Atlantic 10 Update: Week 8
December 29, 2025The Atlantic 10 enters Week 8 with teams showing diverse trending patterns. This analysis examines each team’s performance trends using MACD (Moving Average Convergence Divergence) indicators to identify not just where teams stand, but where they’re headed.

Figure 1: Efficiency margin trends for Atlantic 10 teams throughout the season. Teams trending upward show improving performance, while downward trends indicate struggles.
Conference Snapshot
- Week Dates: December 22 – December 28, 2025
- Trending Up (Efficiency): Duquesne, Fordham, George Mason, G Washington, URI
- Trending Down (Efficiency): Davidson, Dayton, La Salle, Saint Joe’s, Loyola-Chicago
Team-by-Team Analysis
Davidson
Record: 8-4 | Elo: 1508.8 (ranked 175 of 365) | Efficiency Margin: +5.73 (ranked 123 of 365)
Offensive Trends:
- Off Reb Pct (Offensive Rebounding): Currently ranked 238 of 365 in D1. Trending up strongly 🟢.
- FGA Per Poss (Field Goal Attempts Per Possession (%)): Currently ranked 218 of 365 in D1. Trending up strongly 🟢.
Defensive Trends:
- Opp FGA Per Poss (Opp FG Attempts Per Possession (%)): Currently ranked 137 of 365 in D1. Trending down strongly 🟢.
- Opp 2Pt Rate (Opp 2 Point Attempts/FGA (%)): Currently ranked 318 of 365 in D1. Trending up strongly 🔴.
Dayton
Record: 9-4 | Elo: 1621.1 (ranked 53 of 365) | Efficiency Margin: +16.04 (ranked 52 of 365)
Offensive Trends:
- FT Rate (FTA/FGA (%)): Currently ranked 9 of 365 in D1. Trending up strongly 🟢.
- Adj Off Eff (Adjusted Offensive Efficiency): Currently ranked 89 of 365 in D1. Trending down moderately 🔴.
Defensive Trends:
- Def Reb Pct (Defensive Rebounding): Currently ranked 72 of 365 in D1. Trending up strongly 🟢.
- Opp FGA Per Poss (Opp FG Attempts Per Possession (%)): Currently ranked 41 of 365 in D1. Trending down strongly 🟢.
Duquesne
Record: 8-5 | Elo: 1501.3 (ranked 183 of 365) | Efficiency Margin: +4.42 (ranked 127 of 365)
Offensive Trends:
- Shooting (Shooting): Currently ranked 39 of 365 in D1. Trending up strongly 🟢.
- Off Reb Pct (Offensive Rebounding): Currently ranked 141 of 365 in D1. Trending up strongly 🟢.
Defensive Trends:
- Opp 3Pt Pct (Opp 3 Point FGM/FGA (%)): Currently ranked 241 of 365 in D1. Trending up strongly 🔴.
- Opp Off Tempo (Opp Offensive Possessions Per Game): Currently ranked 58 of 365 in D1. Trending up strongly 🔴.
Fordham
Record: 8-4 | Elo: 1448.5 (ranked 256 of 365) | Efficiency Margin: +2.96 (ranked 138 of 365)
Offensive Trends:
- Shooting (Shooting): Currently ranked 152 of 365 in D1. Trending up strongly 🟢.
- FT Rate (FTA/FGA (%)): Currently ranked 357 of 365 in D1. Trending down strongly 🔴.
Defensive Trends:
- Opp Shooting (Opp Shooting): Currently ranked 45 of 365 in D1. Trending down strongly 🟢.
- Def Reb Pct (Defensive Rebounding): Currently ranked 26 of 365 in D1. Trending up strongly 🟢.
G Washington
Record: 9-4 | Elo: 1535.0 (ranked 133 of 365) | Efficiency Margin: +9.92 (ranked 90 of 365)
Offensive Trends:
- Off Reb Pct (Offensive Rebounding): Currently ranked 59 of 365 in D1. Trending up strongly 🟢.
- Adj Off Eff (Adjusted Offensive Efficiency): Currently ranked 65 of 365 in D1. Trending up strongly 🟢.
Defensive Trends:
- Opp Shooting (Opp Shooting): Currently ranked 190 of 365 in D1. Trending up strongly 🔴.
- Def Reb Pct (Defensive Rebounding): Currently ranked 55 of 365 in D1. Trending up strongly 🟢.
