Sun Belt Update: Week 7
December 23, 2025The Sun Belt enters Week 7 with teams showing diverse trending patterns. This analysis examines each team’s performance trends using MACD (Moving Average Convergence Divergence) indicators to identify not just where teams stand, but where they’re headed.

Figure 1: Efficiency margin trends for Sun Belt teams throughout the season. Teams trending upward show improving performance, while downward trends indicate struggles.
Conference Snapshot
- Week Dates: December 15 – December 21, 2025
- Trending Up (Efficiency): Appalachian St, Arkansas State, Ga Southern, Louisiana, Troy
- Trending Down (Efficiency): C. Carolina, Georgia State, South Alabama, Texas State, James Madison
Team-by-Team Analysis
Appalachian St
Record: 8-6 | Elo: 1511.8 (ranked 169 of 365) | Efficiency Margin: -6.34 (ranked 211 of 365)
Offensive Trends:
- Balls Blocked Per FGA (Balls Blocked Per Shot Attempt): Currently ranked 43 of 365 in D1. Trending down strongly 🔴.
- Adj Def Eff (Adjusted Defensive Efficiency): Currently ranked 187 of 365 in D1. Trending up strongly 🟢.
Defensive Trends:
- Opp FT Rate (Opp FTA/FGA (%)): Currently ranked 182 of 365 in D1. Trending up strongly 🔴.
- Opp FGM Per Poss (Opp FG Makes Per Possession (%)): Currently ranked 114 of 365 in D1. Trending down strongly 🟢.
Arkansas State
Record: 8-4 | Elo: 1603.0 (ranked 66 of 365) | Efficiency Margin: +0.29 (ranked 160 of 365)
Offensive Trends:
- Shooting (Shooting): Currently ranked 195 of 365 in D1. Trending up strongly 🟢.
- Turnovers (Turnovers): Currently ranked 329 of 365 in D1. Trending up strongly 🔴.
Defensive Trends:
- Opp Shooting (Opp Shooting): Currently ranked 166 of 365 in D1. Trending up moderately 🔴.
- Opp Turnovers (Opp Turnovers): Currently ranked 284 of 365 in D1. Trending down moderately 🟢.
C. Carolina
Record: 7-6 | Elo: 1411.9 (ranked 299 of 365) | Efficiency Margin: -9.81 (ranked 243 of 365)
Offensive Trends:
- Shooting (Shooting): Currently ranked 340 of 365 in D1. Trending down strongly 🔴.
- Turnovers (Turnovers): Currently ranked 6 of 365 in D1. Trending down strongly 🟢.
Defensive Trends:
- Opp Turnovers (Opp Turnovers): Currently ranked 344 of 365 in D1. Trending up strongly 🔴.
- Opp FGA Per Poss (Opp FG Attempts Per Possession (%)): Currently ranked 191 of 365 in D1. Trending down strongly 🟢.
Ga Southern
Record: 10-5 | Elo: 1502.5 (ranked 182 of 365) | Efficiency Margin: -2.09 (ranked 185 of 365)
Offensive Trends:
- Turnovers (Turnovers): Currently ranked 54 of 365 in D1. Trending down strongly 🟢.
- Off Reb Pct (Offensive Rebounding): Currently ranked 220 of 365 in D1. Trending up strongly 🟢.
Defensive Trends:
- Opp FT Pct (Opp FTM/FTA (%)): Currently ranked 119 of 365 in D1. Trending up strongly 🔴.
- Opp Assists per FGM (Opp Assists/FGM (%)): Currently ranked 35 of 365 in D1. Trending down strongly 🟢.
Georgia State
Record: 3-10 | Elo: 1415.0 (ranked 294 of 365) | Efficiency Margin: -22.35 (ranked 332 of 365)
Offensive Trends:
- Shooting (Shooting): Currently ranked 360 of 365 in D1. Trending down strongly 🔴.
- Off Reb Pct (Offensive Rebounding): Currently ranked 314 of 365 in D1. Trending down strongly 🔴.
Defensive Trends:
- Opp FT Rate (Opp FTA/FGA (%)): Currently ranked 247 of 365 in D1. Trending up strongly 🔴.
- Opp FGM Per Poss (Opp FG Makes Per Possession (%)): Currently ranked 208 of 365 in D1. Trending down strongly 🟢.
