Northeast Update: Week 8
December 29, 2025The Northeast enters Week 8 with teams showing diverse trending patterns. This analysis examines each team’s performance trends using MACD (Moving Average Convergence Divergence) indicators to identify not just where teams stand, but where they’re headed.

Figure 1: Efficiency margin trends for Northeast teams throughout the season. Teams trending upward show improving performance, while downward trends indicate struggles.
Conference Snapshot
- Week Dates: December 22 – December 28, 2025
- Trending Up (Efficiency): Cent Conn St, Brooklyn, Wagner, Mercyhurst, New Haven
- Trending Down (Efficiency): Fair Dickinson, St Francis (PA), Stonehill, Le Moyne, Chicago State
Team-by-Team Analysis
Brooklyn
Record: 6-6 | Elo: 1454.6 (ranked 247 of 365) | Efficiency Margin: -0.64 (ranked 172 of 365)
Offensive Trends:
- Shooting (Shooting): Currently ranked 104 of 365 in D1. Trending up strongly 🟢.
- Adj Off Eff (Adjusted Offensive Efficiency): Currently ranked 148 of 365 in D1. Trending up strongly 🟢.
Defensive Trends:
- Opp Shooting (Opp Shooting): Currently ranked 248 of 365 in D1. Trending up strongly 🔴.
- Def Reb Pct (Defensive Rebounding): Currently ranked 331 of 365 in D1. Trending down strongly 🔴.
Cent Conn St
Record: 6-5 | Elo: 1540.9 (ranked 126 of 365) | Efficiency Margin: -3.84 (ranked 196 of 365)
Offensive Trends:
- Adj Def Eff (Adjusted Defensive Efficiency): Currently ranked 176 of 365 in D1. Trending up strongly 🟢.
- Turnovers (Turnovers): Currently ranked 82 of 365 in D1. Trending down moderately 🟢.
Defensive Trends:
- Opp Shooting (Opp Shooting): Currently ranked 171 of 365 in D1. Trending up strongly 🔴.
- Opp FT Rate (Opp FTA/FGA (%)): Currently ranked 19 of 365 in D1. Trending up strongly 🔴.
Chicago State
Record: 2-11 | Elo: 1324.0 (ranked 360 of 365) | Efficiency Margin: -25.08 (ranked 342 of 365)
Offensive Trends:
- Shooting (Shooting): Currently ranked 357 of 365 in D1. Trending down strongly 🔴.
- Off Reb Pct (Offensive Rebounding): Currently ranked 291 of 365 in D1. Trending up strongly 🟢.
Defensive Trends:
- Opp FGA Per Poss (Opp FG Attempts Per Possession (%)): Currently ranked 188 of 365 in D1. Trending up strongly 🔴.
- Opp 2Pt Rate (Opp 2 Point Attempts/FGA (%)): Currently ranked 2 of 365 in D1. Trending down strongly 🟢.
Fair Dickinson
Record: 3-9 | Elo: 1364.5 (ranked 343 of 365) | Efficiency Margin: -26.57 (ranked 348 of 365)
Offensive Trends:
- Off Reb Pct (Offensive Rebounding): Currently ranked 186 of 365 in D1. Trending up strongly 🟢.
- FT Rate (FTA/FGA (%)): Currently ranked 338 of 365 in D1. Trending down strongly 🔴.
Defensive Trends:
- Opp Shooting (Opp Shooting): Currently ranked 361 of 365 in D1. Trending up strongly 🔴.
- Opp FGM Per Poss (Opp FG Makes Per Possession (%)): Currently ranked 343 of 365 in D1. Trending up strongly 🔴.
Le Moyne
Record: 5-8 | Elo: 1390.8 (ranked 318 of 365) | Efficiency Margin: -7.42 (ranked 222 of 365)
Offensive Trends:
- Adj Off Eff (Adjusted Offensive Efficiency): Currently ranked 145 of 365 in D1. Trending up strongly 🟢.
- 2PA Per Poss (2 Point Attempts Per Possession (%)): Currently ranked 272 of 365 in D1. Trending up strongly 🟢.
Defensive Trends:
- Opp FT Rate (Opp FTA/FGA (%)): Currently ranked 173 of 365 in D1. Trending up strongly 🔴.
- Opp FTM Per Poss (Opp Free Throw Makes Per Possession (%)): Currently ranked 282 of 365 in D1. Trending up strongly 🔴.
Mercyhurst
Record: 5-8 | Elo: 1445.2 (ranked 259 of 365) | Efficiency Margin: -8.80 (ranked 232 of 365)
Offensive Trends:
- FT Rate (FTA/FGA (%)): Currently ranked 352 of 365 in D1. Trending down strongly 🔴.
- FGM Per Poss (Field Goal Makes Per Possession (%)): Currently ranked 126 of 365 in D1. Trending up strongly 🟢.
Defensive Trends:
- Opp 2Pt Rate (Opp 2 Point Attempts/FGA (%)): Currently ranked 297 of 365 in D1. Trending up strongly 🔴.
- Opp 2PA Per Poss (Opp 2 Point Attempts Per Possession (%)): Currently ranked 168 of 365 in D1. Trending up strongly 🔴.
New Haven
Record: 5-7 | Elo: 1469.6 (ranked 229 of 365) | Efficiency Margin: -18.44 (ranked 313 of 365)
Offensive Trends:
- FT Rate (FTA/FGA (%)): Currently ranked 365 of 365 in D1. Trending down strongly 🔴.
- FGA Per Poss (Field Goal Attempts Per Possession (%)): Currently ranked 72 of 365 in D1. Trending up strongly 🟢.
Defensive Trends:
- Opp Turnovers (Opp Turnovers): Currently ranked 2 of 365 in D1. Trending up strongly 🔴.
- Def Reb Pct (Defensive Rebounding): Currently ranked 336 of 365 in D1. Trending up strongly 🟢.
St Francis (PA)
Record: 2-11 | Elo: 1372.3 (ranked 339 of 365) | Efficiency Margin: -29.97 (ranked 357 of 365)
Offensive Trends:
- Turnovers (Turnovers): Currently ranked 292 of 365 in D1. Trending down strongly 🟢.
- Off Reb Pct (Offensive Rebounding): Currently ranked 331 of 365 in D1. Trending up strongly 🟢.
Defensive Trends:
- Opp Shooting (Opp Shooting): Currently ranked 365 of 365 in D1. Trending up strongly 🔴.
- Opp FT Rate (Opp FTA/FGA (%)): Currently ranked 145 of 365 in D1. Trending up strongly 🔴.
Stonehill
Record: 2-10 | Elo: 1357.7 (ranked 350 of 365) | Efficiency Margin: -18.93 (ranked 316 of 365)
Offensive Trends:
- Shooting (Shooting): Currently ranked 347 of 365 in D1. Trending down strongly 🔴.
- Off Reb Pct (Offensive Rebounding): Currently ranked 276 of 365 in D1. Trending up strongly 🟢.
Defensive Trends:
- Opp Turnovers (Opp Turnovers): Currently ranked 365 of 365 in D1. Trending down strongly 🟢.
- Opp FT Pct (Opp FTM/FTA (%)): Currently ranked 10 of 365 in D1. Trending down strongly 🟢.
Wagner
Record: 3-5 | Elo: 1426.0 (ranked 282 of 365) | Efficiency Margin: -7.60 (ranked 223 of 365)
Offensive Trends:
- Off Reb Pct (Offensive Rebounding): Currently ranked 176 of 365 in D1. Trending up strongly 🟢.
- Adj Off Eff (Adjusted Offensive Efficiency): Currently ranked 174 of 365 in D1. Trending up strongly 🟢.
Defensive Trends:
- Def Reb Pct (Defensive Rebounding): Currently ranked 246 of 365 in D1. Trending down strongly 🔴.
- Opp 2Pt Rate (Opp 2 Point Attempts/FGA (%)): Currently ranked 269 of 365 in D1. Trending up strongly 🔴.

