Mid-American Update: Week 8
December 29, 2025The Mid-American enters Week 8 with teams showing diverse trending patterns. This analysis examines each team’s performance trends using MACD (Moving Average Convergence Divergence) indicators to identify not just where teams stand, but where they’re headed.

Figure 1: Efficiency margin trends for Mid-American teams throughout the season. Teams trending upward show improving performance, while downward trends indicate struggles.
Conference Snapshot
- Week Dates: December 22 – December 28, 2025
- Trending Up (Efficiency): Akron, Bowling Green, Buffalo, Kent State, Miami (OH)
- Trending Down (Efficiency): Ball State, Cent Michigan, E Michigan, N Illinois
Team-by-Team Analysis
Akron
Record: 9-3 | Elo: 1645.5 (ranked 33 of 365) | Efficiency Margin: +20.19 (ranked 39 of 365)
Offensive Trends:
- Shooting (Shooting): Currently ranked 4 of 365 in D1. Trending up strongly 🟢.
- Turnovers (Turnovers): Currently ranked 14 of 365 in D1. Trending down strongly 🟢.
Defensive Trends:
- Def Reb Pct (Defensive Rebounding): Currently ranked 289 of 365 in D1. Trending down strongly 🔴.
- Opp FGA Per Poss (Opp FG Attempts Per Possession (%)): Currently ranked 271 of 365 in D1. Trending up strongly 🔴.
Ball State
Record: 3-9 | Elo: 1395.7 (ranked 314 of 365) | Efficiency Margin: -17.10 (ranked 301 of 365)
Offensive Trends:
- Shooting (Shooting): Currently ranked 330 of 365 in D1. Trending down strongly 🔴.
- Turnovers (Turnovers): Currently ranked 127 of 365 in D1. Trending down strongly 🟢.
Defensive Trends:
- Opp Turnovers (Opp Turnovers): Currently ranked 78 of 365 in D1. Trending up strongly 🔴.
- Opp FT Rate (Opp FTA/FGA (%)): Currently ranked 48 of 365 in D1. Trending up strongly 🔴.
Bowling Green
Record: 10-3 | Elo: 1489.1 (ranked 200 of 365) | Efficiency Margin: +12.23 (ranked 75 of 365)
Offensive Trends:
- Shooting (Shooting): Currently ranked 146 of 365 in D1. Trending up strongly 🟢.
- Off Reb Pct (Offensive Rebounding): Currently ranked 178 of 365 in D1. Trending up strongly 🟢.
Defensive Trends:
- Opp Shooting (Opp Shooting): Currently ranked 55 of 365 in D1. Trending down strongly 🟢.
- Opp FT Rate (Opp FTA/FGA (%)): Currently ranked 315 of 365 in D1. Trending up strongly 🔴.
Buffalo
Record: 11-2 | Elo: 1455.1 (ranked 246 of 365) | Efficiency Margin: +6.72 (ranked 115 of 365)
Offensive Trends:
- Shooting (Shooting): Currently ranked 62 of 365 in D1. Trending up strongly 🟢.
- Turnovers (Turnovers): Currently ranked 70 of 365 in D1. Trending down strongly 🟢.
Defensive Trends:
- Opp Shooting (Opp Shooting): Currently ranked 210 of 365 in D1. Trending down strongly 🟢.
- Opp FGA Per Poss (Opp FG Attempts Per Possession (%)): Currently ranked 252 of 365 in D1. Trending up strongly 🔴.
Cent Michigan
Record: 4-9 | Elo: 1414.2 (ranked 297 of 365) | Efficiency Margin: -15.92 (ranked 287 of 365)
Offensive Trends:
- Off Reb Pct (Offensive Rebounding): Currently ranked 190 of 365 in D1. Trending up strongly 🟢.
- 3Pt Pct (3 Point FGM/FGA (%)): Currently ranked 344 of 365 in D1. Trending down strongly 🔴.
Defensive Trends:
- Opp Shooting (Opp Shooting): Currently ranked 316 of 365 in D1. Trending up strongly 🔴.
