America East Update: Week 8
December 29, 2025The America East enters Week 8 with teams showing diverse trending patterns. This analysis examines each team’s performance trends using MACD (Moving Average Convergence Divergence) indicators to identify not just where teams stand, but where they’re headed.

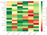
Figure 1: Efficiency margin trends for America East teams throughout the season. Teams trending upward show improving performance, while downward trends indicate struggles.
Conference Snapshot
- Week Dates: December 22 – December 28, 2025
- Trending Up (Efficiency): Albany, UNH, UMass Lowell, Vermont, Bryant
- Trending Down (Efficiency): Binghamton, Maine, UMBC, NJIT
Team-by-Team Analysis
Albany
Record: 4-10 | Elo: 1411.7 (ranked 301 of 365) | Efficiency Margin: -19.49 (ranked 321 of 365)
Offensive Trends:
- Shooting (Shooting): Currently ranked 235 of 365 in D1. Trending up strongly 🟢.
- Off Reb Pct (Offensive Rebounding): Currently ranked 268 of 365 in D1. Trending down strongly 🔴.
Defensive Trends:
- Opp Turnovers (Opp Turnovers): Currently ranked 265 of 365 in D1. Trending down strongly 🟢.
- Def Reb Pct (Defensive Rebounding): Currently ranked 333 of 365 in D1. Trending down strongly 🔴.
Binghamton
Record: 2-11 | Elo: 1375.0 (ranked 334 of 365) | Efficiency Margin: -26.68 (ranked 349 of 365)
Offensive Trends:
- Off Reb Pct (Offensive Rebounding): Currently ranked 338 of 365 in D1. Trending down strongly 🔴.
- FT Rate (FTA/FGA (%)): Currently ranked 2 of 365 in D1. Trending up strongly 🟢.
Defensive Trends:
- Opp Shooting (Opp Shooting): Currently ranked 332 of 365 in D1. Trending up strongly 🔴.
- Opp FGM Per Poss (Opp FG Makes Per Possession (%)): Currently ranked 353 of 365 in D1. Trending up strongly 🔴.
Bryant
Record: 4-10 | Elo: 1495.6 (ranked 192 of 365) | Efficiency Margin: -22.48 (ranked 334 of 365)
Offensive Trends:
- Turnovers (Turnovers): Currently ranked 358 of 365 in D1. Trending up strongly 🔴.
- Off Reb Pct (Offensive Rebounding): Currently ranked 332 of 365 in D1. Trending up strongly 🟢.
Defensive Trends:
- Opp Shooting (Opp Shooting): Currently ranked 212 of 365 in D1. Trending up strongly 🔴.
- Def Reb Pct (Defensive Rebounding): Currently ranked 309 of 365 in D1. Trending down strongly 🔴.
Maine
Record: 1-13 | Elo: 1415.1 (ranked 293 of 365) | Efficiency Margin: -17.32 (ranked 302 of 365)
Offensive Trends:
- Turnovers (Turnovers): Currently ranked 362 of 365 in D1. Trending up strongly 🔴.
- Adj Off Eff (Adjusted Offensive Efficiency): Currently ranked 346 of 365 in D1. Trending down strongly 🔴.
Defensive Trends:
- Opp Shooting (Opp Shooting): Currently ranked 195 of 365 in D1. Trending up strongly 🔴.
- Def Reb Pct (Defensive Rebounding): Currently ranked 334 of 365 in D1. Trending down strongly 🔴.
NJIT
Record: 4-9 | Elo: 1351.4 (ranked 354 of 365) | Efficiency Margin: -25.66 (ranked 345 of 365)
Offensive Trends:
- Turnovers (Turnovers): Currently ranked 326 of 365 in D1. Trending up strongly 🔴.
- Off Reb Pct (Offensive Rebounding): Currently ranked 342 of 365 in D1. Trending down strongly 🔴.
Defensive Trends:
- Def Reb Pct (Defensive Rebounding): Currently ranked 318 of 365 in D1. Trending down strongly 🔴.
- Opp FGM Per Poss (Opp FG Makes Per Possession (%)): Currently ranked 278 of 365 in D1. Trending up strongly 🔴.
UMBC
Record: 6-6 | Elo: 1412.0 (ranked 300 of 365) | Efficiency Margin: -8.80 (ranked 233 of 365)
Offensive Trends:
- FT Rate (FTA/FGA (%)): Currently ranked 312 of 365 in D1. Trending down strongly 🔴.
- 3Pt Pct (3 Point FGM/FGA (%)): Currently ranked 206 of 365 in D1. Trending down strongly 🔴.
Defensive Trends:
- Opp Turnovers (Opp Turnovers): Currently ranked 335 of 365 in D1. Trending down strongly 🟢.
- Opp Off Tempo (Opp Offensive Possessions Per Game): Currently ranked 239 of 365 in D1. Trending down strongly 🟢.
UMass Lowell
Record: 5-9 | Elo: 1452.9 (ranked 251 of 365) | Efficiency Margin: -19.44 (ranked 320 of 365)
Offensive Trends:
- Off Reb Pct (Offensive Rebounding): Currently ranked 217 of 365 in D1. Trending up strongly 🟢.
- Adj Off Eff (Adjusted Offensive Efficiency): Currently ranked 293 of 365 in D1. Trending down strongly 🔴.
Defensive Trends:
- Opp Shooting (Opp Shooting): Currently ranked 308 of 365 in D1. Trending up strongly 🔴.
- Opp FGA Per Poss (Opp FG Attempts Per Possession (%)): Currently ranked 319 of 365 in D1. Trending down strongly 🟢.
UNH
Record: 4-8 | Elo: 1387.7 (ranked 321 of 365) | Efficiency Margin: -16.41 (ranked 292 of 365)
Offensive Trends:
- Turnovers (Turnovers): Currently ranked 125 of 365 in D1. Trending down strongly 🟢.
- Off Reb Pct (Offensive Rebounding): Currently ranked 345 of 365 in D1. Trending down strongly 🔴.
Defensive Trends:
- Opp FGM Per Poss (Opp FG Makes Per Possession (%)): Currently ranked 182 of 365 in D1. Trending down strongly 🟢.
- Opp FG Pct (%) (Opp FGM/FGA (%)): Currently ranked 229 of 365 in D1. Trending down strongly 🟢.
Vermont
Record: 8-6 | Elo: 1567.0 (ranked 100 of 365) | Efficiency Margin: +0.04 (ranked 162 of 365)
Offensive Trends:
- Turnovers (Turnovers): Currently ranked 46 of 365 in D1. Trending down strongly 🟢.
- Adj Off Eff (Adjusted Offensive Efficiency): Currently ranked 80 of 365 in D1. Trending up strongly 🟢.
Defensive Trends:
- Opp Turnovers (Opp Turnovers): Currently ranked 345 of 365 in D1. Trending down strongly 🟢.
- Opp FGM Per Poss (Opp FG Makes Per Possession (%)): Currently ranked 259 of 365 in D1. Trending up strongly 🔴.