Figure 2: Offensive Four Factors comparison across Northeast teams. The radar chart shows each team’s shooting efficiency (eFG%), ball security (TOV%), offensive rebounding (OREB%), and free throw generation (FT Rate).

Figure 3: Defensive Four Factors comparison across Northeast teams. The radar chart shows each team’s opponent shooting defense (Opp eFG%), ball disruption (forcing TOV%), defensive rebounding (DREB%), and opponent free throw prevention (Opp FT Rate).

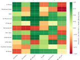
Figure 4: MACD trends heatmap showing which metrics are improving (green) or declining (red) for each team. Stronger colors indicate more pronounced trends.
Looking Ahead
As Northeast teams continue their season, the MACD trending indicators will help identify which teams are genuinely improving versus those riding unsustainable momentum. Check back next week for updated analysis.
Metrics Glossary
Four Factors (Dean Oliver’s framework for basketball success):
- eFG% (Effective Field Goal %): Field goal percentage adjusted for 3-pointers being worth more (FGM + 0.5×3PM) / FGA. Higher is better offensively, lower is better defensively.
- TOV% (Turnover Rate): Turnovers per 100 possessions. Lower is better offensively (taking care of the ball), higher is better defensively (forcing turnovers).
- OREB% / DREB% (Offensive/Defensive Rebound Rate): Percentage of available rebounds grabbed. Offensive rebounds create second-chance points; defensive rebounds end opponent possessions.
- FTR (Free Throw Rate): Free throws made per field goal attempt (FTM/FGA). Measures ability to get to the line AND convert. Higher is better offensively, lower is better defensively.
Other Metrics:
- Elo Rating: Chess-style rating system that updates based on game results and opponent strength. Higher Elo indicates stronger team.
- Efficiency Margin: Point differential per 100 possessions (Offensive Efficiency – Defensive Efficiency). Accounts for pace of play.
- MACD (Moving Average Convergence Divergence): Trend indicator comparing 12-game and 26-game exponential moving averages. Positive MACD = improving trend, Negative MACD = declining trend.
Analysis powered by HoopSci’s advanced metrics and MACD trending indicators.

