Lafayette
Record: 3-9 | Elo: 1362.3 (ranked 347 of 365) | Efficiency Margin: -16.04 (ranked 288 of 365)
Offensive Trends:
- 2Pt Rate (2 Point Attempts/FGA (%)): Currently ranked 188 of 365 in D1. Trending down strongly 🔴.
- 2PM Per Poss (2 Point Makes Per Possession (%)): Currently ranked 327 of 365 in D1. Trending down strongly 🔴.
Defensive Trends:
- Opp Shooting (Opp Shooting): Currently ranked 278 of 365 in D1. Trending up strongly 🔴.
- Opp Turnovers (Opp Turnovers): Currently ranked 348 of 365 in D1. Trending down strongly 🟢.
Lehigh
Record: 4-9 | Elo: 1382.6 (ranked 327 of 365) | Efficiency Margin: -17.95 (ranked 311 of 365)
Offensive Trends:
- Turnovers (Turnovers): Currently ranked 313 of 365 in D1. Trending up strongly 🔴.
- Off Reb Pct (Offensive Rebounding): Currently ranked 342 of 365 in D1. Trending up strongly 🟢.
Defensive Trends:
- Opp Shooting (Opp Shooting): Currently ranked 218 of 365 in D1. Trending up strongly 🔴.
- Opp Turnovers (Opp Turnovers): Currently ranked 104 of 365 in D1. Trending up strongly 🔴.
Loyola (MD)
Record: 4-9 | Elo: 1351.5 (ranked 354 of 365) | Efficiency Margin: -21.97 (ranked 329 of 365)
Offensive Trends:
- Off Reb Pct (Offensive Rebounding): Currently ranked 260 of 365 in D1. Trending up strongly 🟢.
- 2Pt Rate (2 Point Attempts/FGA (%)): Currently ranked 319 of 365 in D1. Trending down strongly 🔴.
Defensive Trends:
- Opp Shooting (Opp Shooting): Currently ranked 312 of 365 in D1. Trending up strongly 🔴.
- Def Reb Pct (Defensive Rebounding): Currently ranked 254 of 365 in D1. Trending down strongly 🔴.
Navy
Record: 8-5 | Elo: 1476.2 (ranked 219 of 365) | Efficiency Margin: -1.68 (ranked 180 of 365)
Offensive Trends:
- Turnovers (Turnovers): Currently ranked 238 of 365 in D1. Trending up strongly 🔴.
- Off Reb Pct (Offensive Rebounding): Currently ranked 174 of 365 in D1. Trending up strongly 🟢.
Defensive Trends:
- Opp Shooting (Opp Shooting): Currently ranked 96 of 365 in D1. Trending down strongly 🟢.
- Opp FGM Per Poss (Opp FG Makes Per Possession (%)): Currently ranked 127 of 365 in D1. Trending down strongly 🟢.

Figure 2: Offensive Four Factors comparison across Patriot League teams. The radar chart shows each team’s shooting efficiency (eFG%), ball security (TOV%), offensive rebounding (OREB%), and free throw generation (FT Rate).

Figure 3: Defensive Four Factors comparison across Patriot League teams. The radar chart shows each team’s opponent shooting defense (Opp eFG%), ball disruption (forcing TOV%), defensive rebounding (DREB%), and opponent free throw prevention (Opp FT Rate).

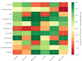
Figure 4: MACD trends heatmap showing which metrics are improving (green) or declining (red) for each team. Stronger colors indicate more pronounced trends.
Looking Ahead
As Patriot League teams continue their season, the MACD trending indicators will help identify which teams are genuinely improving versus those riding unsustainable momentum. Check back next week for updated analysis.
Metrics Glossary
Four Factors (Dean Oliver’s framework for basketball success):
- eFG% (Effective Field Goal %): Field goal percentage adjusted for 3-pointers being worth more (FGM + 0.5×3PM) / FGA. Higher is better offensively, lower is better defensively.
- TOV% (Turnover Rate): Turnovers per 100 possessions. Lower is better offensively (taking care of the ball), higher is better defensively (forcing turnovers).
- OREB% / DREB% (Offensive/Defensive Rebound Rate): Percentage of available rebounds grabbed. Offensive rebounds create second-chance points; defensive rebounds end opponent possessions.
- FTR (Free Throw Rate): Free throws made per field goal attempt (FTM/FGA). Measures ability to get to the line AND convert. Higher is better offensively, lower is better defensively.
Other Metrics:
- Elo Rating: Chess-style rating system that updates based on game results and opponent strength. Higher Elo indicates stronger team.
- Efficiency Margin: Point differential per 100 possessions (Offensive Efficiency – Defensive Efficiency). Accounts for pace of play.
- MACD (Moving Average Convergence Divergence): Trend indicator comparing 12-game and 26-game exponential moving averages. Positive MACD = improving trend, Negative MACD = declining trend.
Analysis powered by HoopSci’s advanced metrics and MACD trending indicators.

