Coastal Update: Week 8
December 29, 2025The Coastal enters Week 8 with teams showing diverse trending patterns. This analysis examines each team’s performance trends using MACD (Moving Average Convergence Divergence) indicators to identify not just where teams stand, but where they’re headed.

Figure 1: Efficiency margin trends for Colonial teams throughout the season. Teams trending upward show improving performance, while downward trends indicate struggles.
Conference Snapshot
- Week Dates: December 22 – December 28, 2025
- Trending Up (Efficiency): Charleston, Drexel, Elon, Hofstra, Northeastern
- Trending Down (Efficiency): UNC Wilmington, Hampton, Stony Brook, Campbell
Team-by-Team Analysis
Campbell
Record: 5-7 | Elo: 1458.4 (ranked 242 of 365) | Efficiency Margin: -8.46 (ranked 229 of 365)
Offensive Trends:
- Turnovers (Turnovers): Currently ranked 319 of 365 in D1. Trending up strongly 🔴.
- Off Reb Pct (Offensive Rebounding): Currently ranked 92 of 365 in D1. Trending up strongly 🟢.
Defensive Trends:
- Opp Shooting (Opp Shooting): Currently ranked 301 of 365 in D1. Trending up strongly 🔴.
- Def Reb Pct (Defensive Rebounding): Currently ranked 265 of 365 in D1. Trending down strongly 🔴.
Charleston
Record: 7-6 | Elo: 1590.8 (ranked 76 of 365) | Efficiency Margin: -3.61 (ranked 195 of 365)
Offensive Trends:
- FT Rate (FTA/FGA (%)): Currently ranked 28 of 365 in D1. Trending up strongly 🟢.
- FGA Per Poss (Field Goal Attempts Per Possession (%)): Currently ranked 233 of 365 in D1. Trending down strongly 🔴.
Defensive Trends:
- Opp 2Pt Rate (Opp 2 Point Attempts/FGA (%)): Currently ranked 63 of 365 in D1. Trending down strongly 🟢.
- Opp 2PM Per Poss (Opp 2 Point Makes Per Possession (%)): Currently ranked 144 of 365 in D1. Trending down strongly 🟢.
Drexel
Record: 6-7 | Elo: 1487.9 (ranked 203 of 365) | Efficiency Margin: -6.69 (ranked 214 of 365)
Offensive Trends:
- Shooting (Shooting): Currently ranked 197 of 365 in D1. Trending up strongly 🟢.
- Turnovers (Turnovers): Currently ranked 284 of 365 in D1. Trending up strongly 🔴.
Defensive Trends:
- Opp Turnovers (Opp Turnovers): Currently ranked 179 of 365 in D1. Trending up strongly 🔴.
- Opp FT Rate (Opp FTA/FGA (%)): Currently ranked 278 of 365 in D1. Trending up strongly 🔴.
Elon
Record: 8-5 | Elo: 1473.8 (ranked 223 of 365) | Efficiency Margin: +5.55 (ranked 124 of 365)
Offensive Trends:
- Off Reb Pct (Offensive Rebounding): Currently ranked 18 of 365 in D1. Trending up strongly 🟢.
- Adj Off Eff (Adjusted Offensive Efficiency): Currently ranked 47 of 365 in D1. Trending up strongly 🟢.
Defensive Trends:
- Opp Turnovers (Opp Turnovers): Currently ranked 222 of 365 in D1. Trending up strongly 🔴.
- Def Reb Pct (Defensive Rebounding): Currently ranked 279 of 365 in D1. Trending down strongly 🔴.
Hampton
Record: 6-7 | Elo: 1437.9 (ranked 268 of 365) | Efficiency Margin: -13.50 (ranked 270 of 365)
Offensive Trends:
- Off Reb Pct (Offensive Rebounding): Currently ranked 81 of 365 in D1. Trending up strongly 🟢.
- FT Rate (FTA/FGA (%)): Currently ranked 21 of 365 in D1. Trending up strongly 🟢.
Defensive Trends:
- Opp FT Rate (Opp FTA/FGA (%)): Currently ranked 338 of 365 in D1. Trending up strongly 🔴.