George Mason
Record: 12-1 | Elo: 1653.9 (ranked 27 of 365) | Efficiency Margin: +13.34 (ranked 69 of 365)
Offensive Trends:
- Turnovers (Turnovers): Currently ranked 97 of 365 in D1. Trending down strongly 🟢.
- Adj Off Eff (Adjusted Offensive Efficiency): Currently ranked 78 of 365 in D1. Trending up strongly 🟢.
Defensive Trends:
- Opp Shooting (Opp Shooting): Currently ranked 71 of 365 in D1. Trending up strongly 🔴.
- Opp Turnovers (Opp Turnovers): Currently ranked 161 of 365 in D1. Trending down strongly 🟢.
La Salle
Record: 4-9 | Elo: 1424.6 (ranked 283 of 365) | Efficiency Margin: -12.67 (ranked 267 of 365)
Offensive Trends:
- Shooting (Shooting): Currently ranked 329 of 365 in D1. Trending down strongly 🔴.
- Turnovers (Turnovers): Currently ranked 345 of 365 in D1. Trending up strongly 🔴.
Defensive Trends:
- Opp Shooting (Opp Shooting): Currently ranked 280 of 365 in D1. Trending up strongly 🔴.
- Opp FT Rate (Opp FTA/FGA (%)): Currently ranked 70 of 365 in D1. Trending up strongly 🔴.
Loyola-Chicago
Record: 4-9 | Elo: 1524.9 (ranked 148 of 365) | Efficiency Margin: -17.10 (ranked 300 of 365)
Offensive Trends:
- FT Rate (FTA/FGA (%)): Currently ranked 83 of 365 in D1. Trending up strongly 🟢.
- 2PA Per Poss (2 Point Attempts Per Possession (%)): Currently ranked 346 of 365 in D1. Trending down strongly 🔴.
Defensive Trends:
- Opp Turnovers (Opp Turnovers): Currently ranked 364 of 365 in D1. Trending down strongly 🟢.
- Opp FGM Per Poss (Opp FG Makes Per Possession (%)): Currently ranked 279 of 365 in D1. Trending up strongly 🔴.
Richmond
Record: 10-3 | Elo: 1499.9 (ranked 186 of 365) | Efficiency Margin: +8.53 (ranked 102 of 365)
Offensive Trends:
- FT Rate (FTA/FGA (%)): Currently ranked 58 of 365 in D1. Trending up strongly 🟢.
- Adj Off Eff (Adjusted Offensive Efficiency): Currently ranked 114 of 365 in D1. Trending up strongly 🟢.
Defensive Trends:
- Opp Turnovers (Opp Turnovers): Currently ranked 92 of 365 in D1. Trending up strongly 🔴.
- Opp 3PM Per Poss (Opp 3 Point Makes Per Possession (%)): Currently ranked 231 of 365 in D1. Trending down strongly 🟢.
Saint Joe’s
Record: 8-5 | Elo: 1547.0 (ranked 117 of 365) | Efficiency Margin: -0.27 (ranked 166 of 365)
Offensive Trends:
- Off Reb Pct (Offensive Rebounding): Currently ranked 93 of 365 in D1. Trending up strongly 🟢.
- 3Pt Pct (3 Point FGM/FGA (%)): Currently ranked 359 of 365 in D1. Trending down strongly 🔴.
Defensive Trends:
- Opp 3PM Per Poss (Opp 3 Point Makes Per Possession (%)): Currently ranked 63 of 365 in D1. Trending down strongly 🟢.
- Opp 3Pt Pct (Opp 3 Point FGM/FGA (%)): Currently ranked 84 of 365 in D1. Trending down strongly 🟢.
Saint Louis
Record: 12-1 | Elo: 1593.7 (ranked 75 of 365) | Efficiency Margin: +20.35 (ranked 38 of 365)
Offensive Trends:
- Shooting (Shooting): Currently ranked 11 of 365 in D1. Trending up strongly 🟢.
- Turnovers (Turnovers): Currently ranked 227 of 365 in D1. Trending down strongly 🟢.
Defensive Trends:
- Opp Shooting (Opp Shooting): Currently ranked 7 of 365 in D1. Trending down strongly 🟢.
- Def Reb Pct (Defensive Rebounding): Currently ranked 14 of 365 in D1. Trending up strongly 🟢.
