Big Sky Update: Week 8
December 29, 2025The Big Sky enters Week 8 with teams showing diverse trending patterns. This analysis examines each team’s performance trends using MACD (Moving Average Convergence Divergence) indicators to identify not just where teams stand, but where they’re headed.

Figure 1: Efficiency margin trends for Big Sky teams throughout the season. Teams trending upward show improving performance, while downward trends indicate struggles.
Conference Snapshot
- Week Dates: December 22 – December 28, 2025
- Trending Up (Efficiency): Idaho State, N Arizona, N Colorado, Weber State
- Trending Down (Efficiency): E Washington, Idaho, Montana, Montana State, Portland State
Team-by-Team Analysis
E Washington
Record: 2-11 | Elo: 1390.6 (ranked 319 of 365) | Efficiency Margin: -14.92 (ranked 277 of 365)
Offensive Trends:
- Turnovers (Turnovers): Currently ranked 278 of 365 in D1. Trending down strongly 🟢.
- FGA Per Poss (Field Goal Attempts Per Possession (%)): Currently ranked 243 of 365 in D1. Trending up strongly 🟢.
Defensive Trends:
- Opp Shooting (Opp Shooting): Currently ranked 363 of 365 in D1. Trending up strongly 🔴.
- Def Reb Pct (Defensive Rebounding): Currently ranked 257 of 365 in D1. Trending down strongly 🔴.
Idaho
Record: 8-5 | Elo: 1450.7 (ranked 255 of 365) | Efficiency Margin: -0.83 (ranked 174 of 365)
Offensive Trends:
- Off Reb Pct (Offensive Rebounding): Currently ranked 221 of 365 in D1. Trending up strongly 🟢.
- Adj Off Eff (Adjusted Offensive Efficiency): Currently ranked 147 of 365 in D1. Trending up strongly 🟢.
Defensive Trends:
- Def Reb Pct (Defensive Rebounding): Currently ranked 27 of 365 in D1. Trending up strongly 🟢.
- Opp FT Pct (Opp FTM/FTA (%)): Currently ranked 30 of 365 in D1. Trending down strongly 🟢.
Idaho State
Record: 7-6 | Elo: 1456.2 (ranked 243 of 365) | Efficiency Margin: -2.76 (ranked 189 of 365)
Offensive Trends:
- Shooting (Shooting): Currently ranked 90 of 365 in D1. Trending up strongly 🟢.
- Off Reb Pct (Offensive Rebounding): Currently ranked 86 of 365 in D1. Trending up strongly 🟢.
Defensive Trends:
- Def Reb Pct (Defensive Rebounding): Currently ranked 297 of 365 in D1. Trending down strongly 🔴.
- Opp 2PM Per Poss (Opp 2 Point Makes Per Possession (%)): Currently ranked 333 of 365 in D1. Trending up strongly 🔴.
Montana
Record: 6-6 | Elo: 1546.0 (ranked 118 of 365) | Efficiency Margin: -6.89 (ranked 218 of 365)
Offensive Trends:
- Turnovers (Turnovers): Currently ranked 339 of 365 in D1. Trending up strongly 🔴.
- Off Reb Pct (Offensive Rebounding): Currently ranked 341 of 365 in D1. Trending up strongly 🟢.
Defensive Trends:
- Def Reb Pct (Defensive Rebounding): Currently ranked 285 of 365 in D1. Trending down strongly 🔴.
- Opp 2Pt Pct (Opp 2 Point FGM/FGA (%)): Currently ranked 304 of 365 in D1. Trending up strongly 🔴.
Montana State
Record: 6-7 | Elo: 1472.0 (ranked 226 of 365) | Efficiency Margin: -0.47 (ranked 169 of 365)
Offensive Trends:
- Off Reb Pct (Offensive Rebounding): Currently ranked 270 of 365 in D1. Trending up strongly 🟢.
- FGA Per Poss (Field Goal Attempts Per Possession (%)): Currently ranked 60 of 365 in D1. Trending up strongly 🟢.
Defensive Trends:
- Opp FT Rate (Opp FTA/FGA (%)): Currently ranked 307 of 365 in D1. Trending up strongly 🔴.
- Opp FGM Per Poss (Opp FG Makes Per Possession (%)): Currently ranked 159 of 365 in D1. Trending down strongly 🟢.
N Arizona
Record: 5-7 | Elo: 1429.3 (ranked 277 of 365) | Efficiency Margin: -15.47 (ranked 281 of 365)
Offensive Trends:
- Turnovers (Turnovers): Currently ranked 251 of 365 in D1. Trending up strongly 🔴.
- Off Reb Pct (Offensive Rebounding): Currently ranked 318 of 365 in D1. Trending down strongly 🔴.
Defensive Trends:
- Def Reb Pct (Defensive Rebounding): Currently ranked 266 of 365 in D1. Trending down strongly 🔴.
- Opp FTA Per Poss (Opp Free Throw Attempts Per Possession (%)): Currently ranked 168 of 365 in D1. Trending up strongly 🔴.
N Colorado
Record: 10-3 | Elo: 1585.1 (ranked 85 of 365) | Efficiency Margin: +2.22 (ranked 147 of 365)
Offensive Trends:
- FT Rate (FTA/FGA (%)): Currently ranked 279 of 365 in D1. Trending down strongly 🔴.
- FGM Per Poss (Field Goal Makes Per Possession (%)): Currently ranked 17 of 365 in D1. Trending up strongly 🟢.
Defensive Trends:
- Opp Turnovers (Opp Turnovers): Currently ranked 363 of 365 in D1. Trending down strongly 🟢.
- Opp FGM Per Poss (Opp FG Makes Per Possession (%)): Currently ranked 280 of 365 in D1. Trending up strongly 🔴.
Portland State
Record: 6-5 | Elo: 1483.7 (ranked 209 of 365) | Efficiency Margin: -4.39 (ranked 200 of 365)
Offensive Trends:
- Balls Blocked Per FGA (Balls Blocked Per Shot Attempt): Currently ranked 19 of 365 in D1. Trending down strongly 🔴.
- Fouls Drawn Per Poss (Fouls Drawn Per Possession): Currently ranked 347 of 365 in D1. Trending down strongly 🟢.
Defensive Trends:
- Opp Shooting (Opp Shooting): Currently ranked 69 of 365 in D1. Trending down strongly 🟢.
- Opp FT Rate (Opp FTA/FGA (%)): Currently ranked 329 of 365 in D1. Trending up strongly 🔴.
Sacramento St
Record: 4-8 | Elo: 1319.9 (ranked 361 of 365) | Efficiency Margin: -16.25 (ranked 291 of 365)
Offensive Trends:
- Shooting (Shooting): Currently ranked 356 of 365 in D1. Trending down strongly 🔴.
- Turnovers (Turnovers): Currently ranked 213 of 365 in D1. Trending down strongly 🟢.
Defensive Trends:
- Def Reb Pct (Defensive Rebounding): Currently ranked 292 of 365 in D1. Trending down strongly 🔴.
- Opp 2Pt Rate (Opp 2 Point Attempts/FGA (%)): Currently ranked 135 of 365 in D1. Trending up strongly 🔴.
Weber State
Record: 6-7 | Elo: 1424.5 (ranked 284 of 365) | Efficiency Margin: -4.82 (ranked 203 of 365)
Offensive Trends:
- Shooting (Shooting): Currently ranked 151 of 365 in D1. Trending up strongly 🟢.
- Off Reb Pct (Offensive Rebounding): Currently ranked 123 of 365 in D1. Trending up strongly 🟢.
Defensive Trends:
- Opp FGM Per Poss (Opp FG Makes Per Possession (%)): Currently ranked 219 of 365 in D1. Trending up strongly 🔴.
- Opp FG Pct (%) (Opp FGM/FGA (%)): Currently ranked 253 of 365 in D1. Trending up strongly 🔴.