- Opp FGA Per Poss (Opp FG Attempts Per Possession (%)): Currently ranked 57 of 365 in D1. Trending down strongly 🟢.
Hofstra
Record: 9-4 | Elo: 1543.3 (ranked 122 of 365) | Efficiency Margin: +14.30 (ranked 64 of 365)
Offensive Trends:
- Shooting (Shooting): Currently ranked 132 of 365 in D1. Trending up strongly 🟢.
- Off Reb Pct (Offensive Rebounding): Currently ranked 97 of 365 in D1. Trending up strongly 🟢.
Defensive Trends:
- Def Reb Pct (Defensive Rebounding): Currently ranked 185 of 365 in D1. Trending down strongly 🔴.
- Opp FGM Per Poss (Opp FG Makes Per Possession (%)): Currently ranked 83 of 365 in D1. Trending up strongly 🔴.
Monmouth
Record: 6-7 | Elo: 1475.9 (ranked 220 of 365) | Efficiency Margin: -0.16 (ranked 164 of 365)
Offensive Trends:
- FT Rate (FTA/FGA (%)): Currently ranked 156 of 365 in D1. Trending down strongly 🔴.
- FGM Per Poss (Field Goal Makes Per Possession (%)): Currently ranked 223 of 365 in D1. Trending up strongly 🟢.
Defensive Trends:
- Opp Shooting (Opp Shooting): Currently ranked 212 of 365 in D1. Trending up strongly 🔴.
- Opp Turnovers (Opp Turnovers): Currently ranked 115 of 365 in D1. Trending up strongly 🔴.
NC A&T
Record: 6-4 | Elo: 1394.6 (ranked 315 of 365) | Efficiency Margin: -7.32 (ranked 220 of 365)
Offensive Trends:
- Shooting (Shooting): Currently ranked 254 of 365 in D1. Trending up strongly 🟢.
- Off Reb Pct (Offensive Rebounding): Currently ranked 142 of 365 in D1. Trending up strongly 🟢.
Defensive Trends:
- Opp Shooting (Opp Shooting): Currently ranked 127 of 365 in D1. Trending down strongly 🟢.
- Opp FGM Per Poss (Opp FG Makes Per Possession (%)): Currently ranked 142 of 365 in D1. Trending down strongly 🟢.
Northeastern
Record: 4-7 | Elo: 1477.6 (ranked 216 of 365) | Efficiency Margin: -0.08 (ranked 163 of 365)
Offensive Trends:
- 2PA Per Poss (2 Point Attempts Per Possession (%)): Currently ranked 154 of 365 in D1. Trending down strongly 🔴.
- 3Pt Pct (3 Point FGM/FGA (%)): Currently ranked 213 of 365 in D1. Trending up strongly 🟢.
Defensive Trends:
- Def Reb Pct (Defensive Rebounding): Currently ranked 191 of 365 in D1. Trending down strongly 🔴.
- Opp FT Rate (Opp FTA/FGA (%)): Currently ranked 287 of 365 in D1. Trending up strongly 🔴.
Stony Brook
Record: 8-5 | Elo: 1437.6 (ranked 269 of 365) | Efficiency Margin: -10.42 (ranked 248 of 365)
Offensive Trends:
- FGM Per Poss (Field Goal Makes Per Possession (%)): Currently ranked 274 of 365 in D1. Trending down strongly 🔴.
- 2Pt Pct (2 Point FGM/FGA (%)): Currently ranked 312 of 365 in D1. Trending down strongly 🔴.
Defensive Trends:
- Opp Shooting (Opp Shooting): Currently ranked 141 of 365 in D1. Trending down strongly 🟢.
- Opp FGM Per Poss (Opp FG Makes Per Possession (%)): Currently ranked 139 of 365 in D1. Trending down strongly 🟢.
Towson
Record: 8-5 | Elo: 1589.9 (ranked 78 of 365) | Efficiency Margin: -1.56 (ranked 179 of 365)
Offensive Trends:
- Off Reb Pct (Offensive Rebounding): Currently ranked 40 of 365 in D1. Trending up strongly 🟢.