Figure 2: Offensive Four Factors comparison across America East teams. The radar chart shows each team’s shooting efficiency (eFG%), ball security (TOV%), offensive rebounding (OREB%), and free throw generation (FT Rate).

Figure 3: Defensive Four Factors comparison across America East teams. The radar chart shows each team’s opponent shooting defense (Opp eFG%), ball disruption (forcing TOV%), defensive rebounding (DREB%), and opponent free throw prevention (Opp FT Rate).

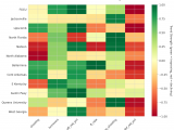
Figure 4: MACD trends heatmap showing which metrics are improving (green) or declining (red) for each team. Stronger colors indicate more pronounced trends.
Looking Ahead
As America East teams continue their season, the MACD trending indicators will help identify which teams are genuinely improving versus those riding unsustainable momentum. Check back next week for updated analysis.
Metrics Glossary
Four Factors (Dean Oliver’s framework for basketball success):
- eFG% (Effective Field Goal %): Field goal percentage adjusted for 3-pointers being worth more (FGM + 0.5×3PM) / FGA. Higher is better offensively, lower is better defensively.
- TOV% (Turnover Rate): Turnovers per 100 possessions. Lower is better offensively (taking care of the ball), higher is better defensively (forcing turnovers).
- OREB% / DREB% (Offensive/Defensive Rebound Rate): Percentage of available rebounds grabbed. Offensive rebounds create second-chance points; defensive rebounds end opponent possessions.
- FTR (Free Throw Rate): Free throws made per field goal attempt (FTM/FGA). Measures ability to get to the line AND convert. Higher is better offensively, lower is better defensively.
Other Metrics:
- Elo Rating: Chess-style rating system that updates based on game results and opponent strength. Higher Elo indicates stronger team.
- Efficiency Margin: Point differential per 100 possessions (Offensive Efficiency – Defensive Efficiency). Accounts for pace of play.
- MACD (Moving Average Convergence Divergence): Trend indicator comparing 12-game and 26-game exponential moving averages. Positive MACD = improving trend, Negative MACD = declining trend.
Analysis powered by HoopSci’s advanced metrics and MACD trending indicators.