St Bonaventure
Record: 11-2 | Elo: 1605.8 (ranked 66 of 365) | Efficiency Margin: +6.59 (ranked 116 of 365)
Offensive Trends:
- Shooting (Shooting): Currently ranked 123 of 365 in D1. Trending up strongly 🟢.
- Off Reb Pct (Offensive Rebounding): Currently ranked 22 of 365 in D1. Trending up strongly 🟢.
Defensive Trends:
- Opp FGM Per Poss (Opp FG Makes Per Possession (%)): Currently ranked 183 of 365 in D1. Trending up strongly 🔴.
- Opp FG Pct (%) (Opp FGM/FGA (%)): Currently ranked 194 of 365 in D1. Trending up strongly 🔴.
URI
Record: 9-4 | Elo: 1520.0 (ranked 155 of 365) | Efficiency Margin: +9.17 (ranked 95 of 365)
Offensive Trends:
- Off Reb Pct (Offensive Rebounding): Currently ranked 61 of 365 in D1. Trending up strongly 🟢.
- 2Pt Rate (2 Point Attempts/FGA (%)): Currently ranked 233 of 365 in D1. Trending down strongly 🔴.
Defensive Trends:
- Opp Turnovers (Opp Turnovers): Currently ranked 20 of 365 in D1. Trending up strongly 🔴.
- Opp FGM Per Poss (Opp FG Makes Per Possession (%)): Currently ranked 47 of 365 in D1. Trending down strongly 🟢.
VCU
Record: 9-4 | Elo: 1648.4 (ranked 30 of 365) | Efficiency Margin: +20.72 (ranked 36 of 365)
Offensive Trends:
- Shooting (Shooting): Currently ranked 65 of 365 in D1. Trending up strongly 🟢.
- FGM Per Poss (Field Goal Makes Per Possession (%)): Currently ranked 133 of 365 in D1. Trending up strongly 🟢.
Defensive Trends:
- Opp Turnovers (Opp Turnovers): Currently ranked 116 of 365 in D1. Trending down strongly 🟢.
- Opp FGM Per Poss (Opp FG Makes Per Possession (%)): Currently ranked 60 of 365 in D1. Trending up strongly 🔴.

Figure 2: Offensive Four Factors comparison across Atlantic 10 teams. The radar chart shows each team’s shooting efficiency (eFG%), ball security (TOV%), offensive rebounding (OREB%), and free throw generation (FT Rate).

Figure 3: Defensive Four Factors comparison across Atlantic 10 teams. The radar chart shows each team’s opponent shooting defense (Opp eFG%), ball disruption (forcing TOV%), defensive rebounding (DREB%), and opponent free throw prevention (Opp FT Rate).

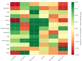
Figure 4: MACD trends heatmap showing which metrics are improving (green) or declining (red) for each team. Stronger colors indicate more pronounced trends.
Looking Ahead
As Atlantic 10 teams continue their season, the MACD trending indicators will help identify which teams are genuinely improving versus those riding unsustainable momentum. Check back next week for updated analysis.
Metrics Glossary
Four Factors (Dean Oliver’s framework for basketball success):
- eFG% (Effective Field Goal %): Field goal percentage adjusted for 3-pointers being worth more (FGM + 0.5×3PM) / FGA. Higher is better offensively, lower is better defensively.
- TOV% (Turnover Rate): Turnovers per 100 possessions. Lower is better offensively (taking care of the ball), higher is better defensively (forcing turnovers).
- OREB% / DREB% (Offensive/Defensive Rebound Rate): Percentage of available rebounds grabbed. Offensive rebounds create second-chance points; defensive rebounds end opponent possessions.
- FTR (Free Throw Rate): Free throws made per field goal attempt (FTM/FGA). Measures ability to get to the line AND convert. Higher is better offensively, lower is better defensively.
Other Metrics:
- Elo Rating: Chess-style rating system that updates based on game results and opponent strength. Higher Elo indicates stronger team.
- Efficiency Margin: Point differential per 100 possessions (Offensive Efficiency – Defensive Efficiency). Accounts for pace of play.
- MACD (Moving Average Convergence Divergence): Trend indicator comparing 12-game and 26-game exponential moving averages. Positive MACD = improving trend, Negative MACD = declining trend.
Analysis powered by HoopSci’s advanced metrics and MACD trending indicators.