- Def Reb Pct (Defensive Rebounding): Currently ranked 320 of 365 in D1. Trending down strongly 🔴.
E Michigan
Record: 6-7 | Elo: 1459.6 (ranked 240 of 365) | Efficiency Margin: -1.61 (ranked 180 of 365)
Offensive Trends:
- 2Pt Rate (2 Point Attempts/FGA (%)): Currently ranked 28 of 365 in D1. Trending up strongly 🟢.
- 2PA Per Poss (2 Point Attempts Per Possession (%)): Currently ranked 18 of 365 in D1. Trending up strongly 🟢.
Defensive Trends:
- Opp FGM Per Poss (Opp FG Makes Per Possession (%)): Currently ranked 236 of 365 in D1. Trending up strongly 🔴.
- Opp 2Pt Rate (Opp 2 Point Attempts/FGA (%)): Currently ranked 294 of 365 in D1. Trending up strongly 🔴.
Kent State
Record: 10-2 | Elo: 1606.8 (ranked 63 of 365) | Efficiency Margin: +2.40 (ranked 146 of 365)
Offensive Trends:
- Shooting (Shooting): Currently ranked 45 of 365 in D1. Trending up strongly 🟢.
- Turnovers (Turnovers): Currently ranked 305 of 365 in D1. Trending up strongly 🔴.
Defensive Trends:
- Def Reb Pct (Defensive Rebounding): Currently ranked 75 of 365 in D1. Trending up strongly 🟢.
- Opp FT Pct (Opp FTM/FTA (%)): Currently ranked 167 of 365 in D1. Trending down strongly 🟢.
Miami (OH)
Record: 13-0 | Elo: 1616.0 (ranked 57 of 365) | Efficiency Margin: +10.92 (ranked 83 of 365)
Offensive Trends:
- Shooting (Shooting): Currently ranked 8 of 365 in D1. Trending up strongly 🟢.
- Turnovers (Turnovers): Currently ranked 46 of 365 in D1. Trending down strongly 🟢.
Defensive Trends:
- Opp Turnovers (Opp Turnovers): Currently ranked 95 of 365 in D1. Trending down strongly 🟢.
- Def Reb Pct (Defensive Rebounding): Currently ranked 24 of 365 in D1. Trending up strongly 🟢.
N Illinois
Record: 5-7 | Elo: 1351.0 (ranked 355 of 365) | Efficiency Margin: -21.47 (ranked 328 of 365)
Offensive Trends:
- Turnovers (Turnovers): Currently ranked 342 of 365 in D1. Trending up strongly 🔴.
- Off Reb Pct (Offensive Rebounding): Currently ranked 108 of 365 in D1. Trending up strongly 🟢.
Defensive Trends:
- Def Reb Pct (Defensive Rebounding): Currently ranked 312 of 365 in D1. Trending down strongly 🔴.
- Opp FGM Per Poss (Opp FG Makes Per Possession (%)): Currently ranked 342 of 365 in D1. Trending up strongly 🔴.
Ohio
Record: 6-7 | Elo: 1483.3 (ranked 211 of 365) | Efficiency Margin: -8.72 (ranked 231 of 365)
Offensive Trends:
- Shooting (Shooting): Currently ranked 238 of 365 in D1. Trending up strongly 🟢.
- Off Reb Pct (Offensive Rebounding): Currently ranked 216 of 365 in D1. Trending up strongly 🟢.
Defensive Trends:
- Def Reb Pct (Defensive Rebounding): Currently ranked 311 of 365 in D1. Trending down strongly 🔴.
- Opp 2Pt Rate (Opp 2 Point Attempts/FGA (%)): Currently ranked 279 of 365 in D1. Trending up strongly 🔴.
Toledo
Record: 6-6 | Elo: 1520.8 (ranked 153 of 365) | Efficiency Margin: -3.17 (ranked 192 of 365)
Offensive Trends:
- Off Reb Pct (Offensive Rebounding): Currently ranked 184 of 365 in D1. Trending up strongly 🟢.