- 2PM Per Poss (2 Point Makes Per Possession (%)): Currently ranked 57 of 365 in D1. Trending up strongly 🟢.
Defensive Trends:
- Opp FT Rate (Opp FTA/FGA (%)): Currently ranked 31 of 365 in D1. Trending down strongly 🟢.
- Opp FGM Per Poss (Opp FG Makes Per Possession (%)): Currently ranked 261 of 365 in D1. Trending up strongly 🔴.
UNC Wilmington
Record: 11-2 | Elo: 1635.4 (ranked 42 of 365) | Efficiency Margin: +9.68 (ranked 92 of 365)
Offensive Trends:
- Off Reb Pct (Offensive Rebounding): Currently ranked 10 of 365 in D1. Trending up strongly 🟢.
- FGA Per Poss (Field Goal Attempts Per Possession (%)): Currently ranked 38 of 365 in D1. Trending up strongly 🟢.
Defensive Trends:
- Opp Shooting (Opp Shooting): Currently ranked 42 of 365 in D1. Trending down strongly 🟢.
- Def Reb Pct (Defensive Rebounding): Currently ranked 128 of 365 in D1. Trending down strongly 🔴.
William & Mary
Record: 9-3 | Elo: 1518.5 (ranked 160 of 365) | Efficiency Margin: +7.95 (ranked 108 of 365)
Offensive Trends:
- FG Pct (Field Goal Percentage (FGM/FGA)): Currently ranked 36 of 365 in D1. Trending up strongly 🟢.
- 2Pt Rate (2 Point Attempts/FGA (%)): Currently ranked 278 of 365 in D1. Trending up strongly 🟢.
Defensive Trends:
- Opp 2Pt Rate (Opp 2 Point Attempts/FGA (%)): Currently ranked 47 of 365 in D1. Trending down strongly 🟢.
- Opp 2PA Per Poss (Opp 2 Point Attempts Per Possession (%)): Currently ranked 46 of 365 in D1. Trending down strongly 🟢.

Figure 2: Offensive Four Factors comparison across Colonial teams. The radar chart shows each team’s shooting efficiency (eFG%), ball security (TOV%), offensive rebounding (OREB%), and free throw generation (FT Rate).

Figure 3: Defensive Four Factors comparison across Colonial teams. The radar chart shows each team’s opponent shooting defense (Opp eFG%), ball disruption (forcing TOV%), defensive rebounding (DREB%), and opponent free throw prevention (Opp FT Rate).

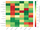
Figure 4: MACD trends heatmap showing which metrics are improving (green) or declining (red) for each team. Stronger colors indicate more pronounced trends.
Looking Ahead
As Colonial teams continue their season, the MACD trending indicators will help identify which teams are genuinely improving versus those riding unsustainable momentum. Check back next week for updated analysis.
Metrics Glossary
Four Factors (Dean Oliver’s framework for basketball success):
- eFG% (Effective Field Goal %): Field goal percentage adjusted for 3-pointers being worth more (FGM + 0.5×3PM) / FGA. Higher is better offensively, lower is better defensively.
- TOV% (Turnover Rate): Turnovers per 100 possessions. Lower is better offensively (taking care of the ball), higher is better defensively (forcing turnovers).
- OREB% / DREB% (Offensive/Defensive Rebound Rate): Percentage of available rebounds grabbed. Offensive rebounds create second-chance points; defensive rebounds end opponent possessions.
- FTR (Free Throw Rate): Free throws made per field goal attempt (FTM/FGA). Measures ability to get to the line AND convert. Higher is better offensively, lower is better defensively.
Other Metrics:
- Elo Rating: Chess-style rating system that updates based on game results and opponent strength. Higher Elo indicates stronger team.
- Efficiency Margin: Point differential per 100 possessions (Offensive Efficiency – Defensive Efficiency). Accounts for pace of play.
- MACD (Moving Average Convergence Divergence): Trend indicator comparing 12-game and 26-game exponential moving averages. Positive MACD = improving trend, Negative MACD = declining trend.
Analysis powered by HoopSci’s advanced metrics and MACD trending indicators.