James Madison
Record: 7-6 | Elo: 1530.7 (ranked 137 of 365) | Efficiency Margin: -7.99 (ranked 224 of 365)
Offensive Trends:
- FT Rate (FTA/FGA (%)): Currently ranked 192 of 365 in D1. Trending up strongly 🟢.
- FGA Per Poss (Field Goal Attempts Per Possession (%)): Currently ranked 140 of 365 in D1. Trending down strongly 🔴.
Defensive Trends:
- Def Reb Pct (Defensive Rebounding): Currently ranked 150 of 365 in D1. Trending up strongly 🟢.
- Opp FT Rate (Opp FTA/FGA (%)): Currently ranked 347 of 365 in D1. Trending up strongly 🔴.
Louisiana
Record: 2-11 | Elo: 1405.8 (ranked 307 of 365) | Efficiency Margin: -23.19 (ranked 335 of 365)
Offensive Trends:
- Adj Off Eff (Adjusted Offensive Efficiency): Currently ranked 359 of 365 in D1. Trending down strongly 🔴.
- FTM Per Poss (Free Throw Makes Per Possession (%)): Currently ranked 343 of 365 in D1. Trending down strongly 🔴.
Defensive Trends:
- Opp Shooting (Opp Shooting): Currently ranked 139 of 365 in D1. Trending down strongly 🟢.
- Def Reb Pct (Defensive Rebounding): Currently ranked 141 of 365 in D1. Trending up strongly 🟢.
Marshall
Record: 7-5 | Elo: 1528.3 (ranked 142 of 365) | Efficiency Margin: +0.81 (ranked 155 of 365)
Offensive Trends:
- Adj Off Eff (Adjusted Offensive Efficiency): Currently ranked 150 of 365 in D1. Trending up strongly 🟢.
- 3PA Per Poss (3 Point Attempts Per Possession (%)): Currently ranked 57 of 365 in D1. Trending up strongly 🟢.
Defensive Trends:
- Opp Shooting (Opp Shooting): Currently ranked 67 of 365 in D1. Trending down strongly 🟢.
- Opp Turnovers (Opp Turnovers): Currently ranked 291 of 365 in D1. Trending down strongly 🟢.
Old Dominion
Record: 4-9 | Elo: 1411.3 (ranked 301 of 365) | Efficiency Margin: -5.42 (ranked 205 of 365)
Offensive Trends:
- Shooting (Shooting): Currently ranked 240 of 365 in D1. Trending up strongly 🟢.
- Off Reb Pct (Offensive Rebounding): Currently ranked 332 of 365 in D1. Trending down strongly 🔴.
Defensive Trends:
- Def Reb Pct (Defensive Rebounding): Currently ranked 222 of 365 in D1. Trending up strongly 🟢.
- Opp 3PM Per Poss (Opp 3 Point Makes Per Possession (%)): Currently ranked 37 of 365 in D1. Trending down strongly 🟢.
South Alabama
Record: 9-4 | Elo: 1559.4 (ranked 109 of 365) | Efficiency Margin: -2.99 (ranked 191 of 365)
Offensive Trends:
- Off Reb Pct (Offensive Rebounding): Currently ranked 318 of 365 in D1. Trending down strongly 🔴.
- FGM Per Poss (Field Goal Makes Per Possession (%)): Currently ranked 141 of 365 in D1. Trending down strongly 🔴.
Defensive Trends:
- Def Reb Pct (Defensive Rebounding): Currently ranked 274 of 365 in D1. Trending down strongly 🔴.
- Opp FTM Per Poss (Opp Free Throw Makes Per Possession (%)): Currently ranked 7 of 365 in D1. Trending up strongly 🔴.
Southern Miss
Record: 7-6 | Elo: 1426.3 (ranked 280 of 365) | Efficiency Margin: -5.90 (ranked 209 of 365)
Offensive Trends:
- FT Rate (FTA/FGA (%)): Currently ranked 68 of 365 in D1. Trending up strongly 🟢.
- Adj Off Eff (Adjusted Offensive Efficiency): Currently ranked 177 of 365 in D1. Trending up strongly 🟢.
Defensive Trends:
- Opp 3PA Per Poss (Opp 3 Point Attempts Per Possession (%)): Currently ranked 228 of 365 in D1. Trending down strongly 🟢.
- Opp FTM Per Poss (Opp Free Throw Makes Per Possession (%)): Currently ranked 280 of 365 in D1. Trending up strongly 🔴.