- FT Rate (FTA/FGA (%)): Currently ranked 263 of 365 in D1. Trending down strongly 🔴.
Defensive Trends:
- Def Reb Pct (Defensive Rebounding): Currently ranked 332 of 365 in D1. Trending down strongly 🔴.
- Opp Assists per FGM (Opp Assists/FGM (%)): Currently ranked 240 of 365 in D1. Trending up strongly 🔴.
UMass
Record: 9-4 | Elo: 1469.6 (ranked 229 of 365) | Efficiency Margin: +2.70 (ranked 141 of 365)
Offensive Trends:
- Shooting (Shooting): Currently ranked 172 of 365 in D1. Trending up strongly 🟢.
- Off Reb Pct (Offensive Rebounding): Currently ranked 86 of 365 in D1. Trending up strongly 🟢.
Defensive Trends:
- Opp 2Pt Pct (Opp 2 Point FGM/FGA (%)): Currently ranked 295 of 365 in D1. Trending up strongly 🔴.
- Opp 3PM Per Poss (Opp 3 Point Makes Per Possession (%)): Currently ranked 22 of 365 in D1. Trending down strongly 🟢.
W Michigan
Record: 6-7 | Elo: 1431.3 (ranked 276 of 365) | Efficiency Margin: -15.26 (ranked 280 of 365)
Offensive Trends:
- Shooting (Shooting): Currently ranked 212 of 365 in D1. Trending up strongly 🟢.
- Off Reb Pct (Offensive Rebounding): Currently ranked 262 of 365 in D1. Trending up strongly 🟢.
Defensive Trends:
- Opp Turnovers (Opp Turnovers): Currently ranked 352 of 365 in D1. Trending down strongly 🟢.
- Opp FGM Per Poss (Opp FG Makes Per Possession (%)): Currently ranked 223 of 365 in D1. Trending up strongly 🔴.

Figure 2: Offensive Four Factors comparison across Mid-American teams. The radar chart shows each team’s shooting efficiency (eFG%), ball security (TOV%), offensive rebounding (OREB%), and free throw generation (FT Rate).

Figure 3: Defensive Four Factors comparison across Mid-American teams. The radar chart shows each team’s opponent shooting defense (Opp eFG%), ball disruption (forcing TOV%), defensive rebounding (DREB%), and opponent free throw prevention (Opp FT Rate).

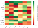
Figure 4: MACD trends heatmap showing which metrics are improving (green) or declining (red) for each team. Stronger colors indicate more pronounced trends.
Looking Ahead
As Mid-American teams continue their season, the MACD trending indicators will help identify which teams are genuinely improving versus those riding unsustainable momentum. Check back next week for updated analysis.
Metrics Glossary
Four Factors (Dean Oliver’s framework for basketball success):
- eFG% (Effective Field Goal %): Field goal percentage adjusted for 3-pointers being worth more (FGM + 0.5×3PM) / FGA. Higher is better offensively, lower is better defensively.
- TOV% (Turnover Rate): Turnovers per 100 possessions. Lower is better offensively (taking care of the ball), higher is better defensively (forcing turnovers).
- OREB% / DREB% (Offensive/Defensive Rebound Rate): Percentage of available rebounds grabbed. Offensive rebounds create second-chance points; defensive rebounds end opponent possessions.
- FTR (Free Throw Rate): Free throws made per field goal attempt (FTM/FGA). Measures ability to get to the line AND convert. Higher is better offensively, lower is better defensively.
Other Metrics:
- Elo Rating: Chess-style rating system that updates based on game results and opponent strength. Higher Elo indicates stronger team.
- Efficiency Margin: Point differential per 100 possessions (Offensive Efficiency – Defensive Efficiency). Accounts for pace of play.
- MACD (Moving Average Convergence Divergence): Trend indicator comparing 12-game and 26-game exponential moving averages. Positive MACD = improving trend, Negative MACD = declining trend.
Analysis powered by HoopSci’s advanced metrics and MACD trending indicators.