Figure 2: Offensive Four Factors comparison across Big Sky teams. The radar chart shows each team’s shooting efficiency (eFG%), ball security (TOV%), offensive rebounding (OREB%), and free throw generation (FT Rate).

Figure 3: Defensive Four Factors comparison across Big Sky teams. The radar chart shows each team’s opponent shooting defense (Opp eFG%), ball disruption (forcing TOV%), defensive rebounding (DREB%), and opponent free throw prevention (Opp FT Rate).

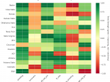
Figure 4: MACD trends heatmap showing which metrics are improving (green) or declining (red) for each team. Stronger colors indicate more pronounced trends.
Looking Ahead
As Big Sky teams continue their season, the MACD trending indicators will help identify which teams are genuinely improving versus those riding unsustainable momentum. Check back next week for updated analysis.
Metrics Glossary
Four Factors (Dean Oliver’s framework for basketball success):
- eFG% (Effective Field Goal %): Field goal percentage adjusted for 3-pointers being worth more (FGM + 0.5×3PM) / FGA. Higher is better offensively, lower is better defensively.
- TOV% (Turnover Rate): Turnovers per 100 possessions. Lower is better offensively (taking care of the ball), higher is better defensively (forcing turnovers).
- OREB% / DREB% (Offensive/Defensive Rebound Rate): Percentage of available rebounds grabbed. Offensive rebounds create second-chance points; defensive rebounds end opponent possessions.
- FTR (Free Throw Rate): Free throws made per field goal attempt (FTM/FGA). Measures ability to get to the line AND convert. Higher is better offensively, lower is better defensively.
Other Metrics:
- Elo Rating: Chess-style rating system that updates based on game results and opponent strength. Higher Elo indicates stronger team.
- Efficiency Margin: Point differential per 100 possessions (Offensive Efficiency – Defensive Efficiency). Accounts for pace of play.
- MACD (Moving Average Convergence Divergence): Trend indicator comparing 12-game and 26-game exponential moving averages. Positive MACD = improving trend, Negative MACD = declining trend.
Analysis powered by HoopSci’s advanced metrics and MACD trending indicators.