Texas State
Record: 8-6 | Elo: 1476.3 (ranked 218 of 365) | Efficiency Margin: -12.18 (ranked 264 of 365)
Offensive Trends:
- Shooting (Shooting): Currently ranked 279 of 365 in D1. Trending down strongly 🔴.
- Adj Off Eff (Adjusted Offensive Efficiency): Currently ranked 303 of 365 in D1. Trending down strongly 🔴.
Defensive Trends:
- Opp Shooting (Opp Shooting): Currently ranked 202 of 365 in D1. Trending up strongly 🔴.
- Opp Turnovers (Opp Turnovers): Currently ranked 60 of 365 in D1. Trending up strongly 🔴.
Troy
Record: 8-5 | Elo: 1582.8 (ranked 87 of 365) | Efficiency Margin: +0.53 (ranked 157 of 365)
Offensive Trends:
- Balls Stolen Per Poss (Balls Stolen Per Possession): Currently ranked 139 of 365 in D1. Trending down strongly 🔴.
- Fouls Drawn Per Poss (Fouls Drawn Per Possession): Currently ranked 266 of 365 in D1. Trending down strongly 🟢.
Defensive Trends:
- Def Reb Pct (Defensive Rebounding): Currently ranked 293 of 365 in D1. Trending down strongly 🔴.
- Opp FGM Per Poss (Opp FG Makes Per Possession (%)): Currently ranked 253 of 365 in D1. Trending up strongly 🔴.
UL Monroe
Record: 3-10 | Elo: 1301.7 (ranked 367 of 365) | Efficiency Margin: -26.56 (ranked 348 of 365)
Offensive Trends:
- Turnovers (Turnovers): Currently ranked 259 of 365 in D1. Trending up strongly 🔴.
- FT Rate (FTA/FGA (%)): Currently ranked 166 of 365 in D1. Trending up strongly 🟢.
Defensive Trends:
- Opp Shooting (Opp Shooting): Currently ranked 338 of 365 in D1. Trending up strongly 🔴.
- Opp FGM Per Poss (Opp FG Makes Per Possession (%)): Currently ranked 361 of 365 in D1. Trending up strongly 🔴.

Figure 2: Offensive Four Factors comparison across Sun Belt teams. The radar chart shows each team’s shooting efficiency (eFG%), ball security (TOV%), offensive rebounding (OREB%), and free throw generation (FT Rate).

Figure 3: Defensive Four Factors comparison across Sun Belt teams. The radar chart shows each team’s opponent shooting defense (Opp eFG%), ball disruption (forcing TOV%), defensive rebounding (DREB%), and opponent free throw prevention (Opp FT Rate).

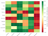
Figure 4: MACD trends heatmap showing which metrics are improving (green) or declining (red) for each team. Stronger colors indicate more pronounced trends.
Looking Ahead
As Sun Belt teams continue their season, the MACD trending indicators will help identify which teams are genuinely improving versus those riding unsustainable momentum. Check back next week for updated analysis.
Metrics Glossary
Four Factors (Dean Oliver’s framework for basketball success):
- eFG% (Effective Field Goal %): Field goal percentage adjusted for 3-pointers being worth more (FGM + 0.5×3PM) / FGA. Higher is better offensively, lower is better defensively.
- TOV% (Turnover Rate): Turnovers per 100 possessions. Lower is better offensively (taking care of the ball), higher is better defensively (forcing turnovers).
- OREB% / DREB% (Offensive/Defensive Rebound Rate): Percentage of available rebounds grabbed. Offensive rebounds create second-chance points; defensive rebounds end opponent possessions.
- FTR (Free Throw Rate): Free throws made per field goal attempt (FTM/FGA). Measures ability to get to the line AND convert. Higher is better offensively, lower is better defensively.
Other Metrics:
- Elo Rating: Chess-style rating system that updates based on game results and opponent strength. Higher Elo indicates stronger team.
- Efficiency Margin: Point differential per 100 possessions (Offensive Efficiency – Defensive Efficiency). Accounts for pace of play.
- MACD (Moving Average Convergence Divergence): Trend indicator comparing 12-game and 26-game exponential moving averages. Positive MACD = improving trend, Negative MACD = declining trend.
Analysis powered by HoopSci’s advanced metrics and MACD trending indicators.

